Microstructure and Mechanical Properties of CuZr Thin-Film Metallic Glasses Deposited by Magnetron Sputtering
Abstract
1. Introduction
2. Materials and Methods
2.1. Film Deposition
2.2. Film Characterizations
3. Results and Discussion
4. Conclusions and Perspectives
- (1)
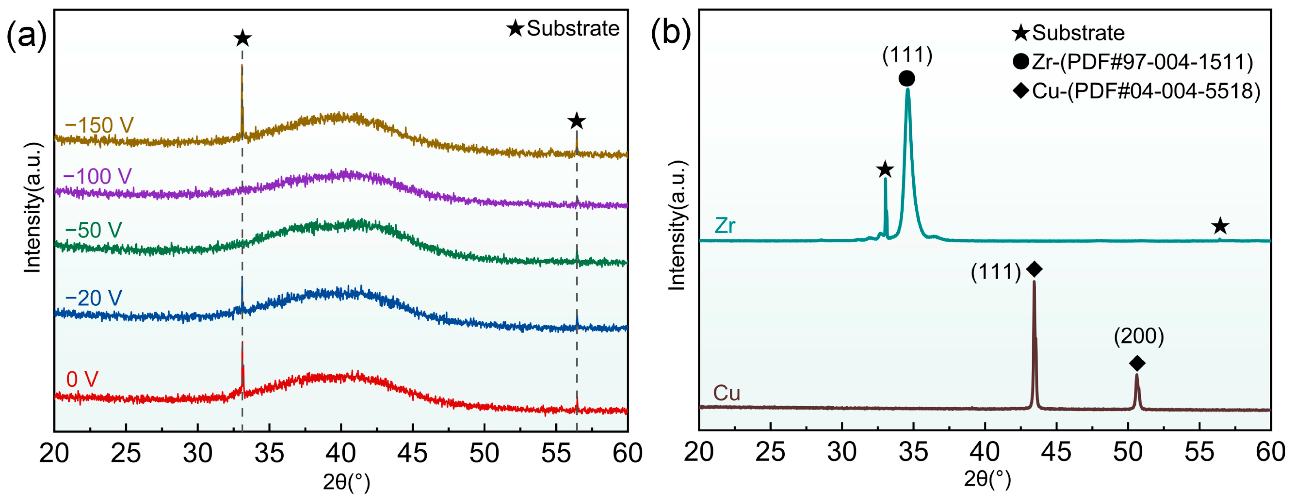
- The CuZr films exhibited an amorphous structure with nanoscale smoothness. The cross-sectional morphology of the CuZr films transitioned from a glassy morphology to a vein-like structure as the bias voltage increased, whereas the Cu and Zr films displayed columnar crystal structures. This is closely related to the oxygen content.
- (2)
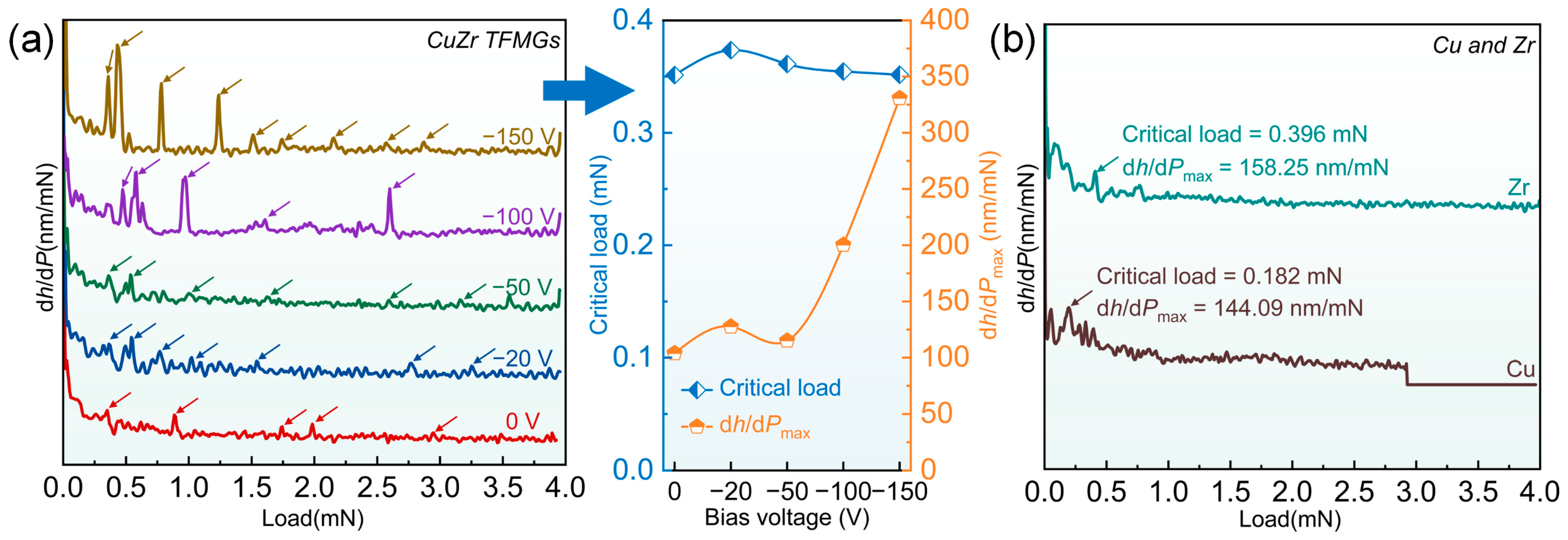
- Nanoindentation tests revealed that the hardness of the CuZr films peaked at −50 V, with a maximum hardness of 9.64 GPa and a H/E ratio of 0.07. As the loading rate increased, the pop-in phenomenon gradually disappeared. The deformation mode during indentation transitioned from inhomogeneous shear band deformation to homogeneous deformation. The critical load of CuZr films increased from 11.12 N to 43.56 N with increasing bias voltage during scratch tests.
- (3)
- The Zr film exhibited an average friction coefficient as high as 0.81. In contrast, the CuZr films, while maintaining a low wear rate, showed a reduced average friction coefficient of 0.54−0.57, corresponding to a decrease of 29.63−33.33% compared with the Zr film.
- (4)
- The CuZr TFMGs exhibited a low sheet resistance ranging from 0.67 to 0.76 Ω, and a maximum contact angle of 108°, whereas the contact angles of Cu and Zr films were 46° and 65°, respectively.
- (5)
- The subsequent study will focus on investigating the thermal stability and oxidation resistance of CuZr TFMGs under high-temperature and high-humidity conditions. Comparisons with commercial coatings will be conducted to assess wear resistance, corrosion resistance, and other properties. This will help clarify the practical application potential of the films, thereby strengthening the theoretical basis as protective coatings.
Author Contributions
Funding
Data Availability Statement
Conflicts of Interest
References
- Nayak, S.K.; Kumar, A.; Laha, T. Fe-based metallic glass coatings by thermal spraying: A focused review on corrosion properties and related degradation mechanisms. Int. Mater. Rev. 2023, 68, 404–485. [Google Scholar] [CrossRef]
- Jiang, H.; Shang, T.; Xian, H.; Sun, B.; Zhang, Q.; Yu, Q.; Bai, H.; Gu, L.; Wang, W. Structures and functional properties of amorphous alloys. Small Struct. 2020, 2, 2000057. [Google Scholar] [CrossRef]
- Yuan, J.; Song, P.; Li, X.; Zhang, Z.; Jing, Z.; Man, C.; Jin, G.; Wang, X.; Liang, X. Multiphase coupling corrosion mechanism of the AlNiZrYCo high-entropy metallic glass coating prepared by plasma spraying. Corros. Sci. 2024, 235, 112217. [Google Scholar] [CrossRef]
- Parau, A.C.; Juravlea, G.A.; Raczkowska, J.; Vitelaru, C.; Dinu, M.; Awsiuk, K.; Vranceanu, D.M.; Ungureanu, E.; Cotrut, C.M.; Vladescu, A. Comparison of 316L and Ti6Al4V biomaterial coated by ZrCu-based thin films metallic glasses: Structure, morphology, wettability, protein adsorption, corrosion resistance, biomineralization. Appl. Surf. Sci. 2023, 612, 155800. [Google Scholar] [CrossRef]
- Sathish, M.; Radhika, N.; Saleh, B. Current status, challenges, and future prospects of thin film coating techniques and coating structures. J. Bio-Tribo-Corros. 2023, 9, 35. [Google Scholar] [CrossRef]
- Szczepański, Ł.; Bambach, M.; Jensch, F.; Ambroziak, A.; Kurzynowski, T. Structural investigations of Fe-Zr-Si-Cu metallic glass with low glass-forming ability produced in laser powder bed fusion technology. Mater. Des. 2021, 210, 110112. [Google Scholar] [CrossRef]
- Comby-Dassonneville, S.; Roiban, L.; Borroto, A.; Malchère, A.; Cardinal, S.; Douillard, T.; Langlois, C.; Pierson, J.F.; Pelletier, J.M.; Steyer, P. Better understand the crystallization dynamics of ZrCu TFMGs: Benefits of combining global and local in situ approaches. J. Alloys Compd. 2024, 987, 174233. [Google Scholar] [CrossRef]
- Zhang, E.; Wang, Y.; Liang, D.; Wei, X.; Zhou, Y.; Chen, Q.; Zhou, Q.; Huang, B.; Shen, J. Superior corrosion-resistant Zr-Ti-Ag thin film metallic glasses as potential biomaterials. Appl. Surf. Sci. 2024, 670, 160712. [Google Scholar] [CrossRef]
- Chen, P.; You, J.; Hsueh, C. Tungsten-based thin film metallic glass as diffusion barrier between copper and silicon. Vacuum 2025, 233, 113975. [Google Scholar] [CrossRef]
- Onyeagba, C.R.; Valashani, M.; Wang, H.; Brown, C.; Yarlagadda, P.; Tesfamichael, T. Nanomechanical surface properties of co-sputtered thin film polymorphic metallic glasses based on Ti-Fe-Cu, Zr-Fe-Al, and Zr-W-Cu. Surf. Interfaces 2023, 40, 103090. [Google Scholar] [CrossRef]
- Brognara, A.; Best, J.P.; Djemia, P.; Faurie, D.; Dehm, G.; Ghidelli, M. Effect of composition and nanostructure on the mechanical properties and thermal stability of Zr100-xCux thin film metallic glasses. Mater. Des. 2022, 219, 110752. [Google Scholar] [CrossRef]
- Wang, W.; Gao, Y.; Song, Y.; Huang, M.; Lv, J.; Zhang, G.; Liu, L.; Zhao, Y.; Zhao, X.; Sun, Q. Optimizing the structure-property relationship of sputtered CuZr metallic glasses via film thickness. J. Alloys Compd. 2025, 1014, 178857. [Google Scholar] [CrossRef]
- Zhao, L.; Hu, L.; Lin, B.; Wang, Y.; Tang, J.; Qi, L.; Liu, X. Significant improvement of corrosion resistance in laser cladded Zr-based metallic glass matrix composite coatings by laser remelting. Corros. Sci. 2024, 238, 112360. [Google Scholar] [CrossRef]
- Wang, Q.; Lian, X.; Cui, H.; Li, H.; Song, X.; Jiang, D.; Zhang, Y.; Zhu, Y.; Zhao, X.; Pang, Y. Design of amorphous-nanocrystalline films of TiAlCrNbZrx multi-component alloy: The effect of Zr on the corrosion resistance and mechanical properties. Vacuum 2023, 216, 112450. [Google Scholar] [CrossRef]
- Behrangi, S.; Souček, P.; Buršíková, V.; Fekete, M.; Vašina, P. Influence of bias voltage on the microstructure and mechanical properties of TiZrN coatings prepared by reactive magnetron sputtering in industrial conditions. Surf. Coat. Technol. 2025, 511, 132240. [Google Scholar] [CrossRef]
- Mirzaei, S.; Alishahi, M.; Souček, P.; Buršíková, V.; Zábranský, L.; Gröner, L.; Burmeister, F.; Blug, B.; Daum, P.; Mikšová, R.; et al. Effect of substrate bias voltage on the composition, microstructure and mechanical properties of W-B-C coatings. Appl. Surf. Sci. 2020, 528, 146966. [Google Scholar] [CrossRef]
- Warcholinski, B.; Gilewicz, A.; Myslinski, P.; Dobruchowska, E.; Murzynski, D.; Kochmanski, P.; Rokosz, K.; Raaen, S. Effect of nitrogen pressure and substrate bias voltage on the properties of Al–Cr–B–N coatings deposited using cathodic arc evaporation. Tribol. Int. 2021, 154, 106744. [Google Scholar] [CrossRef]
- Zeng, X.K.; Li, Y.T.; Zhang, X.D.; Liu, M.; Ye, J.Z.; Qiu, X.L.; Jiang, X.; Leng, Y.X. Effect of bias voltage on the structure and properties of CuNiTiNbCr dual-phase high entropy alloy films. J. Alloys Compd. 2023, 931, 167371. [Google Scholar] [CrossRef]
- Zhou, G.; Tang, H.; Zhang, R.; Zhang, X.; Qian, M. High strain rate sensitivity and nanoscratch properties of the nano-sized crystalline/amorphous Ti-Zr-Hf-Co-Ni-Cu high-entropy metallic glass thin film fabricated by magnetron sputtering. Intermetallics 2025, 184, 108857. [Google Scholar] [CrossRef]
- ISO 14577-4-2007; Metallic Materials—Instrumented Indentation Test for Hardness and Materials Parameters—Part 4: Test Method for Metallic and Non-Metallic Coatings. International Organization for Standardization: Geneva, Switzerland, 2007.
- Oliver, W.C.; Pharr, G.M. An improved technique for determining hardness and elastic modulus using load and displacement sensing indentation experiments. J. Mater. Res. 1992, 7, 1564–1583. [Google Scholar] [CrossRef]
- Maier-Kiener, V.; Korte-Kerzel, S. Advanced nanoindentation testing: Beyond the Oliver–Pharr method. MRS Bull. 2025, 50, 689–694. [Google Scholar] [CrossRef]
- ISO 20502-2005; Fine Ceramics (Advanced Ceramics, Advanced Technical Ceramics)—Determination of Adhesion of Ceramic Coatings by Scratch Testing. International Organization for Standardization: Geneva, Switzerland, 2005.
- Naftaly, M.; Das, S.; Gallop, J.; Pan, K.; Alkhalil, F.; Kariyapperuma, D.; Constant, S.; Ramsdale, C.; Hao, L. Sheet resistance measurements of conductive thin films: A comparison of techniques. Electronics 2021, 10, 960. [Google Scholar] [CrossRef]
- Bönninghoff, N.; Diyatmika, W.; Chu, J.P.; Mraz, S.; Schneider, J.M.; Lin, C.L.; Eriksson, F.; Greczynski, G. ZrCuAlNi thin film metallic glass grown by high power impulse and direct current magnetron sputtering. Surf. Coat. Technol. 2021, 412, 127029. [Google Scholar] [CrossRef]
- Zeman, P.; Haviar, S.; Houška, J.; Thakur, D.; Bondarev, A.; Červená, M.; Medlín, R.; Čerstvý, R. Self-formation of dual-phase nanocomposite Zr–Cu–N coatings based on nanocrystalline ZrN and glassy ZrCu. Mater. Des. 2024, 245, 113278. [Google Scholar] [CrossRef]
- Togni, A.; Montagner, F.; Miorin, E.; Mortalo, C.; Zin, V.; Bolelli, G.; Lusvarghi, L.; Frabboni, S.; Gazzadi, G.C.; Armelao, L.; et al. Synthesis of AlxCoCrFeNi HEA thin films by high power impulse magnetron sputtering: Effect of substrate bias voltage. Surf. Coat. Technol. 2025, 496, 131644. [Google Scholar] [CrossRef]
- Kim, S.E.; Lee, Y.H.; Kim, D.H.; Kim, H.G. Dependence of Arc Ion plating process on properties of CrAl coating for ATF cladding: Effect of bias voltage and targets. J. Nucl. Mater. 2023, 584, 154593. [Google Scholar] [CrossRef]
- Ghidelli, M.; Volland, A.; Blandin, J.J.; Pardoen, T.; Raskin, J.P.; Mompiou, F.; Djemia, P.; Gravier, S. Exploring the mechanical size effects in Zr65Ni35 thin film metallic glasses. J. Alloys Compd. 2014, 615, S90–S92. [Google Scholar] [CrossRef]
- Denis, P.; Liu, S.Y.; Fecht, H.J. Growth mode transition in Au-based thin film metallic glasses. Thin Solid Films 2018, 665, 29–35. [Google Scholar] [CrossRef]
- Ataie, S.A.; Qashqay, S.M.; Zamani-Meymian, M.R.; Ferreira, F. Effect of substrate bias voltage on microstructure and mechanical properties of Cr-Nb-Ti-Zr-NO ceramic thin films produced by reactive sputtering. Coatings 2023, 13, 1141. [Google Scholar] [CrossRef]
- Johlin, E.; Tabet, N.; Castro-Galnares, S.; Abdallah, A.; Bertoni, M.I.; Asafa, T.; Grossman, J.C.; Said, S.; Buonassisi, T. Structural origins of intrinsic stress in amorphous silicon thin films. Phys. Rev. B 2012, 85, 075202. [Google Scholar] [CrossRef]
- Fan, Q.; Wang, Y.; Guo, M.; Wu, Z.; Cao, F.; Liu, Y.; Wang, T. Influence of bias voltage variation on the microstructure and comprehensive properties of CrAlSiN coatings. J. Mater. Res. Technol. 2025, 35, 6605–6614. [Google Scholar] [CrossRef]
- Taghavi Pourian Azar, G.; Er, D.; Ürgen, M. The role of superimposing pulse bias voltage on DC bias on the macroparticle attachment and structure of TiAlN coatings produced with CA-PVD. Surf. Coat. Technol. 2018, 350, 1050–1057. [Google Scholar] [CrossRef]
- Das, C.R.; Rangwala, M.; Ghosh, A. Influence of substrate bias voltage on microstructure and mechanical characteristics of TiAlSiN coating deposited by High Power Impulse Magnetron Sputtering (HiPIMS). Surf. Coat. Technol. 2023, 458, 129351. [Google Scholar] [CrossRef]
- Apreutesei, M.; Steyer, P.; Joly-Pottuz, L.; Billard, A.; Qiao, J.; Cardinal, S.; Sanchette, F.; Pelletier, J.M.; Esnouf, C. Microstructural, thermal and mechanical behavior of co-sputtered binary Zr–Cu thin film metallic glasses. Thin Solid Films 2014, 561, 53–59. [Google Scholar] [CrossRef]
- Sun, L.; Li, H.; Wei, N.; Li, J.; Huang, J.; Kong, J.; Wu, Q.; Shi, Y.; Xiong, D. Effects of bias voltage on the structure, mechanical properties and tribological properties of TaBx films at elevated temperatures. Int. J. Refract. Met. Hard Mater. 2024, 118, 106471. [Google Scholar] [CrossRef]
- Chen, X.; Du, Y.; Chung, Y.-W. Commentary on using H/E and H3/E2 as proxies for fracture toughness of hard coatings. Thin Solid Films 2019, 688, 137265. [Google Scholar] [CrossRef]
- Deng, Y.L.; Lee, J.W.; Lou, B.S.; Duh, J.G.; Chu, J.P.; Jang, J.S.C. The fabrication and property evaluation of Zr–Ti–B–Si thin film metallic glass materials. Surf. Coat. Technol. 2014, 259, 115–122. [Google Scholar] [CrossRef]
- Panjan, P.; Miletić, A.; Drnovšek, A.; Terek, P.; Čekada, M.; Kovačević, L.; Panjan, M. Cracking resistance of selected PVD hard coatings. Coatings 2024, 14, 1452. [Google Scholar] [CrossRef]
- Malzbender, J.; de With, G. The use of the indentation loading curve to detect fracture of coatings. Surf. Coat. Technol. 2001, 137, 72–76. [Google Scholar] [CrossRef]
- Zhao, M.S.Z.; Long, Z.L.; Peng, L. Nanoindentation studies of strain rate sensitivity in bulk metallic glasses. J. Non-Cryst. Solids 2021, 565, 120852. [Google Scholar] [CrossRef]
- Behboud, A.B.; Motallebzadeh, A.; Özerinç, S. Nanoheterogeneous ZrTa metallic glass thin films with high strength and toughness. J. Alloys Compd. 2022, 901, 163578. [Google Scholar] [CrossRef]
- Wang, H.; Chen, W.; Liang, Z.; Zhang, Y.; Qin, B. Microstructure and mechanical properties of nano dual-phase TiCuNi metallic glass films achieved by modulating magnetron sputtering temperature. Vacuum 2023, 214, 112223. [Google Scholar] [CrossRef]
- Wu, Z.; Huan, J.; Geng, D.; Ye, R.; Wang, Q. Investigation on plastic deformation of arc-evaporated AlCrSiN and AlCrSiON nanocomposite films by indentation. Surf. Coat. Technol. 2022, 441, 128570. [Google Scholar] [CrossRef]
- Fan, Q.; Guo, M.; Wu, Z.; Hao, X.; Cao, F.; Liu, Y.; Wang, T. Effects of bias voltage on the microstructure and properties of AlCrN/AlTiN nanoscale multilayer coatings. Vacuum 2023, 215, 112327. [Google Scholar] [CrossRef]
- Kushwaha, A.K.; Misra, M.; Menezes, P.L. Mechanical and Tribological Performance of Additively Manufactured Nanocrystalline Aluminum via Cryomilling and Cold Spray. Lubricants 2025, 13, 386. [Google Scholar] [CrossRef]
- Marimuthu, K.P.; Han, J.; Jeong, U.; Lee, K.; Lee, H. Study on tribological characteristics of Zr-based BMG via nanoscratch techniques. Wear 2021, 486–487, 204067. [Google Scholar] [CrossRef]
- Zhou, Q.; Han, W.; Luo, D.; Du, Y.; Xie, J.; Wang, X.Z.; Zou, Q.; Zhao, X.; Wang, H.; Beake, B.D. Mechanical and tribological properties of Zr–Cu–Ni–Al bulk metallic glasses with dual-phase structure. Wear 2021, 474–475, 203880. [Google Scholar] [CrossRef]
- Castro, J.D.; Ans, M.; Cavaleiro, D.; Carvalho, S. Tribological and mechanical properties of ZrxNy films obtained by HiPIMS in DOMS mode. Tribol. Int. 2023, 189, 108960. [Google Scholar] [CrossRef]
- Geng, D.; Li, H.; Chen, Z.; Xu, Y.X.; Wang, Q. Microstructure, oxidation behavior and tribological properties of AlCrN/Cu coatings deposited by a hybrid PVD technique. J. Mater. Sci. Technol. 2022, 100, 150–160. [Google Scholar] [CrossRef]
- Mei, H.; Wang, R.; Ding, J.C.; Zhao, J.; Wang, T.; Deng, J.; Li, K.; Gong, W.; Wang, Q. Effect of Cu addition on the tribological properties and oxidation behavior of nanomultilayered AlTiN/Cu coatings. J. Mater. Res. Technol. 2024, 28, 719–729. [Google Scholar] [CrossRef]
- Yiu, P.; Bönninghoff, N.; Chu, J.P. Evaluation of Cr-based thin film metallic glass as a potential replacement of PVD chromium coating on plastic mold surface. Surf. Coat. Technol. 2022, 442, 128274. [Google Scholar] [CrossRef]
- Yiu, P.; Diyatmika, W.; Bönninghoff, N.; Lu, Y.C.; Lai, B.Z.; Chu, J.P. Thin film metallic glasses: Properties, applications and future. J. Appl. Phys. 2020, 127, 030901. [Google Scholar] [CrossRef]
- Wang, J.; Liu, J.; Neate, N.; Bai, M.; Xu, F.; Hussain, T.; Scotchford, C.; Hou, X. Investigation on time-dependent wetting behavior of Ni-Cu-P ternary coating. J. Alloys Compd. 2018, 765, 221–228. [Google Scholar] [CrossRef]
- Zhang, C.; Pei, K.; Sheng, T.; Zhang, M.; Zhao, Z.; Huang, W.; Li, Y.; Ai, S.; Guo, Z. Metal Oxides Engineering: Toward Sustainable Superhydrophobic Surfaces. Adv. Funct. Mater. 2025, e12239. [Google Scholar] [CrossRef]
- Ge, P.; Wang, S.; Zhang, J.; Yang, B. Micro-/nanostructures meet anisotropic wetting: From preparation methods to applications. Mater. Horiz. 2020, 7, 2566–2595. [Google Scholar] [CrossRef]
- Chawla, J.S.; Gstrein, F.; O’Brien, K.P.; Clarke, J.S.; Gall, D. Electron scattering at surfaces and grain boundaries in Cu thin films and wires. Phys. Rev. B 2011, 84, 235423. [Google Scholar] [CrossRef]
- Gall, D. The search for the most conductive metal for narrow interconnect lines. J. Appl. Phys. 2020, 127, 050901. [Google Scholar] [CrossRef]
- Zaccone, A. Thickness-dependent conductivity of nanometric semiconductor thin films. Phys. Rev. Mater. 2025, 9, 046001. [Google Scholar] [CrossRef]
- Bakonyi, I. Accounting for the resistivity contribution of grain boundaries in metals: Critical analysis of reported experimental and theoretical data for Ni and Cu. Eur. Phys. J. Plus 2021, 136, 410. [Google Scholar] [CrossRef]
- Graham, R.L.; Alers, G.B.; Mountsier, T.; Shamma, N.; Dhuey, S.; Cabrini, S.; Geiss, R.H.; Read, D.T.; Peddeti, S. Resistivity dominated by surface scattering in sub-50 nm Cu wires. Appl. Phys. Lett. 2010, 96, 042116. [Google Scholar] [CrossRef]


















| Bias Voltage | Elemental Composition, at.% | ||
|---|---|---|---|
| Cu | Zr | O | |
| 0 V | 60.29 ± 0.25 | 34.43 ± 0.15 | 5.28 ± 0.09 |
| −20 V | 60.62 ± 0.42 | 34.61 ± 0.03 | 4.77 ± 0.01 |
| −50 V | 60.20 ± 0.38 | 34.27 ± 0.16 | 5.53 ± 0.06 |
| −100 V | 59.58 ± 0.41 | 34.34 ± 0.15 | 6.08 ± 0.14 |
| −150 V | 58.98 ± 0.32 | 35.30 ± 0.17 | 5.72 ± 0.15 |
Disclaimer/Publisher’s Note: The statements, opinions and data contained in all publications are solely those of the individual author(s) and contributor(s) and not of MDPI and/or the editor(s). MDPI and/or the editor(s) disclaim responsibility for any injury to people or property resulting from any ideas, methods, instructions or products referred to in the content. |
© 2025 by the authors. Licensee MDPI, Basel, Switzerland. This article is an open access article distributed under the terms and conditions of the Creative Commons Attribution (CC BY) license (https://creativecommons.org/licenses/by/4.0/).
Share and Cite
Zhang, R.; Yan, K.; Gao, Z.; Wu, H.; Wang, Q. Microstructure and Mechanical Properties of CuZr Thin-Film Metallic Glasses Deposited by Magnetron Sputtering. Lubricants 2025, 13, 447. https://doi.org/10.3390/lubricants13100447
Zhang R, Yan K, Gao Z, Wu H, Wang Q. Microstructure and Mechanical Properties of CuZr Thin-Film Metallic Glasses Deposited by Magnetron Sputtering. Lubricants. 2025; 13(10):447. https://doi.org/10.3390/lubricants13100447
Chicago/Turabian StyleZhang, Rui, Kai Yan, Zecui Gao, Huiyan Wu, and Qimin Wang. 2025. "Microstructure and Mechanical Properties of CuZr Thin-Film Metallic Glasses Deposited by Magnetron Sputtering" Lubricants 13, no. 10: 447. https://doi.org/10.3390/lubricants13100447
APA StyleZhang, R., Yan, K., Gao, Z., Wu, H., & Wang, Q. (2025). Microstructure and Mechanical Properties of CuZr Thin-Film Metallic Glasses Deposited by Magnetron Sputtering. Lubricants, 13(10), 447. https://doi.org/10.3390/lubricants13100447

