Highly Sensitive and Selective Defect WS2 Chemical Sensor for Detecting HCHO Toxic Gases
Abstract
1. Introduction
2. Computational Methods
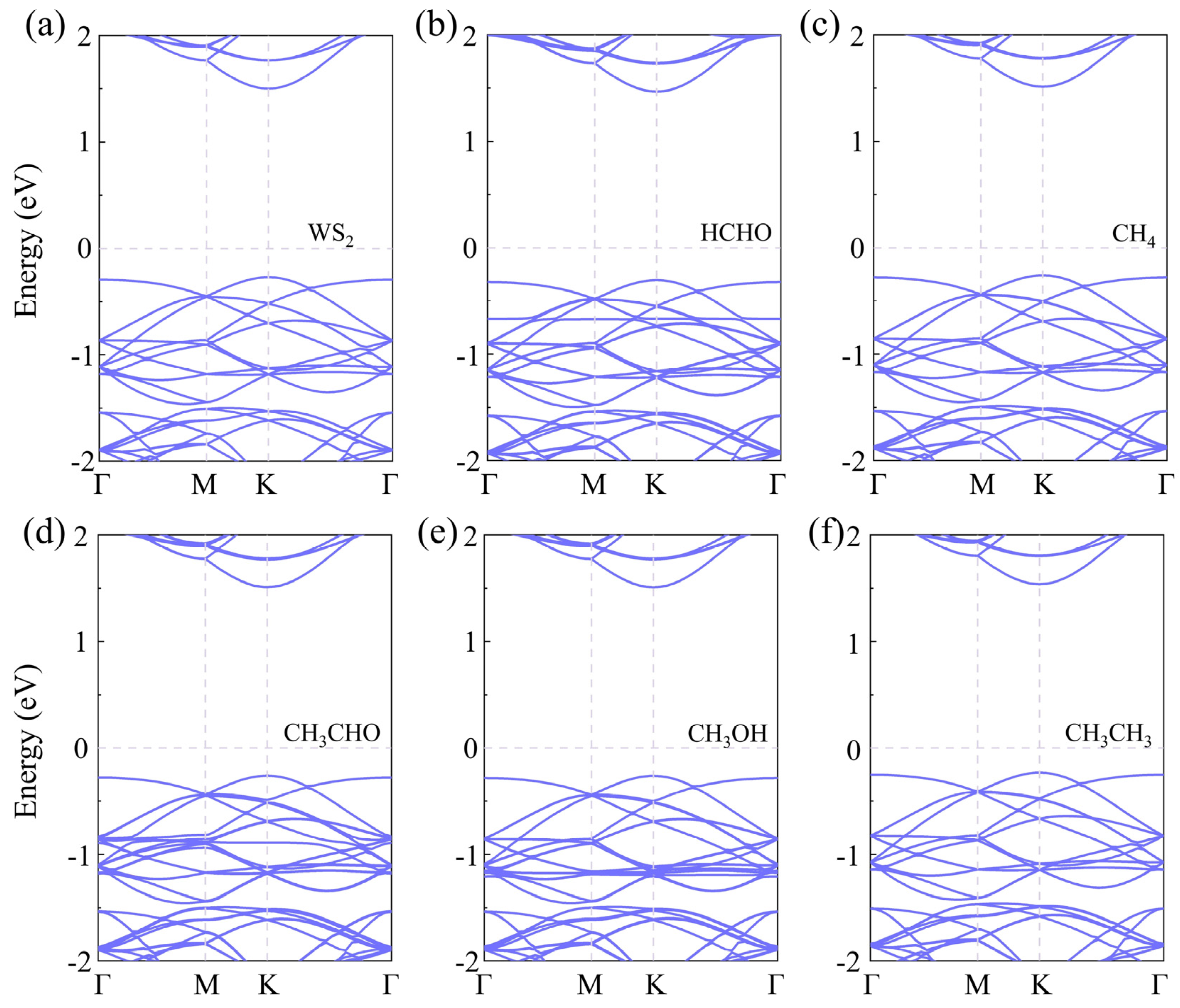
3. Results and Discussion
4. Conclusions
Author Contributions
Funding
Institutional Review Board Statement
Informed Consent Statement
Data Availability Statement
Acknowledgments
Conflicts of Interest
References
- Li, X.; Wu, S.; Wang, F.; You, L.; Yang, C.; Cui, P.; Zhang, X. Quantitative assessments of GHG and VOCs emissions of asphalt pavement contained steel slag. Constr. Build. Mater. 2023, 369, 130606. [Google Scholar] [CrossRef]
- Cui, Z.; Liu, D.; Zhu, W.; Zhang, S.; Wang, L. A tunable terahertz broadband absorber based on patterned vanadium dioxide. Micro Nanostruct. 2024, 186, 207734. [Google Scholar] [CrossRef]
- Sun, M.; Re Fiorentin, M.; Schwingenschlögl, U.; Palummo, M. Excitons and light-emission in semiconducting MoSi2X4 two-dimensional materials. NPJ 2d Mater. Appl. 2022, 6, 81. [Google Scholar] [CrossRef]
- Yuan, J.; Wei, Q.; Sun, M.; Yan, X.; Cai, Y.; Shen, L.; Schwingenschlögl, U. Protected valley states and generation of valley- and spin-polarized current in monolayer. Phys. Rev. B 2022, 105, 195151. [Google Scholar] [CrossRef]
- Cui, Z.; Wu, H.; Yang, K.; Wang, X.; Lv, Y. Adsorption of gas molecules on intrinsic and defective MoSi2N4 monolayer: Gas sensing and functionalization. Sens. Actuators A Phys. 2024, 366, 114954. [Google Scholar] [CrossRef]
- Acharyya, S.; Nag, S.; Guha, P.K. Ultra-selective tin oxide-based chemiresistive gas sensor employing signal transform and machine learning techniques. Anal. Chim. Acta 2022, 1217, 339996. [Google Scholar] [CrossRef] [PubMed]
- Papaconstantinou, R.; Demosthenous, M.; Bezantakos, S.; Hadjigeorgiou, N.; Costi, M.; Stylianou, M.; Symeou, E.; Savvides, C.; Biskos, G. Field Evaluation of Low-cost Electrochemical Air Quality Gas Sensors at Extreme Temperature and Relative Humidity Conditions. EGUsphere 2023, 2023, 3313–3329. [Google Scholar] [CrossRef]
- Khan, M.A.; Rao, M.V.; Li, Q. Recent Advances in Electrochemical Sensors for Detecting Toxic Gases: NO2, SO2 and H2S. Sensors 2019, 19, 905. [Google Scholar] [CrossRef]
- Xu, R.; Kong, F.; Wan, J.; Guo, J. Computational evaluation of sensing properties of a novel 2D diboron dinitride for detecting toxic gas molecules. Mater. Sci. Semicond. Process. 2023, 161, 107446. [Google Scholar] [CrossRef]
- Sohrabi, H.; Ghasemzadeh, S.; Ghoreishi, Z.; Majidi, M.R.; Yoon, Y.; Dizge, N.; Khataee, A. Metal-organic frameworks (MOF)-based sensors for detection of toxic gases: A review of current status and future prospects. Mater. Chem. Phys. 2023, 299, 127512. [Google Scholar] [CrossRef]
- Cui, Z.; Yang, K.; Shen, Y.; Yuan, Z.; Dong, Y.; Yuan, P.; Li, E. Toxic gas molecules adsorbed on intrinsic and defective WS2: Gas sensing and detection. Appl. Surf. Sci. 2023, 613, 155978. [Google Scholar] [CrossRef]
- Li, T.; Miao, Q.; Wang, Y.; Yang, H. 2D NbS2 monolayer as a gas sensor for the detection of nitrogen-containing toxic gases. Surf. Interfaces 2023, 42, 103336. [Google Scholar] [CrossRef]
- Xu, H.; Zhang, J.; Rehman, A.U.; Gong, L.; Kan, K.; Li, L.; Shi, K. Synthesis of NiO@CuO nanocomposite as high-performance gas sensing material for NO2 at room temperature. Appl. Surf. Sci. 2017, 412, 230–237. [Google Scholar] [CrossRef]
- Zhang, C.; Ren, K.; Wang, S.; Luo, Y.; Tang, W.; Sun, M. Recent progress on two-dimensional van der Waals heterostructures for photocatalytic water splitting: A selective review. J. Phys. D Appl. Phys. 2023, 56, 483001. [Google Scholar] [CrossRef]
- Yang, K.; Cui, Z.; Li, E.; Shen, Y.; Zhang, L.; Ma, D.; Yuan, Z.; Dong, Y.; Zhang, S. Modulation of the magnetic, electronic, and optical behaviors of WS2 after metals adsorption: A first-principles study. Chem. Phys. 2023, 571, 111903. [Google Scholar] [CrossRef]
- Cui, Z.; Wang, H.; Shen, Y.; Qin, K.; Yuan, P.; Li, E. MoSe2 and WSSe heterojunction with exceptional power conversion efficiency and photogalvanic effect. Mater. Today Phys. 2024, 40, 101317. [Google Scholar] [CrossRef]
- Cong, C.; Shang, J.; Wang, Y.; Yu, T. Optical Properties of 2D Semiconductor WS2. Adv. Opt. Mater. 2018, 6, 1700767. [Google Scholar] [CrossRef]
- Poornimadevi, C.; Preferencial Kala, C.; John Thiruvadigal, D. First principle analysis of toxic gas adsorption on pristine WS2 and Fe-doped WS2: Implications for gas sensing. Surf. Interfaces 2023, 42, 103518. [Google Scholar] [CrossRef]
- Poornimadevi, C.; Gayathri Devi, S.; Preferencial Kala, C.; Thiruvadigal, D.J. Ab Initio Study of Electronic Properties on WS2 Monolayer and Transition Metal Doped WS2. ECS J. Solid State Sci. Technol. 2022, 11, 073003. [Google Scholar] [CrossRef]
- Alam, M.M.; Asiri, A.M.; Uddin, J.; Rahman, M.M. Selective 1,4-dioxane chemical sensor development with doped ZnO/GO nanocomposites by electrochemical approach. J. Mater. Sci. Mater. Electron. 2022, 33, 4360–4374. [Google Scholar] [CrossRef]
- Chen, X.P.; Wang, L.M.; Sun, X.; Meng, R.S.; Xiao, J.; Ye, H.Y.; Zhang, G.Q. Sulfur Dioxide and Nitrogen Dioxide Gas Sensor Based on Arsenene: A First-Principle Study. IEEE Electron Device Lett. 2017, 38, 661–664. [Google Scholar] [CrossRef]
- Miao, J.; Yu, C.; Xia, J.; Xue, Z.; Li, X.; Dai, M.; Heng, Y.; Jiang, D.; Li, Q. New NASICON-based all-solid-state reference electrode towards a pH sensor for the electrochemical measurement of harsh environments. Ionics 2022, 28, 2437–2445. [Google Scholar] [CrossRef]
- Chen, A.; Wu, W.; Fegley, M.E.A.; Pinnock, S.S.; Duffy-Matzner, J.L.; Bernier, W.E.; Jones, W.E. Pentiptycene-Derived Fluorescence Turn-Off Polymer Chemosensor for Copper(II) Cation with High Selectivity and Sensitivity. Polymers 2017, 9, 118. [Google Scholar] [CrossRef] [PubMed]
- Jin, J.-C.; Wu, J.; Yang, G.-P.; Wu, Y.-L.; Wang, Y.-Y. A microporous anionic metal–organic framework for a highly selective and sensitive electrochemical sensor of Cu2+ ions. Chem. Commun. 2016, 52, 8475–8478. [Google Scholar] [CrossRef] [PubMed]
- Yang, Y.; Liu, S.; Shi, P.; Zhao, G. A Highly Sensitive and Selective Label-free Electrochemical Biosensor with a Wide Range of Applications for Bisphenol A Detection. Electroanalysis 2022, 34, 743–751. [Google Scholar] [CrossRef]
- James, T.E.; Hemmingson, S.L.; Sellers, J.R.V.; Campbell, C.T. Calorimetric measurement of adsorption and adhesion energies of Cu on Pt(111). Surf. Sci. 2017, 657, 58–62. [Google Scholar] [CrossRef]
- Men’shchikov, I.E.; Fomkin, A.A.; Shkolin, A.V.; Strizhenov, E.M.; Zaitsev, D.S.; Tvardovskii, A.V. The energy of adsorption of methane on microporous carbon adsorbents. Prot. Met. Phys. Chem. Surf. 2017, 53, 780–785. [Google Scholar] [CrossRef]
- Cui, Z.; Wu, H. Metal atoms adsorbed Ga2O3 monolayer: As a potential application in optoelectronic devices. Micro Nanostruct. 2023, 180, 207613. [Google Scholar] [CrossRef]
- Cui, Z.; Yang, K.; Ren, K.; Zhang, S.; Wang, L. Adsorption of metal atoms on MoSi2N4 monolayer: A first principles study. Mater. Sci. Semicond. Process. 2022, 152, 107072. [Google Scholar] [CrossRef]
- Kempfer-Robertson, E.M.; Haase, M.N.; Bersson, J.S.; Avdic, I.; Thompson, L.M. Role of Exact Exchange in Difference Projected Double-Hybrid Density Functional Theory for Treatment of Local, Charge Transfer, and Rydberg Excitations. J. Phys. Chem. A 2022, 126, 8058–8069. [Google Scholar] [CrossRef]
- Yoon, Y.; Zhang, Z.; Qi, R.; Joe, A.Y.; Sailus, R.; Watanabe, K.; Taniguchi, T.; Tongay, S.; Wang, F. Charge Transfer Dynamics in MoSe2/hBN/WSe2 Heterostructures. Nano Lett. 2022, 22, 10140–10146. [Google Scholar] [CrossRef] [PubMed]
- Paul, F.; Nama Manjunatha, K.; Paul, S. Non-Zero and Open-Loop Current–Voltage Characteristics in Electronic Memory Devices. Adv. Electron. Mater. 2023, 9, 2300324. [Google Scholar] [CrossRef]
- Aghaei, S.M.; Aasi, A.; Farhangdoust, S.; Panchapakesan, B. Graphene-like BC6N nanosheets are potential candidates for detection of volatile organic compounds (VOCs) in human breath: A DFT study. Appl. Surf. Sci. 2021, 536, 147756. [Google Scholar] [CrossRef]
- Taylor, J.; Guo, H.; Wang, J. Ab initio modeling of quantum transport properties of molecular electronic devices. Phys. Rev. B 2001, 63, 245407. [Google Scholar] [CrossRef]
- Waldron, D.; Haney, P.; Larade, B.; MacDonald, A.; Guo, H. Nonlinear Spin Current and Magnetoresistance of Molecular Tunnel Junctions. Phys. Rev. Lett. 2006, 96, 166804. [Google Scholar] [CrossRef] [PubMed]
- Qi, C.; Xu, X.; Chen, J.; Guo, L.; Chen, Q. Ab initio calculations of CO2 adsorption on β-C2S(100) and M3-C3S(001) surfaces: An exploration of early CO2 sequestration pathways. Environ. Res. 2022, 215, 114412. [Google Scholar] [CrossRef] [PubMed]
- Li, J.; Zhang, H.; Guo, Z.; Jiang, J.-W.; Chang, T. Thermal stability of twin graphene: A Reaxff molecular dynamics study. Appl. Surf. Sci. 2023, 623, 157038. [Google Scholar] [CrossRef]
- Zhang, W.; Chai, C.; Fan, Q.; Yang, Y.; Sun, M.; Palummo, M.; Schwingenschlögl, U. Two-dimensional borocarbonitrides for photocatalysis and photovoltaics. J. Mater. Chem. C 2023, 11, 3875–3884. [Google Scholar] [CrossRef]
- Ren, K.; Yan, Y.; Zhang, Z.; Sun, M.; Schwingenschlögl, U. A family of LixBy monolayers with a wide spectrum of potential applications. Appl. Surf. Sci. 2022, 604, 154317. [Google Scholar] [CrossRef]
- Osborne, D.A.; Morishita, T.; Tawfik, S.A.; Yayama, T.; Spencer, M.J.S. Adsorption of toxic gases on silicene/Ag(111). Phys. Chem. Chem. Phys. 2019, 21, 17521–17537. [Google Scholar] [CrossRef]
- Meshginqalam, B.; Barvestani, J. Highly sensitive toxic gas molecule sensor based on defect-induced silicene. J. Mater. Sci. Mater. Electron. 2019, 30, 18637–18646. [Google Scholar] [CrossRef]
- Kang, M.; Liu, T.; Sun, H.; Li, L.; Wang, K. Blue phosphorus phase GeSe monolayer for nitrogenous toxic gas sensing: A DFT study. Sens. Actuators A Phys. 2024, 365, 114861. [Google Scholar] [CrossRef]
- Godbole, R.; Godbole, V.P.; Bhagwat, S. Surface morphology dependent tungsten oxide thin films as toxic gas sensor. Mater. Sci. Semicond. Process. 2017, 63, 212–219. [Google Scholar] [CrossRef]
- Yang, Y.; Sun, Y.; Luo, C.; Fu, Q.; Pan, C. Effect of metal’s inherent characteristics on sensibility of flexible metal-based composite sensor and its applications. Sens. Actuators A Phys. 2021, 327, 112754. [Google Scholar] [CrossRef]
- Kumar, P.; Gupta, M.; Singh, K.; Kumar, N. Analysis of transition metal dichalcogenides materials based gas sensor using non-equilibrium green’s function. Int. J. Numer. Model. Electron. Netw. Devices Fields 2023, 36, e3036. [Google Scholar] [CrossRef]
- Gardner, D.W.; Gao, X.; Fahad, H.M.; Yang, A.-T.; He, S.; Javey, A.; Carraro, C.; Maboudian, R. Transistor-Based Work-Function Measurement of Metal–Organic Frameworks for Ultra-Low-Power, Rationally Designed Chemical Sensors. Chem. A Eur. J. 2019, 25, 13176–13183. [Google Scholar] [CrossRef] [PubMed]
- Jung, S.-W.; Shin, M.-C.; Schweitz, M.A.; Oh, J.-M.; Koo, S.-M. Influence of Gas Annealing on Sensitivity of AlN/4H-SiC-Based Temperature Sensors. Materials 2021, 14, 683. [Google Scholar] [CrossRef]
- Rahman, M.M.; Ahmed, J.; Asiri, A.M.; Siddiquey, I.A.; Hasnat, M.A. Development of 4-methoxyphenol chemical sensor based on NiS2-CNT nanocomposites. J. Taiwan Inst. Chem. Eng. 2016, 64, 157–165. [Google Scholar] [CrossRef]
- Sharma, S.; Tiwari, M.; Nurbash, S.V.; Gagrani, R.; Bhuin, S.; Chappanda, K.N. Enhancement in TiO2 Nanotubes Based Electrochemical Sensors via Synergistic Effect of TiCl4 Surface Engineering. IEEE Sens. J. 2022, 22, 33–41. [Google Scholar] [CrossRef]
- Yao, P.-C.; Niu, J.-S.; Dai, G.-Y.; Jian, J.-J.; Hsu, W.-C.; Lin, K.-W.; Liu, W.-C. Ammonia sensing characteristics of an ITO-V2O5 based chemoresistive dual-type gas sensors (CDGS) decorated with platinum nanoparticles. Sens. Actuators B Chem. 2023, 392, 134071. [Google Scholar] [CrossRef]
- Rajapaksha, R.D.A.A.; Hashim, U.; Gopinath, S.C.B.; Fernando, C.A.N. Sensitive pH detection on gold interdigitated electrodes as an electrochemical sensor. Microsyst. Technol. 2018, 24, 1965–1974. [Google Scholar] [CrossRef]
- Jung, G.; Hong, S.; Shin, W.; Jeong, Y.; Park, J.; Kim, D.; Lee, J.-H. Design optimization of FET-type gas sensor considering device characteristics, sensitivity, power, noise, and SNR. Sens. Actuators B Chem. 2022, 369, 132257. [Google Scholar] [CrossRef]
- Li, S.; He, J.; Man, Y.; Li, L.; Li, S.; Li, N.; Zhao, Q. A first-principles study into Pt-embedded NiS2 monolayer as an outstanding gas sensor upon CO and HCHO dry-type reactors. Comput. Theor. Chem. 2023, 1226, 114203. [Google Scholar] [CrossRef]
- Opoku, F.; Govender, P.P. Two-dimensional CoOOH as a Highly Sensitive and Selective H2S, HCN and HF Gas Sensor: A Computational Investigation. Electroanalysis 2020, 32, 2764–2774. [Google Scholar] [CrossRef]
- Singh, A.; Yadav, B.C. Photo-responsive highly sensitive CO2 gas sensor based on SnO2@CdO heterostructures with DFT calculations. Surf. Interfaces 2022, 34, 102368. [Google Scholar] [CrossRef]
- Jiang, T.; He, Q.; Bi, M.; Chen, X.; Sun, H.; Tao, L. First-principles calculations of adsorption sensitivity of Au-doped MoS2 gas sensor to main characteristic gases in oil. J. Mater. Sci. 2021, 56, 13673–13683. [Google Scholar] [CrossRef]











| Configuration | Ead (meV) | H (Å) | Eg (eV) | B (e) | W (eV) | ΔW (eV) |
|---|---|---|---|---|---|---|
| WS2 | - | - | 1.775 | - | 5.39 | |
| HCHO-WS2 | 196.72 | 2.94 | 1.772 | 0.107 | 5.72 | 0.337 |
| CH4-WS2 | 149.55 | 2.80 | 1.772 | 0.092 | 5.53 | 0.140 |
| CH3CHO-WS2 | 233.05 | 2.78 | 1.773 | 0.088 | 5.01 | −0.374 |
| CH3OH-WS2 | 206.27 | 2.49 | 1.773 | 0.091 | 5.15 | −0.232 |
| CH3CH3-WS2 | 246.02 | 2.52 | 1.773 | 0.089 | 5.53 | 0.146 |
| Configuration | Ead (meV) | H (Å) | Eg (eV) | B (e) | W (eV) | ΔW (eV) |
|---|---|---|---|---|---|---|
| VW/WS2 | - | - | 0.379 | - | 5.432 | - |
| HCHO-VW/WS2 | −207.8 | 2.92 | 0.340 | 0.104 | 5.637 | 0.205 |
| CH4-VW/WS2 | −144.5 | 2.79 | 0.341 | −0.011 | 5.437 | 0.005 |
| CH3CHO-VW/WS2 | −188.2 | 2.65 | 0.373 | 0.090 | 4.993 | −0.439 |
| CH3OH-VW/WS2 | −207.9 | 2.67 | 0.372 | 0.087 | 5.069 | −0.363 |
| CH3CH3-VW/WS2 | −236.9 | 2.51 | 0.367 | −0.016 | 5.440 | 0.008 |
| Bias Voltage (V) | HCHO | CH4 | CH3CHO | CH3OH | CH3CH3 |
|---|---|---|---|---|---|
| 1.8 | −98.1 | −96.7 | −88.9 | −94.9 | −96.0 |
| 2.0 | −67.7 | −67.9 | −60.0 | −64.1 | −65.8 |
| 2.2 | +108.0 | +18.9 | +15.3 | +13.2 | +16.2 |
| 2.4 | +42.9 | +14.6 | +9.75 | +8.46 | +11.7 |
Disclaimer/Publisher’s Note: The statements, opinions and data contained in all publications are solely those of the individual author(s) and contributor(s) and not of MDPI and/or the editor(s). MDPI and/or the editor(s) disclaim responsibility for any injury to people or property resulting from any ideas, methods, instructions or products referred to in the content. |
© 2024 by the authors. Licensee MDPI, Basel, Switzerland. This article is an open access article distributed under the terms and conditions of the Creative Commons Attribution (CC BY) license (https://creativecommons.org/licenses/by/4.0/).
Share and Cite
Cui, Z.; Wang, H.; Yang, K.; Shen, Y.; Qin, K.; Yuan, P.; Li, E. Highly Sensitive and Selective Defect WS2 Chemical Sensor for Detecting HCHO Toxic Gases. Sensors 2024, 24, 762. https://doi.org/10.3390/s24030762
Cui Z, Wang H, Yang K, Shen Y, Qin K, Yuan P, Li E. Highly Sensitive and Selective Defect WS2 Chemical Sensor for Detecting HCHO Toxic Gases. Sensors. 2024; 24(3):762. https://doi.org/10.3390/s24030762
Chicago/Turabian StyleCui, Zhen, Hanxiao Wang, Kunqi Yang, Yang Shen, Ke Qin, Pei Yuan, and Enling Li. 2024. "Highly Sensitive and Selective Defect WS2 Chemical Sensor for Detecting HCHO Toxic Gases" Sensors 24, no. 3: 762. https://doi.org/10.3390/s24030762
APA StyleCui, Z., Wang, H., Yang, K., Shen, Y., Qin, K., Yuan, P., & Li, E. (2024). Highly Sensitive and Selective Defect WS2 Chemical Sensor for Detecting HCHO Toxic Gases. Sensors, 24(3), 762. https://doi.org/10.3390/s24030762

