Performance of a Tower-Shaped Integrated Ecological Purification Device for Pollutants Removal from Domestic Sewage in Rural Areas
Abstract
1. Introduction
2. Materials and Methods
2.1. Study Area
2.2. Experimental Design
2.3. Sampling and Analysis
2.4. Statistical Analysis
3. Results
3.1. Characteristics of Domestic Sewage Discharge Loads
3.2. Purification Performance of the TIEPD
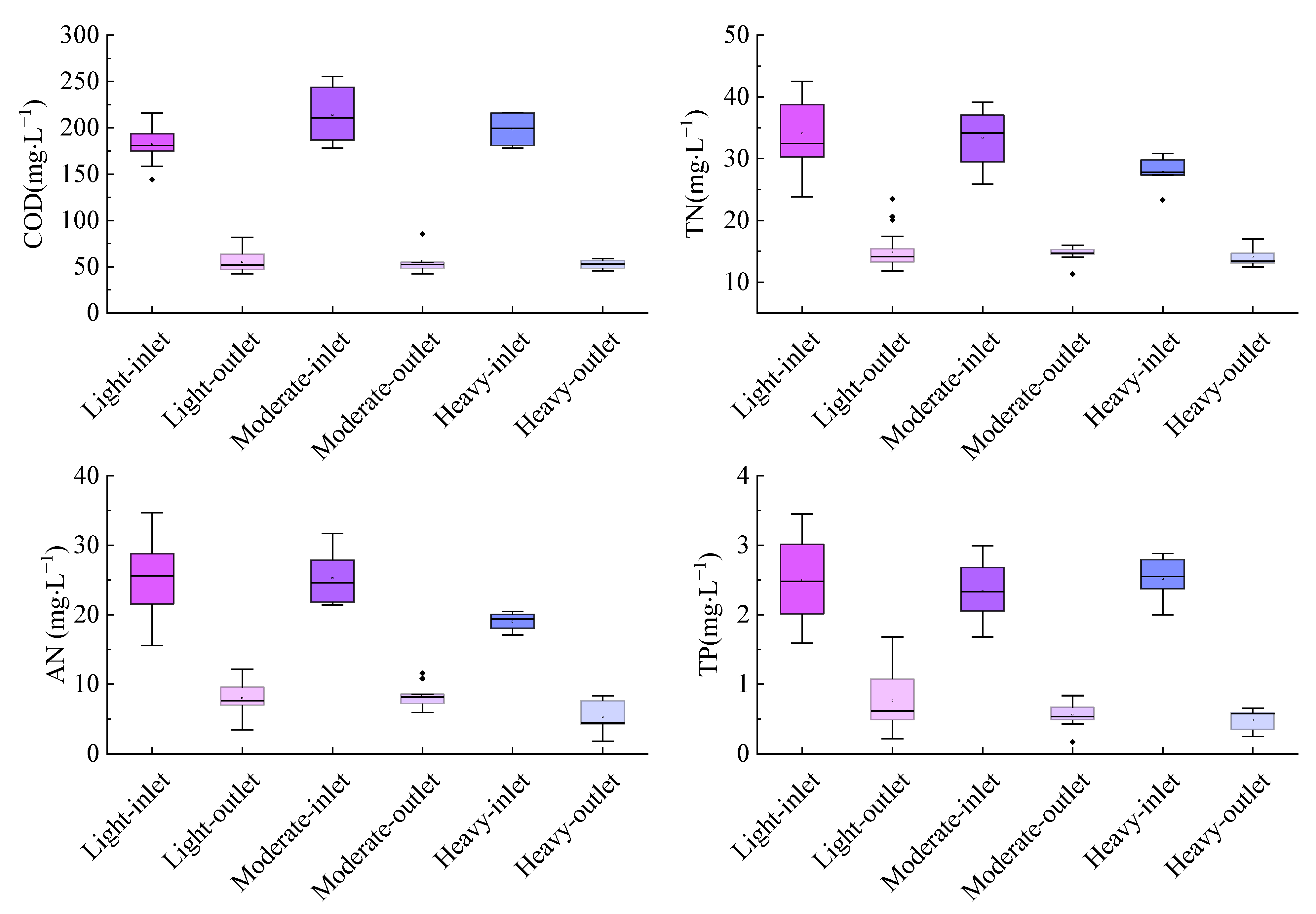
3.3. Effect of Different Loads on the Purification Performance of TIEPD
4. Discussion
4.1. Effect of Different Loads on the Purification Performance of the TIEPD
4.2. Effect Factors of the Purification Performance of the TIEPD
4.3. Implications for TIEPD Management
5. Conclusions
Author Contributions
Funding
Institutional Review Board Statement
Informed Consent Statement
Data Availability Statement
Conflicts of Interest
References
- Wu, H.; Zhang, J.; Ngo, H.H.; Guo, W.S.; Hu, Z.; Liang, S.; Fan, J.; Liu, H. A review on the sustainability of constructed wetlands for wastewater treatment: Design and operation. Bioresource Technol. 2015, 175, 594–601. [Google Scholar] [CrossRef] [PubMed]
- Liu, J.; Lu, Z.B.; Zhang, J.; Xing, M.Y.; Yang, J. Phylogenetic characterization of microbial communities in a full-scale vermifilter treating rural domestic sewage. Ecol. Eng. 2013, 61, 100–109. [Google Scholar] [CrossRef]
- Ren, S.; Song, P.; Cheng, H.C.; Liu, C.; Chen, R.S. Enhanced Treatment of Decentralized Domestic Sewage Using Gravity-Flow Multi-Soil-Layering Systems Coupled with Iron-Carbon Microelectrolysis. Sustainability 2022, 14, 12892. [Google Scholar] [CrossRef]
- Fischer, P.; Pöthig, R.; Venohr, M. The degree of phosphorus saturation of agricultural soils in Germany: Current and future risk of diffuse P loss and implications for soil P management in Europe. Sci. Total Environ. 2017, 599, 1130–1139. [Google Scholar] [CrossRef] [PubMed]
- Badruzzaman, M.; Pinzon, J.; Oppenheimer, J.; Jacangelo, J.G. Sources of nutrients impacting surface waters in Florida, a review. J. Environ. Manag. 2012, 109, 80–92. [Google Scholar] [CrossRef]
- Kim, H.R.; Yu, S.; Oh, J.; Kim, K.H.; Oh, Y.Y.; Kim, H.K.; Park, S.; Yun, S.T. Assessment of nitrogen application limits in agro-livestock farming areas using quantile regression between nitrogen loadings and groundwater nitrate levels. Agric. Ecosyst. Environ. 2019, 286, 106660. [Google Scholar] [CrossRef]
- Chen, F.; Yao, Q. The Development of Rural Domestic Wastewater Treatment in China. Adv. Mater. Res. 2015, 3702, 829–832. [Google Scholar] [CrossRef]
- Wang, T.; Kumwimba, M.; Zhu, B.; Wang, X.G.; Tang, J.L. Nutrient distribution and risk assessment in drainage ditches with different surrounding land uses. Nutr. Cycl. Agroecosys. 2017, 107, 381–394. [Google Scholar] [CrossRef]
- Kumwimba, M.N.; Meng, F.; Iseyemi, O.; Moore, M.T.; Zhu, B.; Tao, W.; Liang, T.J.; Ilunga, L. Removal of non-point source pollutants from domestic sewage and agricultural runoff by vegetated drainage ditches (VDDs): Design, mechanism, management strategies, and future directions. Sci. Total Environ. 2018, 639, 742–759. [Google Scholar] [CrossRef]
- Yaqoob, A.; Parveen, T.; Umar, K.; Mohamad, I. Role of Nanomaterials in the Treatment of Wastewater: A Review. Water 2020, 12, 495. [Google Scholar] [CrossRef]
- Li, S.M.; Wang, X.L.; Tu, J.M.; Qiao, B.; Li, J.S. Nitrogen Removal in an Ecological Ditch Based on an Orthogonal Test. Water Air Soil Pollut. 2016, 227, 396. [Google Scholar] [CrossRef]
- Fan, L.C.; Yuan, Y.M.; Ying, Z.C.; Lam, S.K.; Liu, L.; Zhang, X.C.; Liu, H.B.; Gu, B.J. 2018, Decreasing farm number benefits the mitigation of agricultural non-point source pollution in China. Environ. Sci. Pollut. R 2019, 26, 464–472. [Google Scholar] [CrossRef] [PubMed]
- Zhang, T.; Yang, Y.H.; Ni, J.P.; Xie, D.Y. Construction of an integrated technology system for control agricultural non-point source pollution in the Three Gorges Reservoir Areas. Agr. Ecosyst. Environ. 2020, 295, 106919. [Google Scholar] [CrossRef]
- Zhong, S.Q.; Chen, F.X.; Xie, D.T.; Shao, J.G.; Yong, Y.; Zhang, S.; Zhang, Q.W.; Wei, C.F.; Yang, Q.Y.; Ni, J.P. A three-dimensional and multi-source integrated technology system for controlling rural non-point source pollution in the Three Gorges Reservoir Area, China. J. Clean Prod. 2020, 272, 122579. [Google Scholar] [CrossRef]
- Wang, T.; Zhu, B.; Zhou, M. Ecological ditch system for nutrient removal of rural domestic sewage in the hilly area of the central sichuan basin, china. J. Hydrol. 2019, 570, 839–849. [Google Scholar] [CrossRef]
- Ye, F.X.; Li, Y. Enhancement of nitrogen removal in towery hybrid constructed wetland to treat domestic wastewater for small rural communities. Ecol. Eng. 2009, 35, 1043–1050. [Google Scholar] [CrossRef]
- Heredia, R.M.; Andrea Paola Layedra-Almeida, O.; Torres, Y.; Toulkeridis, T. Evaluation of a microbial consortium and selection of a support in an anaerobic reactor directed to the bio-treatment of wastewater of the textile industry. Sustainability 2022, 14, 8889. [Google Scholar] [CrossRef]
- Song, P.; Huang, G.; An, C.; Zhang, P.; Chen, X.; Ren, S. Performance analysis and life cycle greenhouse gas emission assessment of an integrated gravitational-flow wastewater treatment system for rural areas. Environ. Sci. Pollut. Res. 2019, 26, 25883–25897. [Google Scholar] [CrossRef] [PubMed]
- Wang, L.M.; Guo, F.H.; Zheng, Z.; Luo, X.Z.; Zhang, J.B. Enhancement of rural domestic sewage treatment performance, and assessment of microbial community diversity and structure using tower vermifiltration. Bioresour. Technol. 2011, 102, 9462–9470. [Google Scholar] [CrossRef] [PubMed]
- Zhu, L.D.; Li, Z.H.; Tarja, K. Biomass accumulations and nutrient uptake of plants cultivated on artificial floating beds in China's rural area. Ecol. Eng. 2011, 37, 1460–1466. [Google Scholar] [CrossRef]
- Vera, L.; Martel, G.; Márquez, M. Two years monitoring of the natural system for wastewater reclamation in Santa Lucía, Gran Canaria Island. Ecol. Eng. 2013, 50, 21–30. [Google Scholar] [CrossRef]
- Cuyk, S.V.; Siegrist, R.; Logan, A.; Masson, S.; Fischer, E.; Figueroa, L. Hydraulic and purification behaviors and their interactions during wastewater treatment in soil infiltration systems. Water Res. 2001, 35, 964. [Google Scholar] [CrossRef]
- Ham, J.H.; Yoon, C.G.; Jeon, J.H.; Kim, H.C. Feasibility of a constructed wetland and wastewater stabilisation pond system as a sewage reclamation system for agricultural reuse in a decentralised rural area. Water Sci. Technol. 2007, 55, 503. [Google Scholar] [CrossRef]
- Kaoru, A.; Kunihiko, K.; Yasuo, O. Vegetation-based Wastewater Treatment Technologies for Rural Areas in Japan. Jpn. Agric. Res. Q. JARQ 2010, 44, 231–242. [Google Scholar] [CrossRef]
- Liu, T.; Xu, S.R.; Lu, S.Y.; Qin, P.; Bi, B.; Ding, H.D.; Liu, Y.; Guo, X.C.; Liu, X.H. A review on removal of organophosphorus pesticides in constructed wetland: Performance, mechanism and influencing factors. Sci. Total Environ. 2019, 651, 2247–2268. [Google Scholar] [CrossRef] [PubMed]
- Lucke, T.; Nichols, P. The pollution removal and stormwater reduction performance of street-side bioretention basins after ten years in operation. Sci. Total Environ. 2015, 536, 784–792. [Google Scholar] [CrossRef]
- Xiong, Y.J.; Peng, S.Z.; Luo, Y.F.; Xu, J.Z.; Yang, S.H. A paddy eco-ditch and wetland system to reduce nonpoint source pollution from rice-based production system while maintaining water use efficiency. Environ. Sci. Pollut. R 2015, 22, 4406–4417. [Google Scholar] [CrossRef] [PubMed]
- Jing, Z.; Zheng, W.; Lu, X.; Li, X. Performance of Biological-Ecological Process for Rural Domestic Sewage Treatment in Taihu Lake Region. In Proceedings of the 2009 International Conference on Environmental Science and Information Application Technology, Wuhan, China, 4–5 July 2009. [Google Scholar]
- Zhong, K.; Luo, Y.Y.; Wu, Z.S.; He, Q.; Hu, X.B.; Jie, Q.W.; Li, Y.T.; Wang, S.J. The ecological filter system for treatment of decentralized wastewater. Water Sci. Technol. 2016, 74, 1553–1560. [Google Scholar] [CrossRef][Green Version]
- Kumwimba, M.N.; Zhu, B.; Wang, T.; Dzakpasu, M.; Li, X.Y. Nutrient dynamics and retention in a vegetated drainage ditch receiving nutrient-rich sewage at low temperatures. Sci. Total Environ. 2020, 741, 140268. [Google Scholar] [CrossRef]
- Zhu, B.; Wang, T.; Kuang, F.H.; Luo, Z.X.; Tang, J.L.; Xu, T.P. Measurements of Nitrate Leaching from a Hillslope Cropland in the Central Sichuan Basin, China. Soil Sci. Soc. Am. J. 2009, 73, 1419–1426. [Google Scholar] [CrossRef]
- Liao, A.M.; Liu, J.F.; Zhang, J.Y.; Jiang, G.X.; Zheng, J.T.; Wang, N. Comparison and analysis of high-precision water level gauges at the scale of experimental small watershed. Adv. Water Sci. 2019, 30, 337–347. (In Chinese) [Google Scholar] [CrossRef]
- Xie, X.Q.; Wang, L. Water Environment Observation and Analysis: Standard Methods for Observation and Analysis in Chinese Ecosystem Research Network; Standards Press of China: Beijing, China, 1998. (In Chinese) [Google Scholar]
- Han, H.; Cui, Y.; Gao, R.; Huang, Y.; Luo, Y.; Shen, S. Study on nitrogen removal from rice paddy field drainage by interaction of plant species and hydraulic conditions in eco-ditches. Environ. Sci. Pollut Res Int. 2019, 26, 6492–6502. [Google Scholar] [CrossRef] [PubMed]
- Luo, Z.; Wang, T.; Gao, M.; Zhu, T.B. Stormwater runoff pollution in a rural township in the hilly area of the central sichuan basin, china. J. Mt. Sci. Engl. 2012, 9, 16–26. [Google Scholar] [CrossRef]
- Xu, J.; Wu, X.; Ge, X.; Tian, Y.; Ma, X.; Li, Y.; Li, Z. Variations of Concentration Characteristics of Rainfall Runoff Pollutants in Typical Urban Living Areas. Bull. Environ. Contam. Toxicol. 2021, 106, 608–613. [Google Scholar] [CrossRef]
- Wang, J.; Forman, B.A.; Davis, A.P. Probabilistic stormwater runoff and water quality modeling of a highway in suburban Maryland. J. Hydrol. Eng. 2018, 23, 2. [Google Scholar] [CrossRef]
- Krishna, G.V.T.G.; Pramod, K.; Pradeep, K. Treatment of low-strength soluble wastewater using an anaerobic baffled reactor (ABR). J. Environ. Manag. 2009, 90, 166–176. [Google Scholar] [CrossRef]
- Shen, J.; Huang, G.; An, C.; Song, P.; Xin, X.; Yao, Y.; Zheng, R. Biophysiological and factorial analyses in the treatment of rural domestic wastewater using multi-soil-layering systems. J. Environ. Manag. 2018, 226, 83–94. [Google Scholar] [CrossRef] [PubMed]
- Song, P.; Huang, G.; Hong, Y.; An, C.; Xin, X.; Zhang, P. A biophysiological perspective on enhanced nitrate removal from decentralized domestic sewage using gravitational-flow multi-soil-layering systems. Chemosphere 2020, 240, 124868. [Google Scholar] [CrossRef] [PubMed]
- Yamashita, T.; Yamamoto-Ikemoto, R. Nitrogen and Phosphorus Removal from Wastewater Treatment Plant Effluent via Bacterial Sulfate Reduction in an Anoxic Bioreactor Packed with Wood and Iron. Int. J. Envron. Res. Pub. Health 2014, 11, 9835–9853. [Google Scholar] [CrossRef]
- Xi, H.; Zhou, X.; Arslan, M.; Luo, Z.; Wei, J.; Wu, Z.; Gamal El-Din, M. Heterotrophic nitrification and aerobic denitrification process: Promising but a long way to go in the wastewater treatment. Sci. Total Environ. 2022, 805, 150212. [Google Scholar] [CrossRef] [PubMed]
- Chen, Q.; Ni, J. Ammonium removal by Agrobacterium sp. LAD9 capable of heterotrophic nitrification–aerobic denitrification. J. Biosci. Bioeng. 2012, 113, 619–623. [Google Scholar] [CrossRef]
- Zuo, X.J.; Guo, Z.Y.; Wu, X.; Yu, J.H. Diversity and metabolism effects of microorganisms in bioretention systems with sand, soil and fly ash. Sci. Total Environ. 2019, 676, 447–454. [Google Scholar] [CrossRef]
- Jennifer, R.; Tricia, W.; Tim, F.; Ana, D. Variation among plant species in pollutant removal from stormwater in biofiltration systems. Water Res. 2008, 42, 902. [Google Scholar] [CrossRef]
- River, M.; Richardson, C.J. Particle size distribution predicts particulate phosphorus removal. Ambio 2018, 47, 124–133. [Google Scholar] [CrossRef] [PubMed]
- Ruan, W.; Cai, H.; Xu, X.; Man, Y.; Wang, R.; Tai, Y.; Zhang, X. Efficiency and plant indication of nitrogen and phosphorus removal in constructed wetlands: A field-scale study in a frost-free area. Sci. Total Environ. 2021, 799, 149301. [Google Scholar] [CrossRef]
- Kotlyarov, R.Y.; Beletsky, A.V.; Kallistova, A.Y.; Dorofeev, A.G.; Nikolaev, Y.A.; Pimenov, N.V.; Ravin, N.V.; Mardanov, A.V. A Novel Phosphate-Accumulating Bacterium Identified in a Bioreactor for Phosphate Removal from Wastewater. Microbiology 2019, 88, 751–755. [Google Scholar] [CrossRef]
- Yin, X.F.; Hu, Z.Y.; Zhou, L.X.; Wu, Y.H. Study on the construction of the ecological agro-ditch and its effect on purification sewage on the northern lakeshore of Dianchi Lake. J. Anhui Agric. Sci. 2008, 36, 9676–9679. (In Chinese) [Google Scholar] [CrossRef]
- Zhang, S.; Liu, F.; Xiao, R.; Li, Y.; He, Y. Effects of vegetation on ammonium removal and nitrous oxide emissions from pilot-scale drainage ditches. Aquat. Bot. 2016, 130, 37–44. [Google Scholar] [CrossRef]
- Li, X.Y.; Ding, A.Z.; Zheng, L.; Anderson, B.C.; Kong, L.H.; Wu, A.G.; Xing, L. Relationship between design parameters and removal efficiency for constructed wetlands in China. Ecol. Eng. 2018, 123, 135–140. [Google Scholar] [CrossRef]
- Zhao, Z.M.; Song, X.S.; Xiao, Y.P.; Zhao, Y.F.; Gong, Z.J.; Lin, F.D.; Ding, Y.; Wang, W.; Tianling, Q. Influences of seasons, N/P ratios and chemical compounds on phosphorus removal performance in algal pond combined with constructed wetlands. Sci. Total Environ. 2016, 573, 906–914. [Google Scholar] [CrossRef]
- Georgios, D.G.; Vassilios, A. A small-size vertical flow constructed wetland for on-site treatment of household wastewater. Ecol. Eng. 2012, 44, 337–343. [Google Scholar] [CrossRef]
- Liang, K.; Chang, J.J.; Wang, F.H.; Liu, S.Y.; Liang, W. Purification effect and optimal hydraulic load of tailwater in vertical flow constructed wetland. Lake Sci. 2016, 28, 114–122. [Google Scholar] [CrossRef]
- Moore, M.; Locke, M.A.; Jenkins, M.; Steinriede, R.W.; McChesney, D.S. Dredging effects on selected nutrient concentrations and ecoenzymatic activity in two drainage ditch sediments in the lower Mississippi River Valley. Int. Soil Water Conse. 2017, 5, 190–195. [Google Scholar] [CrossRef]
- Xia, Y.; Zhang, M.; Tsang, D.C.W.; Geng, N.; Lu, D.; Zhu, L.; Igalavithana, A.D.; Dissanayake, P.D.; Rinklebe, J.; Yang, X.; et al. Recent advances in control technologies for non-point source pollution with nitrogen and phosphorous from agricultural runoff: Current practices and future prospects. Appl. Biol. Chem. 2020, 63, 8. [Google Scholar] [CrossRef]




| Annual Average Discharge | Rural Life Events | Precipitation Intensities | ||||
|---|---|---|---|---|---|---|
| Nonfair | Fair | Light | Moderate | Heavy | ||
| COD (mg/L) | 181.69 ± 11.80 | 173.27 ± 13.12 a | 190.10 ± 10.48 b | 182.56 ± 17.33 b | 214.22 ± 28.77 a | 198.42 ± 17.55 ab |
| AN (mg/L) | 26.53 ± 3.02 | 25.33 ± 2.17 a | 27.73 ± 3.87 a | 25.59 ± 4.67 a | 25.25 ± 3.44 a | 19.00 ± 1.27 b |
| TN (mg/L) | 35.00 ± 2.84 | 33.90 ± 1.86 a | 36.09 ± 3.82 a | 34.09 ± 5.25 a | 33.41 ± 4.19 a | 27.83 ± 2.59 b |
| TP (mg/L) | 2.59 ± 0.18 | 2.54 ± 0.16 a | 2.63 ± 0.20 a | 2.50 ± 0.52 a | 2.33 ± 0.40 a | 2.52 ± 0.32 a |
| pH | 7.42 ± 0.17 | 7.42 ± 0.25 a | 7.26 ± 0.22 a | 7.34 ± 0.28 a | 7.37 ± 0.20 a | 7.27 ± 0.13 a |
| Precipitation Intensities | Rural Life Events | Precipitation Intensities * Rural Life Events | |||||||
|---|---|---|---|---|---|---|---|---|---|
| F | P | df | F | P | df | F | P | df | |
| TN | 0.053 | 0.948 | 2 | 0.972 | 0.334 | 1 | 0.978 | 0.391 | 2 |
| AN | 0.993 | 0.385 | 2 | 4.503 | 0.044 | 1 | 1.924 | 0.168 | 2 |
| TP | 0.407 | 0.529 | 2 | 1.081 | 0.355 | 1 | 0.066 | 0.936 | 2 |
| COD | 5.28 | 0.035 | 2 | 1.576 | 0.236 | 1 | 4.605 | 0.025 | 2 |
Publisher’s Note: MDPI stays neutral with regard to jurisdictional claims in published maps and institutional affiliations. |
© 2022 by the authors. Licensee MDPI, Basel, Switzerland. This article is an open access article distributed under the terms and conditions of the Creative Commons Attribution (CC BY) license (https://creativecommons.org/licenses/by/4.0/).
Share and Cite
Yan, M.; Zhang, J.; Wang, X.; Lu, X. Performance of a Tower-Shaped Integrated Ecological Purification Device for Pollutants Removal from Domestic Sewage in Rural Areas. Int. J. Environ. Res. Public Health 2022, 19, 17014. https://doi.org/10.3390/ijerph192417014
Yan M, Zhang J, Wang X, Lu X. Performance of a Tower-Shaped Integrated Ecological Purification Device for Pollutants Removal from Domestic Sewage in Rural Areas. International Journal of Environmental Research and Public Health. 2022; 19(24):17014. https://doi.org/10.3390/ijerph192417014
Chicago/Turabian StyleYan, Min, Jian Zhang, Xiaoguo Wang, and Xin Lu. 2022. "Performance of a Tower-Shaped Integrated Ecological Purification Device for Pollutants Removal from Domestic Sewage in Rural Areas" International Journal of Environmental Research and Public Health 19, no. 24: 17014. https://doi.org/10.3390/ijerph192417014
APA StyleYan, M., Zhang, J., Wang, X., & Lu, X. (2022). Performance of a Tower-Shaped Integrated Ecological Purification Device for Pollutants Removal from Domestic Sewage in Rural Areas. International Journal of Environmental Research and Public Health, 19(24), 17014. https://doi.org/10.3390/ijerph192417014

