Polysaccharide- and β-Cyclodextrin-Based Chiral Selectors for Enantiomer Resolution: Recent Developments and Applications
Abstract
1. Introduction
2. Cellulose-Based CSPs
2.1. Chiral Selector Development
2.2. Material Preparation Developments
2.3. Chiral Recognition Mechanism Studies
2.4. Applications of Commercial Cellulose-Based Chiral Columns
3. Amylose-Based CSPs
3.1. Chiral Selector Development
3.2. Material Preparation Developments
3.3. Chiral Recognition Mechanism Studies
3.4. Applications of Commercial Chiral Columns Based on Amylose
4. Chitosan-Based CSPs
5. β-Cyclodextrin-Based CSPs
5.1. Chiral Selector Development
5.2. Preparation Developments and Method Development
6. Conclusions and Outlook
Supplementary Materials
Funding
Institutional Review Board Statement
Informed Consent Statement
Conflicts of Interest
References
- Berthod, A. Chiral Recognition Mechanisms. Anal. Chem. 2006, 78, 2093–2099. [Google Scholar] [CrossRef]
- Lämmerhofer, M. Chiral recognition by enantioselective liquid chromatography: Mechanisms and modern chiral stationary phases. J. Chromatogr. A 2010, 1217, 814–856. [Google Scholar] [CrossRef]
- Fanali, C.; D’Orazio, G.; Gentili, A.; Fanali, S. Analysis of Enantiomers in Products of Food Interest. Molecules 2019, 24, 1119. [Google Scholar] [CrossRef] [PubMed]
- D’Orazio, G. Chiral analysis by nano-liquid chromatography. TrAC Trends Anal. Chem. 2020, 125, 115832. [Google Scholar] [CrossRef]
- Singh, M.; Sethi, S.; Bhushan, R. Liquid chromatographic methods for separation, determination, and bioassay of enantiomers of etodolac: A review. J. Sep. Sci. 2020, 43, 18–30. [Google Scholar] [CrossRef]
- Carrão, D.B.; Perovani, I.S.; de Albuquerque, N.C.P.; de Oliveira, A.R.M. Enantioseparation Of Pesticides: A Critical Review. TrAC Trends Anal. Chem. 2019, 112, 115719. [Google Scholar] [CrossRef]
- Zhao, P.; Dong, X.; Chen, X.; Guo, X.; Zhao, L. Stereoselective Analysis of Chiral Pyrethroid Insecticides Tetramethrin and α-Cypermethrin in Fruits, Vegetables, and Cereals. J. Agric. Food Chem. 2019, 67, 9362–9370. [Google Scholar] [CrossRef]
- Chankvetadze, B. Polysaccharide-Based Chiral Stationary Phases for Enantioseparations by High-Performance Liquid Chromatography: An Overview. In Methods in Molecular Biology; Springer: Berlin/Heidelberg, Germany, 2019; Volume 1985, pp. 93–126. [Google Scholar]
- Ianni, F.; Saluti, G.; Galarini, R.; Fiorito, S.; Sardella, R.; Natalini, B. Enantioselective high-performance liquid chromatography analysis of oxygenated polyunsaturated fatty acids. Free. Radic. Biol. Med. 2019, 144, 35–54. [Google Scholar] [CrossRef]
- Scriba, G.K.E. Recognition Mechanisms of Chiral Selectors: An Overview. In Methods in Molecular Biology; Springer: Berlin/Heidelberg, Germany, 2019; Volume 1985, pp. 1–33. [Google Scholar]
- Teixeira, J.; Tiritan, M.E.; Pinto, M.M.; Fernandes, C. Chiral stationary phases for liquid chromatography: Recent developments. Molecules 2019, 24, 865. [Google Scholar] [CrossRef]
- Hettegger, H.; Lindner, W.; Rosenau, T. Derivatized polysaccharides on silica and hybridized with silica in chromatography and separation—A mini review. Recent Trends Carbohydr. Chem. 2020, 441–462. [Google Scholar] [CrossRef]
- Chankvetadze, B. Recent trends in preparation, investigation and application of polysaccharide-based chiral stationary phases for separation of enantiomers in high-performance liquid chromatography. TrAC Trends Anal. Chem. 2020, 122, 115709. [Google Scholar] [CrossRef]
- Felletti, S.; Ismail, O.H.; De Luca, C.; Costa, V.; Gasparrini, F.; Pasti, L.; Marchetti, N.; Cavazzini, A.; Catani, M. Recent Achievements and Future Challenges in Supercritical Fluid Chromatography for the Enantioselective Separation of Chiral Pharmaceuticals. Chromatographia 2019, 82, 65–75. [Google Scholar] [CrossRef]
- Yin, C.; Zhang, J.; Chang, L.; Zhang, M.; Yang, T.; Zhang, X.; Zhang, J. Regioselectively substituted cellulose mixed esters synthesized by two-steps route to understand chiral recognition mechanism and fabricate high-performance chiral stationary phases. Anal. Chim. Acta 2019, 1073, 90–98. [Google Scholar] [CrossRef] [PubMed]
- Felix, G. Regioselectively modified polysaccharide derivatives as chiral stationary phases in high-performance liquid chromatography. J. Chromatogr. A 2001, 906, 171–184. [Google Scholar] [CrossRef]
- Acemoglu, M.; Hernandez, I.; Mak, C.P. Synthesis of regioselectively substituted cellulose derivatives and applications in chiral chromatography. Chirality 1998, 10, 294–306. [Google Scholar] [CrossRef]
- Katoh, Y.; Tsujimoto, Y.; Yamamoto, C.; Ikai, T.; Kamigaito, M.; Okamoto, Y. Chiral recognition ability of cellulose derivatives bearing pyridyl and bipyridyl residues as chiral stationary phases for high-performance liquid chromatography. Polym. J. 2011, 43, 84–90. [Google Scholar] [CrossRef][Green Version]
- Yu, X.; Wang, Y.; Yang, Q.; Zhang, Z.; Ren, Q.; Bao, Z.; Yang, Y. De novo synthesis of microspherical cellulose 3,5-dichlorophenylcarbamates: An organic-inorganic hybrid chiral stationary phase for enantioseparation. Sep. Purif. Technol. 2020, 238, 116480. [Google Scholar] [CrossRef]
- Qian, H.; Shen, X.; Huang, H.; Zhang, Y.; Zhang, M.; Wang, H.; Wang, Z.; Wang, Z. Helical poly(phenyl isocyanide)s grafted selectively on C-6 of cellulose for improved chiral recognition ability. Carbohydr. Polym. 2020, 231, 115737. [Google Scholar] [CrossRef]
- Gao, J.; Quan, K.; Li, H.; Li, Z.; Zhao, L.; Qiu, H. Preparation and evaluation of biselector bonded-type multifunctional chiral stationary phase based on dialdehyde cellulose and 6-monodeoxy-6-monoamino-β-cyclodextrine derivatives. Chirality 2020, 32, 387–399. [Google Scholar] [CrossRef]
- Gao, J.; Chen, L.; Wu, Q.; Li, H.; Dong, S.; Qin, P.; Yang, F.; Zhao, L. Preparation and chromatographic performance of a multifunctional immobilized chiral stationary phase based on dialdehyde microcrystalline cellulose derivatives. Chirality 2019, 31, 669–681. [Google Scholar] [CrossRef]
- Siller, M.; Amer, H.; Bacher, M.; Roggenstein, W.; Rosenau, T.; Potthast, A. Effects of periodate oxidation on cellulose polymorphs. Cellulose 2015, 22, 2245–2261. [Google Scholar] [CrossRef]
- Gao, J.; Luo, G.; Li, Z.; Li, H.; Zhao, L.; Qiu, H. A new strategy for the preparation of mixed-mode chromatographic stationary phases based on modified dialdehyde cellulose. J. Chromatogr. A 2020, 1618, 460885. [Google Scholar] [CrossRef] [PubMed]
- Plappert, S.F.; Quraishi, S.; Pircher, N.; Mikkonen, K.; Veigel, S.; Klinger, K.M.; Potthast, A.; Rosenau, T.; Liebner, F.W. Transparent, Flexible, and Strong 2,3-Dialdehyde Cellulose Films with High Oxygen Barrier Properties. Biomacromolecules 2018, 19, 2969–2978. [Google Scholar] [CrossRef]
- Yin, C.; Chen, W.; Zhang, J.; Zhang, M.; Zhang, J. A facile and efficient method to fabricate high-resolution immobilized cellulose-based chiral stationary phases via thiol-ene click chemistry. Sep. Purif. Technol. 2019, 210, 175–181. [Google Scholar] [CrossRef]
- Li, L.; Wang, H.; Shuang, Y.; Li, L. The preparation of a new 3, 5-dichlorophenylcarbamated cellulose-bonded stationary phase and its application for the enantioseparation and determination of chiral fungicides by LC-MS/MS. Talanta 2019, 202, 494–506. [Google Scholar] [CrossRef] [PubMed]
- Echevarría, R.N.; Keunchkarian, S.; Villarroel-Rocha, J.; Sapag, K.; Reta, M. Organic monolithic capillary columns coated with cellulose tris(3,5-dimethylphenyl carbamate) for enantioseparations by capillary HPLC. Microchem. J. 2019, 149, 104011. [Google Scholar] [CrossRef]
- Carradori, S.; Secci, D.; Guglielmi, P.; Pierini, M.; Cirilli, R. High-performance liquid chromatography enantioseparation of chiral 2-(benzylsulfinyl)benzamide derivatives on cellulose tris(3,5-dichlorophenylcarbamate) chiral stationary phase. J. Chromatogr. A 2020, 1610, 460572. [Google Scholar] [CrossRef]
- Ianni, F.; Blasi, F.; Giusepponi, D.; Coletti, A.; Galli, F.; Chankvetadze, B.; Galarini, R.; Sardella, R. Liquid chromatography separation of α- and γ-linolenic acid positional isomers with a stationary phase based on covalently immobilized cellulose tris(3,5-dichlorophenylcarbamate). J. Chromatogr. A 2020, 1609, 460461. [Google Scholar] [CrossRef]
- Zhang, J.; Sun, J.; Liu, Y.; Yu, J.; Guo, X. Immobilized Cellulose-Based Chiralpak IC Chiral Stationary Phase for Enantiosep-aration of Eight Imidazole Antifungal Drugs in Normal-Phase, Polar Organic Phase and Reversed-Phase Conditions Using High-Performance Liquid Chromatography. Chromatographia 2019, 82, 649–660. [Google Scholar] [CrossRef]
- Li, M.; Jiang, Z.; Di, X.; Song, Y. Enantiomeric separation of six beta-adrenergic blockers on Chiralpak IB column and iden-tification of chiral recognition mechanisms by molecular docking technique. Biomed. Chromatogr. 2020, 34, e4803. [Google Scholar] [CrossRef]
- Cerra, B.; Macchiarulo, A.; Carotti, A.; Camaioni, E.; Varfaj, I.; Sardella, R.; Gioiello, A. Enantioselective HPLC Analysis to Assist the Chemical Exploration of Chiral Imidazolines. Molecules 2020, 25, 640. [Google Scholar] [CrossRef] [PubMed]
- Karakka Kal, A.K.; Nalakath, J.; Kunhamu Karatt, T.; Perwad, Z.; Mathew, B.; Subhahar, M. Development and validation of a chiral LC-MS method for the enantiomeric resolution of (+) and (−)-medetomidine in equine plasma by using polysaccharide-based chiral stationary phases. Chirality 2020, 32, 314–323. [Google Scholar] [CrossRef] [PubMed]
- Tanács, D.; Orosz, T.; Szakonyi, Z.; Le, T.M.; Fülöp, F.; Lindner, W.; Ilisz, I.; Péter, A. High-performance liquid chromatographic enantioseparation of isopulegol-based ß-amino lactone and ß-amino amide analogs on polysaccharide-based chiral stationary phases focusing on the change of the enantiomer elution order. J. Chromatogr. A 2020, 1621, 461054. [Google Scholar] [CrossRef] [PubMed]
- Luo, X.; Fang, C.; Mi, J.; Xu, J.; Lin, H. Enantiomeric resolution, thermodynamic parameters, and modeling of clausenamidone and neoclausenamidone on polysaccharide-based chiral stationary phases. Chirality 2019, 31, 423–433. [Google Scholar] [CrossRef] [PubMed]
- Cheng, L.; Cai, J.; Fu, Q.; Ke, Y. Efficient preparative separation of 6-(4-aminophenyl)-5-methyl-4,5-dihydro-3 (2H)-pyridazinone enantiomers on polysaccharide-based stationary phases in polar organic solvent chromatography and super-critical fluid chromatography. J. Sep. Sci. 2019, 42, 2482–2490. [Google Scholar] [CrossRef]
- Orosz, T.; Bajtai, A.; Minh Le, T.; Tanács, D.; Szakonyi, Z.; Fülöp, F.; Péter, A.; Ilisz, I. Chiral high-performance liquid and supercritical fluid chromatographic enantioseparations of limonene-based bicyclic aminoalcohols and aminodiols on polysaccharide-based chiral stationary phases. Biomed. Chromatogr. 2019, 33, e4517. [Google Scholar] [CrossRef]
- Ferencz, E.; Kovács, B.; Boda, F.; Foroughbakhshfasaei, M.; Kelemen, É.K.; Tóth, G.; Szabó, Z.-I. Simultaneous determination of chiral and achiral impurities of ivabradine on a cellulose tris(3-chloro-4-methylphenylcarbamate) chiral column using polar organic mode. J. Pharm. Biomed. Anal. 2020, 177, 112851. [Google Scholar] [CrossRef]
- Tantawy, M.A.; Yehia, A.M.; Aboul-Enein, H.Y. Simultaneous determination of guaifenesin enantiomers and ambroxol HCl using 50-mm chiral column for a negligible environmental impact. Chirality 2019, 31, 835–844. [Google Scholar] [CrossRef]
- Cutillas, V.; García-Valverde, M.; del Mar Gómez-Ramos, M.; Díaz-Galiano, F.J.; Ferrer, C.; Fernández-Alba, A.R. Supercritical fluid chromatography separation of chiral pesticides: Unique capabilities to study cyhalothrin and metalaxyl as examples. J. Chromatogr. A 2020, 1620, 461007. [Google Scholar] [CrossRef]
- Douša, M. Enantioseparation of N-acetyl-DL-cysteine as o-phthaldialdehyde derivatives obtained with various primary ali-phatic amine additives on polysaccharide-based chiral stationary phases. J. Pharm. Biomed. Anal. 2019, 166, 147–154. [Google Scholar] [CrossRef] [PubMed]
- Dai, X.; Bi, W.; Sun, M.; Wang, F.; Shen, J.; Okamoto, Y. Chiral recognition ability of amylose derivatives bearing regioselectively different carbamate pendants at 2,3- and 6-positions. Carbohydr. Polym. 2019, 218, 30–36. [Google Scholar] [CrossRef] [PubMed]
- Ryoki, A.; Kimura, Y.; Kitamura, S.; Maeda, K.; Terao, K. Does local chain conformation affect the chiral recognition ability of an amylose derivative? Comparison between linear and cyclic amylose tris(3,5-dimethylphenylcarbamate). J. Chromatogr. A 2019, 1599, 144–151. [Google Scholar] [CrossRef] [PubMed]
- Maisuradze, M.; Sheklashvili, G.; Chokheli, A.; Matarashvili, I.; Gogatishvili, T.; Farkas, T.; Chankvetadze, B. Chromatographic and thermodynamic comparison of amylose tris(3-chloro-5-methylphenylcarbamate) coated or covalently immobilized on silica in high-performance liquid chromatographic separation of the enantiomers of select chiral weak acids. J. Chromatogr. A 2019, 1602, 228–236. [Google Scholar] [CrossRef] [PubMed]
- Wang, H.; Wang, Q.; Wu, Y.; Cheng, L.; Zhu, L.; Zhu, J.; Ke, Y. HPLC and SFC enantioseparation of (±)-Corey lactone diol: Impact of the amylose tris-(3, 5-dimethylphenylcarbamate) coating amount on chiral preparation. Chirality 2019, 31, 855–864. [Google Scholar] [CrossRef]
- Dascalu, A.-E.; Ghinet, A.; Chankvetadze, B.; Lipka, E. Comparison of dimethylated and methylchlorinated amylose stationary phases, coated and covalently immobilized on silica, for the separation of some chiral compounds in supercritical fluid chromatography. J. Chromatogr. A 2020, 1621, 461053. [Google Scholar] [CrossRef]
- Upmanis, T.; Kažoka, H.; Orlova, N.; Vorona, M. Separation of 4C-Substituted Pyrrolidin-2-One Derivatives on Polysaccha-ride-Based Coated Chiral Stationary Phases. Chromatographia 2020, 83, 331–340. [Google Scholar] [CrossRef]
- Zhao, P.; Li, S.; Chen, X.; Guo, X.; Zhao, L. Simultaneous enantiomeric analysis of six chiral pesticides in functional foods using magnetic solid-phase extraction based on carbon nanospheres as adsorbent and chiral liquid chromatography coupled with tandem mass spectrometry. J. Pharm. Biomed. Anal. 2019, 175, 112784. [Google Scholar] [CrossRef]
- Kadkhodaei, K.; Kadisch, M.; Schmid, M.G.J.C. Successful use of a novel lux® i-Amylose-1 chiral column for enantioseparation of “legal highs” by HPLC. J. Chirality 2020, 32, 42–52. [Google Scholar] [CrossRef]
- Kim, T.; Bao, C.; Hausmann, M.; Siqueira, G.; Zimmermann, T.; Kim, W.S. 3D Printed Disposable Wireless Ion Sensors with Biocompatible Cellulose Composites. Adv. Electron. Mater. 2019, 5, 1800778. [Google Scholar] [CrossRef]
- Rane, V.P.; Ahirrao, V.K.; Patil, K.R.; Jadhav, R.; Ingle, R.G.; More, K.B.; Yeole, R.D. Enantiomeric Separation and Thermodynamic investigation of (R)-5-[1-(4-Nitrobenzylsulfonyloxy)-ethyl]-5-(pyridine-2-yl)-[1,3,4]-thiadiazole, a Key Intermediate of Nafithromycin. Anal. Chem. Lett. 2019, 9, 625–633. [Google Scholar] [CrossRef]
- Merino, M.E.D.; Echevarría, R.N.; Lubomirsky, E.; Padró, J.M.; Castells, C.B. Enantioseparation of the racemates of a number of pesticides on a silica-based column with immobilized amylose tris(3-chloro-5-methylphenylcarbamate). Microchem. J. 2019, 149, 103970. [Google Scholar] [CrossRef]
- D’Orazio, G.; Fanali, C.; Fanali, S.; Gentili, A.; Chankvetadze, B. Comparative study on enantiomer resolving ability of amylose tris(3-chloro-5-methylphenylcarbamate) covalently immobilized onto silica in nano-liquid chromatography and capillary electrochromatography. J. Chromatogr. A 2019, 1606, 460425. [Google Scholar] [CrossRef] [PubMed]
- Panella, C.; Ferretti, R.; Casulli, A.; Cirilli, R. Temperature and eluent composition effects on enantiomer separation of carvedilol by high-performance liquid chromatography on immobilized amylose-based chiral stationary phases. J. Pharm. Anal. 2019, 9, 324–331. [Google Scholar] [CrossRef]
- Karakka Kal, A.K.; Karatt, T.K.; Sayed, R.; Philip, M.; Meissir, S.; Nalakath, J. Separation of ephedrine and pseudoephedrine enantiomers using a polysaccharide-based chiral column: A normal phase liquid chromatography–high-resolution mass spectrometry approach. Chirality 2019, 31, 568–574. [Google Scholar] [CrossRef]
- Ibrahim, D.; Ghanem, A. On the Enantioselective HPLC Separation Ability of Sub-2 µm Columns: Chiralpak® IG-U and ID-U. Molecues 2019, 24, 1287. [Google Scholar] [CrossRef]
- Bajtai, A.; Lajkó, G.; Németi, G.; Szatmári, I.; Fülöp, F.; Péter, A.; Ilisz, I. High-performance liquid chromatographic and subcritical fluid chromatographic separation of α-arylated ß-carboline, N-alkylated tetrahydroisoquinolines and their bioisosteres on polysaccharide-based chiral stationary phases. J. Sep. Sci. 2019, 42, 2779–2787. [Google Scholar] [CrossRef]
- Petrovaj, J.; Kudličková, Z.; Budovská, M.; Salayová, A.; Baláž, M.; Lindner, W.; Gondová, T. Liquid chromatographic chiral recognition of phytoalexins on immobilized polysaccharides chiral stationary phases. Unusual temperature behavior. J. Chromatogr. A 2019, 1601, 178–188. [Google Scholar] [CrossRef] [PubMed]
- Kozlov, O.; Kalíková, K.; Gondová, T.; Budovská, M.; Salayová, A.; Tesařová, E. Fast enantioseparation of indole phytoalexins in additive free supercritical fluid chromatography. J. Chromatogr. A 2019, 1596, 209–216. [Google Scholar] [CrossRef] [PubMed]
- Li, M.; Liang, X.; Guo, X.; Di, X.; Jiang, Z. Enantiomeric separation and enantioselective determination of some representative non-steroidal anti-inflammatory drug enantiomers in fish tissues by using chiral liquid chromatography coupled with tandem mass spectrometry. Microchem. J. 2020, 153, 104511. [Google Scholar] [CrossRef]
- Zhang, G.-H.; Xi, J.-B.; Chen, W.; Bai, Z.-W. Comparison in enantioseparation performance of chiral stationary phases prepared from chitosans of different sources and molecular weights. J. Chromatogr. A 2020, 1621, 461029. [Google Scholar] [CrossRef]
- Fu, L.-L.; Wang, X.-C.; Fu, K.-Q.; Xi, J.-B.; Chen, W.; Tang, S.; Bai, Z.-W. Dependence of enantioseparation performance on structure of chiral selectors derived from N-cycloalkylcarbonyl chitosan. React. Funct. Polym. 2019, 141, 91–99. [Google Scholar] [CrossRef]
- Zhang, J.; Zhang, G.-H.; Wang, X.-C.; Bai, Z.-W.; Chen, W. Synthesis and evaluation of novel chiral stationary phases based on N-cyclobutylcarbonyl chitosan derivatives. Microchem. J. 2019, 147, 224–231. [Google Scholar] [CrossRef]
- Zhang, G.-H.; Liang, S.; Tang, S.; Chen, W.; Bai, Z.-W. Performance evaluation of enantioseparation materials based on chitosan isobutylurea derivatives. Anal. Methods 2019, 11, 1604–1612. [Google Scholar] [CrossRef]
- Yang, X.; Niu, X.; Mo, Z.; Guo, R.; Liu, N.; Zhao, P.; Liu, Z. Perylene-functionalized graphene sheets modified with chitosan for voltammetric discrimination of tryptophan enantiomers. Microchim. Acta 2019, 186, 333. [Google Scholar] [CrossRef]
- Xiao, X.; Li, Z.; Liu, Y.; Jia, L. Preparation of chitosan-based molecularly imprinted material for enantioseparation of racemic mandelic acid in aqueous medium by solid phase extraction. J. Sep. Sci. 2019, 42, 3544–3552. [Google Scholar] [CrossRef]
- Shuang, Y.; Liao, Y.; Wang, H.; Wang, Y.; Li, L. Preparation and evaluation of a triazole-bridged bis(β-cyclodextrin)–bonded chiral stationary phase for HPLC. Chirality 2020, 32, 168–184. [Google Scholar] [CrossRef]
- Shuang, Y.; Zhang, T.; Li, L. Preparation of a stilbene diamido-bridged bis(β-cyclodextrin)-bonded chiral stationary phase for enantioseparations of drugs and pesticides by high performance liquid chromatography. J. Chromatogr. A 2020, 1614, 460702. [Google Scholar] [CrossRef]
- Shuang, Y.; Liao, Y.; Zhang, T.; Li, L. Preparation and evaluation of an ethylenediamine dicarboxyethyl diamido-bridged bis(β-cyclodextrin)-bonded chiral stationary phase for high performance liquid chromatography. J. Chromatogr. A 2020, 1619, 460937. [Google Scholar] [CrossRef] [PubMed]
- Ji, J.; Wu, W.; Liang, W.; Cheng, G.; Matsushita, R.; Yan, Z.; Wei, X.; Rao, M.; Yuan, D.-Q.; Fukuhara, G.; et al. An Ultimate Stereocontrol in Supramolecular Photochirogenesis: Photocyclodimerization of 2-Anthracenecarboxylate Mediated by Sulfur-Linked β-Cyclodextrin Dimers. J. Am. Chem. Soc. 2019, 141, 9225–9238. [Google Scholar] [CrossRef]
- Wei, X.; Wu, W.; Matsushita, R.; Yan, Z.; Zhou, D.; Chruma, J.J.; Nishijima, M.; Fukuhara, G.; Mori, T.; Inoue, Y.; et al. Supramolecular Photochirogenesis Driven by Higher-Order Complexation: Enantiodifferentiating Photocyclodimerization of 2-Anthracenecarboxylate to Slipped Cyclodimers via a 2:2 Complex with β-Cyclodextrin. J. Am. Chem. Soc. 2018, 140, 3959–3974. [Google Scholar] [CrossRef] [PubMed]
- Dai, L.; Wu, W.; Liang, W.; Chen, W.-T.; Yu, X.; Ji, J.; Xiao, C.; Yang, C. Enhanced chiral recognition by γ-cyclodextrin–cucurbit- [6]uril-cowheeled [4] pseudorotaxanes. Chem. Commun. 2018, 54, 2643–2646. [Google Scholar] [CrossRef]
- Bálint, M.; Darcsi, A.; Benkovics, G.; Varga, E.; Malanga, M.; Béni, S. Synthesis of the chiral selector heptakis(6-O-methyl)-β-cyclodextrin by phase-transfer catalysis and hydrazine-mediated transfer-hydrogenation. Electrophoresis 2019, 40, 1941–1950. [Google Scholar] [CrossRef] [PubMed]
- Sun, J.; Ma, S.; Liu, B.; Yu, J.; Guo, X. A fully derivatized 4-chlorophenylcarbamate-β-cyclodextrin bonded chiral stationary phase for enhanced enantioseparation in HPLC. Talanta 2019, 204, 817–825. [Google Scholar] [CrossRef] [PubMed]
- Zhao, Y.; Wang, J.; Liu, Y.; Jiang, Z.; Song, Y.; Guo, X. Enantioseparation using carboxymethyl-6-(4-methoxybenzylamino)-β-cyclodextrin as a chiral selector by capillary electrophoresis and molecular modeling study of the recognition mechanism. New J. Chem. 2020, 44, 958–972. [Google Scholar] [CrossRef]
- Ren, X.; Luo, Q.; Zhou, D.; Zhang, K.; Gao, D.; Fu, Q.; Liu, J.; Xia, Z.; Wang, L. Thermoresponsive chiral stationary phase functionalized with the copolymer of β-cyclodextrin and N-isopropylacrylamide for high performance liquid chromatography. J. Chromatogr. A 2020, 1618, 460904. [Google Scholar] [CrossRef]
- Ke, J.; Zhang, Y.; Zhang, X.; Liu, Y.; Ji, Y.; Chen, J. Novel chiral composite membrane prepared via the interfacial polymer-ization of diethylamino-beta-cyclodextrin for the enantioseparation of chiral drugs. J. Membr. Sci. 2020, 597, 117635. [Google Scholar] [CrossRef]
- Li, L.; Wang, H.; Jin, Y.; Shuang, Y.; Li, L. Preparation of a new benzylureido-β-cyclodextrin-based column and its application for the determination of phenylmercapturic acid and benzylmercapturic acid enantiomers in human urine by LC/MS/MS. Anal. Bioanal. Chem. 2019, 411, 5465–5479. [Google Scholar] [CrossRef]
- Wu, Q.; Gao, J.; Chen, L.; Dong, S.; Li, H.; Qiu, H.; Zhao, L. Graphene quantum dots functionalized β-cyclodextrin and cellulose chiral stationary phases with enhanced enantioseparation performance. J. Chromatogr. A 2019, 1600, 209–218. [Google Scholar] [CrossRef]
- Naghdi, E.; Fakhari, A.R.; Baca, M.; De Malsche, W. Simultaneous enantioseparation of nonsteroidal anti-inflammatory drugs by a one-dimensional liquid chromatography technique using a dynamically coated chiral porous silicon pillar array column. J. Chromatogr. A 2020, 1615, 460752. [Google Scholar] [CrossRef]
- Jiang, Z.; Qu, J.; Tian, X.; Huo, X.; Zhang, J.; Guo, X.; Fang, L. Sol-gel technique for the preparation of β-cyclodextrin gold nanoparticles as chiral stationary phase in open-tubular capillary electrochromatography. J. Sep. Sci. 2019, 42, 1948–1954. [Google Scholar] [CrossRef] [PubMed]
- Zhou, L.; Lun, J.; Liu, Y.; Jiang, Z.; Di, X.; Guo, X. In situ immobilization of sulfated-β-cyclodextrin as stationary phase for capillary electrochromatography enantioseparation. Talanta 2019, 200, 1–8. [Google Scholar] [CrossRef] [PubMed]
- Wang, T.; Cheng, Y.; Zhang, Y.; Zha, J.; Ye, J.; Chu, Q.; Cheng, G. β-cyclodextrin modified quantum dots as pseudo-stationary phase for direct enantioseparation based on capillary electrophoresis with laser-induced fluorescence detection. Talanta 2020, 210, 120629. [Google Scholar] [CrossRef]
- Chen, F.; Fan, Z.; Zhu, Y.; Sun, H.; Yu, J.; Jiang, N.; Zhao, S.; Lai, G.; Yu, A.; Lin, C.-T.; et al. β-Cyclodextrin-Immobilized Ni/Graphene Electrode for Electrochemical Enantiorecognition of Phenylalanine. Materials 2020, 13, 777. [Google Scholar] [CrossRef] [PubMed]
- Sun, X.; Tao, Y.; Du, Y.; Ding, W.; Chen, C.; Ma, X. Metal organic framework HKUST-1 modified with carboxymethyl-β-cyclodextrin for use in improved open tubular capillary electrochromatographic enantioseparation of five basic drugs. Microchim. Acta 2019, 186, 462. [Google Scholar] [CrossRef]
- Deng, M.; Li, S.; Cai, L.; Guo, X. Preparation of a hydroxypropyl-β-cyclodextrin functionalized monolithic column by one-pot sequential reaction and its application for capillary electrochromatographic enantiomer separation. J. Chromatogr. A 2019, 1603, 269–277. [Google Scholar] [CrossRef]
- Yang, X.; Sun, X.; Feng, Z.; Du, Y.; Chen, J.; Ma, X.; Li, X. Open-tubular capillary electrochromatography with β-cyclodextrin-functionalized magnetic nanoparticles as stationary phase for enantioseparation of dansylated amino acids. Microchim. Acta 2019, 186, 244. [Google Scholar] [CrossRef]
- Sun, X.; Guo, J.; Yu, T.; Du, Y.; Feng, Z.; Zhao, S.; Huang, Z.; Liu, J. A novel coating method for CE capillary using carbox-ymethyl-β-cyclodextrin-modified magnetic microparticles as stationary for electrochromatography enantioseparation. Anal. Bioanal. Chem. 2019, 411, 1193–1202. [Google Scholar] [CrossRef] [PubMed]
- Sun, X.; Du, Y.; Zhao, S.; Huang, Z.; Feng, Z. Enantioseparation of propranolol, amlodipine and metoprolol by electro-chromatography using an open tubular capillary modified with β-cyclodextrin and poly(glycidyl methacrylate) nanoparticles. Microchim. Acta 2019, 186, 128. [Google Scholar] [CrossRef]
- Khatri, S.; Memon, N.; Khatri, Z.; Ahmed, F. TLC-based enantiomeric separation of amino acids onto β-CD-incorporated glutaraldehyde-crosslinked PVA electrospun fiber stationary phase. Acta Chromatogr. 2020, 32, 210–213. [Google Scholar] [CrossRef]
- Folprechtová, D.; Kalíková, K.; Kozlík, P.; Tesařová, E. The degree of substitution affects the enantioselectivity of sulfobutylether-β-cyclodextrin chiral stationary phases. Electrophoresis 2019, 40, 1972–1977. [Google Scholar] [CrossRef] [PubMed]
- Szabó, Z.-I.; Ludmerczki, R.; Fiser, B.; Noszál, B.; Tóth, G. Chiral separation of rasagiline using sulfobutylether-β-cyclodextrin: Capillary electrophoresis, NMR and molecular modeling study. Electrophoresis 2019, 40, 1897–1903. [Google Scholar] [CrossRef]
- Papp, L.A.; Hancu, G.; Gyéresi, Á.; Kelemen, H.; Szabó, Z.; Noszál, B.; Dubský, P.; Tóth, G. Chiral separation of lansoprazole and rabeprazole by capillary electrophoresis using dual cyclodextrin systems. Electrophoresis 2019, 40, 2799–2805. [Google Scholar] [CrossRef] [PubMed]
- Pathak, P.; Coutinho, E.C.; Mohanraj, K.; Martis, E.; Jain, V. Chromatographic and Computational Studies on the Chiral Recognition of Sulfated β-Cyclodextrin on Enantiomeric Separation of Milnacipran. Anal. Chem. 2020. [Google Scholar] [CrossRef]
- Hägele, J.S.; Hubner, E.M.; Schmid, M.G. Chiral separation of cathinone derivatives using β-cyclodextrin-assisted capillary electrophoresis–Comparison of four different β-cyclodextrin derivatives used as chiral selectors. Electrophoresis 2019, 40, 1787–1794. [Google Scholar] [CrossRef] [PubMed]
- Shi, X.; Zhou, Y.; Liu, F.; Mao, J.; Zhang, Y.; Shan, T. Modeling of chiral gas chromatographic separation of alkyl and cycloalkyl 2-bromopropionates using cyclodextrin derivatives as stationary phases. J. Chromatogr. A 2019, 1596, 161–174. [Google Scholar] [CrossRef]
- Casado, N.; Saz, J.M.; García, M.Á.; Marina, M.L. Modeling-based optimization of the simultaneous enantiomeric separation of multicomponent mixtures of phenoxy acid herbicides using dual cyclodextrin systems by Capillary Electrophoresis. J. Chromatogr. A 2020, 1610, 460552. [Google Scholar] [CrossRef] [PubMed]
- Sun, W.; Wang, C.; Jin, Y.; Wang, X.; Zhao, S.; Luo, M.; Yan, J.; Tong, S. Stereoselective separation of (1S,4S)-sertraline from medicinal reaction mixtures by countercurrent chromatography with hydroxypropyl-β-cyclodextrin as stereoselective selector. J. Sep. Sci. 2019, 42, 2734–2742. [Google Scholar] [CrossRef] [PubMed]
- Yu, T.; Zhang, J.; Sun, X.; Du, Y. Evaluation of cyclodextrin-micellar electrokinetic capillary chromatography with pyrrolidinium-based ionic liquid surfactant as a pseudostationary phase for chiral separation. Sep. Sci. Plus 2019, 2, 137–145. [Google Scholar] [CrossRef]






| Commercial Name | Chiral Selector | Chemical Structure of the Chiral Selector | 
|---|---|---|
| Chiralcel® OD-H, Trefoil CEL1, Chiralcel® OD-H, Chiralcel® OD-RH, Chiralcel® OD-3R, Chiralpak® OD-H, Lux® Cellulose-1 | coated cellulose tris-(3,5-dimethylphenyl carbamate) |  | 
| Chiralpak® IB | immobilized cellulose tris-(3,5-dimethylphenyl carbamate) | |
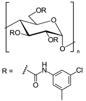
| Chiralcel® OZ-3R, Lux® Cellulose-2 | coated cellulose tris-(3-chloro-4-methylphenyl carbamate) |  | 
| Chiralcel® OJ-3R, Chiralcel® OJ-H, Chiralcel® OJ, Chiralpak® OJ-H, Lux® Cellulose-3 | coated cellulose tris-(4-methyl benzoate) |  | 
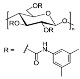
| Lux® Cellulose-4 | coated cellulose tris-(3-methyl-4-chlorophenyl carbamate) |  | 
| Chiralpak® IC, Lux® i-cellulose-5 | immobilized cellulose tris-(3,5-dichlorophenyl carbamate) |  | 
| Commercial Name | Chiral Selector | Chemical Structure of the Chiral Selector | 
|---|---|---|
| Lux® Amylose-1, Chiralpak® AD-H, Chiralpak® AD-3R, Chiralpak® AD, Lux® Amylose-1, Chiralpak® AD-H, YMC CHIRAL ART Amylose-C, Trefoil AMY1 | coated amylose tris-(3,5-dimethylphenyl carbamate) |  | 
| Lux® i-amylose-1, Chiralpak® IA, Chiralpak® IG, Chiralpak® IA-3 | immobilized amylose tris-(3,5-dimethylphenyl carbamate) | |
| Lux® amylose-2, Chiralpak® AY-3R | coated amylose tris-(2-methyl-5-chlorophenyl carbamate) |  | 
| Chiralpak® ID | immobilized amylose tris-(3,5-chlorophenyl carbamate) |  | 
| Chiralpak® IE, Chiralpak® ID-U | immobilized amylose tris-(3,5-dichlorophenyl carbamate) | |
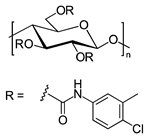
| Chiralpak® AZ-3R | coated amylose tris-(3-chloro-4-methylphenyl carbamate) |  | 
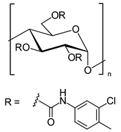
| Chiralpak® IF | immobilized amylose tris-(3-chloro-4-methylphenyl carbamate) | |
| Chiralpak® IG, Lux® i-Amylose-3, Chiralpak® IG, Chiralpak® IG-3, Chiralpak® IG-U | immobilized amylose tris-(3-chloro-5-methylphenyl carbamate) |  | 
| Chiralpak® AS-3R | coated amylose tris-((S)-α-methylbenzyl carbamate) |  | 
| Publisher’s Note: MDPI stays neutral with regard to jurisdictional claims in published maps and institutional affiliations. | 
© 2021 by the authors. Licensee MDPI, Basel, Switzerland. This article is an open access article distributed under the terms and conditions of the Creative Commons Attribution (CC BY) license (https://creativecommons.org/licenses/by/4.0/).
Share and Cite
Bui, C.V.; Rosenau, T.; Hettegger, H. Polysaccharide- and β-Cyclodextrin-Based Chiral Selectors for Enantiomer Resolution: Recent Developments and Applications. Molecules 2021, 26, 4322. https://doi.org/10.3390/molecules26144322
Bui CV, Rosenau T, Hettegger H. Polysaccharide- and β-Cyclodextrin-Based Chiral Selectors for Enantiomer Resolution: Recent Developments and Applications. Molecules. 2021; 26(14):4322. https://doi.org/10.3390/molecules26144322
Chicago/Turabian StyleBui, Cuong Viet, Thomas Rosenau, and Hubert Hettegger. 2021. "Polysaccharide- and β-Cyclodextrin-Based Chiral Selectors for Enantiomer Resolution: Recent Developments and Applications" Molecules 26, no. 14: 4322. https://doi.org/10.3390/molecules26144322
APA StyleBui, C. V., Rosenau, T., & Hettegger, H. (2021). Polysaccharide- and β-Cyclodextrin-Based Chiral Selectors for Enantiomer Resolution: Recent Developments and Applications. Molecules, 26(14), 4322. https://doi.org/10.3390/molecules26144322
 
         
                                                


 
       