On Prototropy and Bond Length Alternation in Neutral and Ionized Pyrimidine Bases and Their Model Azines in Vacuo
Abstract
1. Introduction
2. Principles of Prototropic Equilibria
3. Quantum-Chemical Methods Applied to Tautomeric Nucleobases in Vacuo
4. Geometry-Based HOMED Index
5. Complete Prototropic Mixtures for Title Compounds
5.1. Monosubstituted Azines
5.2. Disubstituted Pyrimidine Bases
6. Internal Effects of Functional Groups on Isomer-Stability
6.1. Intramolecular Interactions between Endo and Exo Groups
6.2. Transmission of N-Endo Effects to Tautomeric Sites
6.3. Effects of Additional Exo OH and NH2 Groups
6.4. N-Endo Effects on Tautomeric Preferences
7. Alternation of Bond Lengths in Tautomers–Rotamers of Pyrimidine Bases and Their Models
8. Ionization Effects on Prototropy and Electron Delocalization in Mono- and Disubstituted Derivatives
8.1. Parent Compounds
8.2. Monosubstituted Azines
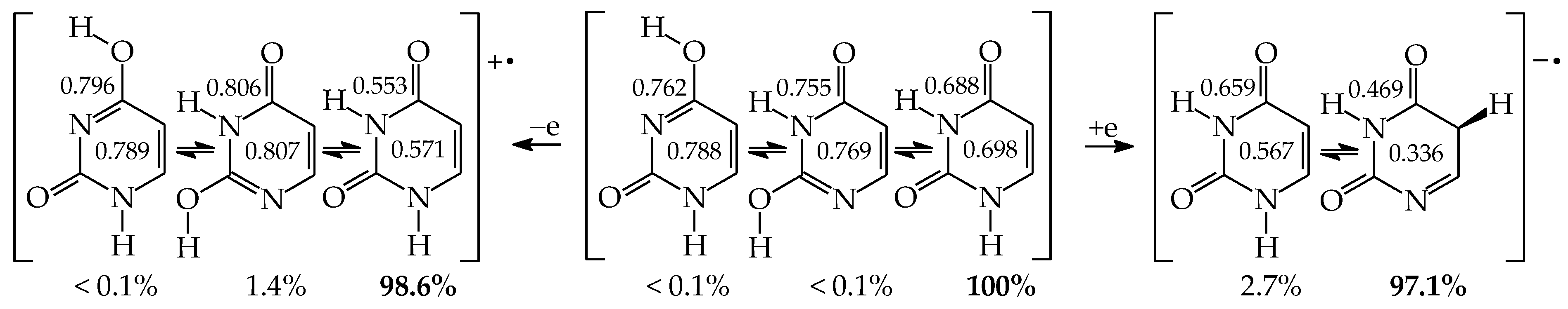
8.3. Disubstituted Pyrimidine Bases
9. Conclusions
10. General Remarks for Future Theoretical Investigations on Tautomeric Systems
Supplementary Materials
Funding
Institutional Review Board Statement
Informed Consent Statement
Data Availability Statement
Acknowledgments
Conflicts of Interest
References
- Pauling, L. The Nature of the Chemical Bond, 3rd ed.; Cornell University Press: New York, NY, USA, 1960. [Google Scholar]
- Raczyńska, E.D.; Kosińska, W.; Ośmiałowski, B.; Gawinecki, R. Tautomeric Equilibria in Relation to pi-Electron Delocalization. Chem. Rev. 2005, 105, 3561–3612. [Google Scholar] [CrossRef]
- Perrin, C.L.; Agranat, I.; Bagno, A.; Braslavsky, S.E.; Fernandes, P.A.; Gal, J.-F.; Lloyd-Jones, G.C.; Mayr, H.; Murdoch, J.R.; Nudelman, N.S.; et al. Glossary of Terms Used in Physical Organic Chemistry (IUPAC Recommendations 2021). Pure Appl. Chem. 2022, 94, 353–534. [Google Scholar] [CrossRef]
- Elguero, J.; Marzin, C.; Katritzky, A.R.; Linda, P. The Tautomerism of Heterocycles (Advances in Heterocyclic Chemistry: Supplement 1). Academic Press: New York, NY, USA, 1976. [Google Scholar]
- Stanovnik, B.; Tišler, M.; Katritzky, A.R.; Denisko, O.V. The Tautomerism of Heterocycles: Substituent Tautomerism of Six-Membered Ring Heterocycles. Adv. Heterocyclic Chem. 2006, 91, 1–134. [Google Scholar]
- Rappoport, Z. (Ed.) The Chemistry of Enols; Wiley: Chichester, UK, 1990. [Google Scholar]
- Perez, P.; Toro-Labbe, A. Characterization of Keto-Enol Tautomerism of Acetyl Derivatives from the Analysis of Energy, Chemical Potential, and Hardness. J. Phys. Chem. A 2000, 104, 1557–1562. [Google Scholar] [CrossRef]
- Hansen, P.E. Structural Studies of β-Diketones and Their Implications on Biological Effects. Pharmaceuticals 2021, 14, 1189. [Google Scholar] [CrossRef]
- Reichardt, C. Solvent and Solvent Effects in Organic Chemistry, 3rd ed.; Wiley-VCH: Weinheim, Germany, 2002. [Google Scholar]
- Lammertsma, K.; Prasad, B.V. Imine-Enamine Tautomerism. J. Am. Chem. Soc. 1994, 116, 642–650. [Google Scholar] [CrossRef]
- Fogarasi, G. Studies on Tautomerism: Benchmark Quantum Chemical Calculations on Formamide and Formamidine. J. Mol. Struct. 2010, 978, 257–262. [Google Scholar] [CrossRef]
- Rappoport, Z. (Ed.) The Chemistry of Phenols; John Wiley & Sons: Chichester, UK, 2003. [Google Scholar]
- Cook, M.J.; Katritzky, A.R.; Linda, P.; Tack, R.D. Aromatic Resonance Energies from Equilibrium Data. Tetrahedron Lett. 1972, 49, 5019–5022. [Google Scholar] [CrossRef]
- Capponi, M.; Gut, I.G.; Hellrung, B.; Persy, G.; Wirz, J. Ketonization Equilibria of Phenol in Aqueous Solution. Can. J. Chem. 1999, 77, 605–613. [Google Scholar] [CrossRef]
- Zhu, L.; Bozzelli, J.W. Kinetcs and Thermochemistry for the Gas-Phase Keto-Enol Tautomerism of Phenol↔2,4-Cyclohexadienone. J. Phys. Chem. A 2003, 107, 3696–3703. [Google Scholar] [CrossRef]
- Ośmiałowski, B.; Raczyńska, E.D.; Krygowski, T.M. Tautomeric Equilibria and pi Electron Delocalization for some Monohydroxyarenes—Quantum Chemical Studies. J. Org. Chem. 2006, 71, 3727–3736. [Google Scholar] [CrossRef] [PubMed]
- Gomez, I.; Rodriguez, E.; Reguero, M. New Insights into the Interconversion Mechanism between Phenol and Its Isomers. J. Mol. Struct. (Theochem) 2006, 767, 11–18. [Google Scholar] [CrossRef]
- Raczyńska, E.D.; Kolczyńska, K.; Stępniewski, T.M. Tautomeric Preferences and π-Electron Delocalization for Redox Forms of Phenol. Comput. Theoret. Chem. 2011, 963, 176–184. [Google Scholar] [CrossRef]
- Zeh, D.; Bast, M.; Rap, D.B.; Schmid, P.C.; Thorwith, S.; Brünken, S.; Schlemmer, S.; Schäfer, M. Cryogenic Messenger-IR Ion Spectroscopy Study of Phenol & Aniline Molecular Ions and the Common Fragment Ion [C5H6]+ Formed by EI-MS. J. Mol. Spectrosc. 2021, 378, 111453. [Google Scholar]
- Korth, H.-G.; Mulder, P. Anthrone and Related Hydroxyarenes: Tautomerization and Hydrogen Bonding. J. Org. Chem. 2013, 78, 7674–7682. [Google Scholar] [CrossRef]
- Raczyńska, E.D. Quantum-Chemical Search for Keto Tautomers of Azulenols in Vacuo and Aqueous Solution. Symmetry 2021, 13, 497. [Google Scholar] [CrossRef]
- Raczyńska, E.D.; Stępniewski, T.M.; Kolczyńska, K. Consequence of One-Electron Oxidation and One-Electron Reduction for Aniline. J. Mol. Model. 2011, 17, 3229–3239. [Google Scholar] [CrossRef][Green Version]
- Walker, S.W.C.; Mark, A.; Verbuyst, B.; Bogdanov, B.; Campbell, J.L.; Hopkins, W.S. Characterizing the Tautomers of Protonated Aniline Using Differential Mobility Spectrometry and Mass Spectrometry. J. Phys. Chem. A 2018, 122, 3858–3865. [Google Scholar] [CrossRef]
- Kune, C.; Delvaux, C.; Haler, J.R.N.; Quinton, L.; Eppe, G.; De Pauw, E.; Far, J. A Mechanistic Study of Protonated Aniline to Protonated Phenol Substitution Considering Tautomerization by Ion Mobility Mass Spectrometry and Tandem Mass Spectrometry. J. Am. Soc. Mass Spectrom. 2019, 30, 2238–2249. [Google Scholar] [CrossRef]
- Lichte, D.; Pirkl, N.; Heinrich, G.; Goebel, J.F.; Koley, D.; Gooβen, L.J. Palladium-Catalyzed para-C−H Arylation of Anilines with Aromatic Halides. Angew. Chem. Int. Ed. Engl. 2022, 61, e202210009. [Google Scholar] [CrossRef]
- Naylor, C.N.; Schaefer, C.; Kirk, A.; Zimmermann, S. The Origin of Izomerization of Aniline Revealed by High Kinetic Energy Ion Mobility Spectrometry (HiKE-IMS). Phys. Chem. Chem. Phys. 2023, 25, 1139. [Google Scholar] [CrossRef]
- Schleyer, P.V.R.; Pühlhofer, F. Recommendations for the Evaluation of Aromatic Stabilization Energies. Org. Lett. 2002, 4, 2873–2876. [Google Scholar] [CrossRef]
- Raczyńska, E.D.; Juras, W. Effects of Ionization and Proton Transfer on Bond Length Alternation in Favored and rare isomers of Isocytosine. Comput. Theoret. Chem. 2019, 1148, 16–26. [Google Scholar] [CrossRef]
- Raczyńska, E.D.; Kamińska, B. Prototropy and π-Electron Delocalization for Purine and Its Radical Ions—DFT Studies. J. Phys. Org. Chem. 2010, 23, 828–835. [Google Scholar] [CrossRef]
- Raczyńska, E.D.; Gal, J.-F.; Maria, P.-C.; Kamińska, B.; Igielska, M.; Kurpiewski, J.; Juras, W. Purine Tautomeric-Preferences and Bond-Length Alternation in Relation with Protonation-Deprotonation and Alkali-Metal Cationization. J. Mol. Model. 2020, 26, 93. [Google Scholar] [CrossRef] [PubMed]
- Raczyńska, E.D.; Makowski, M.; Zientara-Rytter, K.; Kolczyńska, K.; Stępniewski, T.M.; Hallmann, M. Quantum-Chemical Studies on the Favored and Rare Tautomers of Neutral and Redox Adenine. J. Phys. Chem. A 2013, 117, 1548–1559. [Google Scholar] [CrossRef] [PubMed]
- Raczyńska, E.D.; Kamińska, B. Structural and Thermochemical Consequences of Prototropy and Ionization for the Biomolecule Xanthine in Vacuo. J. Chem. Thermodyn. 2022, 171, 106788. [Google Scholar] [CrossRef]
- Szeląg, M.; Raczyńska, E.D. Tautomeric Equilibria for Uric Acid. Trends Org. Chem. 2008, 12, 19–31. [Google Scholar]
- Raczyńska, E.D.; Makowski, M.; Szeląg, M.; Kamińska, B.; Zientara, K. Importance of CH Tautomers in the Tautomeric Mixture of Uric Acid. J. Mol. Struct. (Theochem) 2010, 947, 83–91. [Google Scholar] [CrossRef]
- Raczyńska, E.D.; Makowski, M.; Hallmann, M.; Kamińska, B. Geometric and Energetic Consequences of Prototropy for Adenine and Its Structural Models—A Review. RSC Adv. 2005, 5, 36587. [Google Scholar] [CrossRef]
- Watson, J.D.; Crick, F.H.C. Genetical Implications of the Structure of Deoxyribonucleic Acid. Nature 1953, 171, 964–967. [Google Scholar] [CrossRef] [PubMed]
- Löwdin, P.-O. Proton Tunneling in DNA and its Biological Implications. Rev. Mod. Phys. 1963, 35, 724–732. [Google Scholar] [CrossRef]
- Löwdin, P.-O. Quantum Genetics and the Aperiodic Solid: Some Aspects on the Biological Problems of Heredity, Mutations, Aging, and Tumors in View of the Quantum Theory of the DNA Molecule. Adv. Quantum Chem. 1966, 2, 213–360. [Google Scholar]
- Topal, M.D.; Fresco, J.R. Complementary Base Pairing and the Origin of Substitution Mutations. Nature 1976, 263, 285–289. [Google Scholar] [CrossRef] [PubMed]
- Kwiatkowski, J.S.; Person, W.B. Theoretical Biochemistry and Molecular Biology; Beveridge, D.L., Lavery, R., Eds.; Academic Press: New York, NY, USA, 1990; pp. 153–171. [Google Scholar]
- Leszczynski, J. (Ed.) Computational Molecular Biology: Theoretical and Computational Chemistry; Elsevier: New York, NY, USA, 1999; Volume 8. [Google Scholar]
- Hobza, P.; Šponer, J. Structure, Energetics, and Dynamics of the Nucleic Acid Base Pairs. Nonempirical Ab Initio Calculations. Chem. Rev. 1999, 99, 3247–3276. [Google Scholar] [CrossRef]
- Harańczyk, M.; Maciej Gutowski, M. Quantum Mechanical Energy-Based Screening of Combinatorially Generated Library of Tautomers. TauTGen: A Tautomer Generator Program. J. Chem. Inf. Model. 2007, 47, 686–694. [Google Scholar] [CrossRef]
- Brovarets’, O.O.; Hovorun, D.M. A Hidden Side of the Conformational Mobility of the Quercetin Molecule Caused by the Rotations of the O3H, O5H and O7H Hydroxyl Groups: In Silico Scrupulous Study. Symmetry 2020, 12, 230. [Google Scholar] [CrossRef]
- Dobrowolski, J.C.; Ostrowski, S. The Acid-Base Through-the-Cage Interaction as an Example of an Inversion in a Cage Isomerism. Symmetry 2020, 12, 1291. [Google Scholar] [CrossRef]
- Raczyńska, E.D.; Gal, J.-F.; Maria, P.-C.; Sakhawat, G.S.; Fahim, M.Q.; Saeidian, H. Nitriles with High Gas-Phase Basicity—Part II Transmission of the Push-Pull Effect through Methylenecyclopropene and Cyclopropenimine Scaffolds Intercalated between Different Electron-Donor(s) and the Cyano N-Protonation Site. Molecules 2022, 27, 4370. [Google Scholar] [CrossRef]
- Glasovac, Z.; Barešić, L.; Margetić, D. A DFT Investigation of the Reactivity of Guanidinium Salts in Tandem Aza-Michael Addition/Intramolecular Cyclization. Molecules 2023, 28, 2218. [Google Scholar] [CrossRef]
- Raczyńska, E.D.; Zientara, K.; Kolczyńska, K.; Stępniewski, T. Change of Tautomeric Equilibria, Intramolecular Interactions and π-Electron Delocalization when Going from Phenol to Uracil. J. Mol. Struct. (Theochem) 2009, 894, 103–111. [Google Scholar] [CrossRef]
- Raczyńska, E.D. Electron Delocalization and Relative Stabilities for the Favored and Rare Tautomers of Hydroxyazines in the Gas Phase—A Comparison with Aminoazines. Comput. Theoret. Chem. 2014, 1042, 8–15. [Google Scholar] [CrossRef]
- Parr, R.G.; Yang, W. Density Functional Theory of Atoms and Molecular Orbital Theory; Oxford University Press: New York, NY, USA, 1989. [Google Scholar]
- Becke, A.D. Density-Functional Thermochemistry. III. The Role of Exact Exchange. J. Chem. Phys. 1993, 98, 5648–5652. [Google Scholar] [CrossRef]
- Lee, C.; Yang, W.; Parr, R.G. Development of the Colle-Salvetti Correlation-Energy Formula into a Functional of the Electron Density. Phys. Rev. B 1988, 37, 785–789. [Google Scholar] [CrossRef]
- Hehre, W.J.; Radom, L.; Schleyer, P.V.R.; Pople, J.A. Ab Initio Molecular Theory; Wiley: New York, NY, USA, 1986. [Google Scholar]
- Curtiss, L.A.; Raghavachari, K.; Trucks, G.W.; Pople, J.A. Gaussian-2 Theory for Molecular Energies of First- and Second-Row Compounds. J. Chem. Phys. 1991, 94, 7221–7230. [Google Scholar] [CrossRef]
- Curtiss, L.A.; Raghavachari, K.; Pople, J.A. Gaussian-2 Theory Using Reduced Møller-Plesset Orders. J. Chem. Phys. 1993, 98, 1293–1298. [Google Scholar] [CrossRef]
- Curtiss, L.A.; Redfern, P.C.; Raghavachari, K. Gaussian-4 theory. J. Chem. Phys. 2007, 126, 084108. [Google Scholar] [CrossRef]
- Raczyńska, E.D.; Makowski, M. Effects of Positive and Negative Ionization on Prototropy in Pyrimidine Bases: An Unusual Case of Isocytosine. J. Phys. Chem. A 2018, 122, 7863–7879. [Google Scholar] [CrossRef] [PubMed]
- Raczyńska, E.D.; Kolczyńska, K.; Stępniewski, T.M. DFT Studies on One-Electron Oxidation and One-Electron Reduction for 2- and 4-Aminopyridines. J. Mol. Model. 2012, 18, 4367–4380. [Google Scholar] [CrossRef]
- Raczyńska, E.D. Effects of Positive and Negative Ionization for 2-Aminopyrimidine in the Gas Phase and in Water Solution. Comput. Theoret. Chem. 2014, 1031, 56–63. [Google Scholar] [CrossRef]
- Raczyńska, E.D.; Kolczyńska, K.; Stępniewski, T.M. Consequences of One-Electron Oxidation and One-Electron Reduction for 4-Aminopyrimidine—DFT Studies. J. Mol. Model. 2012, 18, 3523–3533. [Google Scholar] [CrossRef]
- Raczyńska, E.D. Geometric and Energetic Consequences of Prototropy for Neutral and Ionized 4-Aminopyrimidine in Water Solution. Bulg. Chem. Commun. 2015, 47, 594–602. [Google Scholar]
- Raczyńska, E.D.; Zientara, K.; Stępniewski, T.M.; Kolczyńska, K. Stability, Polarity, Intramolecular Interactions and π-Electron Delocalization for All Eighteen Tautomers Rotamers of Uracil. DFT Studies in the Gas Phase. Collect. Czech. Chem. Commun. 2009, 74, 57–72. [Google Scholar] [CrossRef]
- Raczyńska, E.D.; Zientara, K.; Kolczyńska, K.; Stępniewski, T.M. Change of Prototropic Equilibria for Uracil when Going from Neutral Molecule to Charged Radicals. Quantum-Chemical Studies in the Gas Phase. Polish J. Chem. 2009, 83, 821–834. [Google Scholar]
- Raczyńska, E.D.; Sapuła, M.; Zientara-Rytter, K.; Kolczyńska, K.; Stępniewski, T.M.; Hallmann, M. DFT Studies on the Favored and Rare Tautomers of Neutral and Redox Cytosine. Struct. Chem. 2016, 27, 133–143. [Google Scholar] [CrossRef]
- Raczyńska, E.D. Quantum-Chemical Studies on the Favored and Rare Isomers of Isocytosine. Comput. Theoret. Chem. 2017, 1121, 58–67. [Google Scholar] [CrossRef]
- Raczyńska, E.D. On Analogies in Proton-Transfers for Pyrimidine Bases in the Gas Phase (Apolar Environment)—Cytosine Versus Isocytosine. Symmetry 2023, 15, 342. [Google Scholar] [CrossRef]
- Raczyńska, E.D.; Hallmann, M.; Kolczyńska, K.; Stępniewski, T.M. On the Harmonic Oscillator Model of Electron Delocalization (HOMED) Index and Its Application to Heteroatomic π-Electron Systems. Symmetry 2010, 2, 1485–1509. [Google Scholar] [CrossRef]
- Raczyńska, E.D. Application of the Extended HOMED (Harmonic Oscillator Model of Aromaticity) Index to Simple and Tautomeric Five-Membered Heteroaromatic Cycles with C, N, O, P, and S Atoms. Symmetry 2019, 11, 146. [Google Scholar] [CrossRef]
- Kruszewski, J.; Krygowski, T.M. Definition of Aromaticity Basing on the Harmonic Oscillator Model. Tetrahedron Lett. 1972, 13, 3839–3842. [Google Scholar] [CrossRef]
- Krygowski, T.M.; Kruszewski, J. Aromaticity of Thiophene, Pyrrole and Furan in Terms of Aromaticity Indices and Hammett σ Constants. Bull. Acad. Pol. Sci. Chim. 1974, 22, 871–876. [Google Scholar]
- Krygowski, T.M. Crystallographic Studies of Inter- and Intramolecular Interactions Reflected in Aromatic Character of π-Electron Systems. J. Chem. Inform. Comput. Sci. 1993, 33, 70–78. [Google Scholar] [CrossRef]
- Graff, M.; Dobrowolski, J.C. On Tautomerism of Diazinones. Comput. Theoret. Chem. 2013, 1026, 55–64. [Google Scholar] [CrossRef]
- Kwiatkowski, J.S. Electronic Absorption Spectra of 3-Hydroxypyridine and 5-Hydroxypyrimidine. Theor. Chim. Acta 1970, 16, 243–246. [Google Scholar] [CrossRef]
- Vaz da Cruz, V.; Büchner, R.; Fondell, M.; Pietzsch, A.; Eckert, S.; Föhlisch, A. Targeting Individual Tautomers in Equilibrium by Resonant Inelastic X-ray Scattering. J. Phys. Chem. Lett. 2022, 13, 2459–2466. [Google Scholar] [CrossRef]
- Raczyńska, E.D.; Gal, J.-F.; Maria, P.-C.; Zientara, K.; Szeląg, M. Application of FT-ICR-MS for the Study of Proton-Transfer Reactions Involving Biomolecules. Anal. Bioanal. Chem. 2007, 389, 1365–1380. [Google Scholar] [CrossRef]
- Li, X.; Bowen, K.H.; Haranczyk, M.; Bachorz, R.A.; Mazurkiewicz, K.; Rak, J.; Gutowski, M. Photoelectron Spectroscopy of Adiabatically Bound Valence Anions of Rare Tautomers of the Nucleic Acid Bases. J. Chem. Phys. 2007, 127, 174309. [Google Scholar] [CrossRef]
- Stasyuk, O.A.; Szatylowicz, H.; Krygowski, T.M. Tautomerisation of Thymine Acts against the Hückel 4N + 2 Rule. The Effect of Metal Ions and H-Bond Complexations on the Electronic Structure of Thymine. Org. Biomol. Chem. 2014, 12, 6476–6483. [Google Scholar] [CrossRef]
- Liu, M.; Li, T.; Amegayibor, F.S.; Cardoso, D.S.; Fu, Y.; Lee, J.K. Gas-Phase Thermochemical Properties of Pyrimidine Nucleobases. J. Org. Chem. 2008, 73, 9283–9291. [Google Scholar] [CrossRef]
- Akai, N.; Ohno, K.; Aida, M. Photoinduced Amino-Imino Tautomerism of 2-Aminopyridine in a Low-Temperature Argon Matrix. Chem. Phys. Lett. 2005, 413, 306–310. [Google Scholar] [CrossRef]
- Beak, P.; Fry, J.S., Jr.; Lee, J.; Steele, F. Equilibrium Studies. Protomeric Equilibria of 2- and 4-Hydroxypyridines, 2- and 4-Hydroxypyrimidines, 2- and 4-Mercaptopyridines, a Structurally Related Compounds in the Gas Phase. J. Am. Chem. Soc. 1976, 98, 171–179. [Google Scholar] [CrossRef]
- Guimon, C.; Garrabe, G.; Pfister-Guillouzo, G. Spectroscopie Photoelectronique a Temperature Variable Equilibre Prototropique des Hydroxyl-2 et Mercapto-2-pyridines. Tetrahrdron Lett. 1979, 20, 2585–2588. [Google Scholar] [CrossRef]
- Nowak, M.J.; Lapinski, L.; Fulara, J.; Les, A.; Adamowicz, L. Matrix-Isolation IR Spectroscopy of Tautomeric Systems and Its Theoretical Interpretation: 2-Hydroxypyridine/2(1H)-Pyridinone. J. Phys. Chem. 1992, 96, 1562–1569. [Google Scholar] [CrossRef]
- Hatherley, L.D.; Brown, R.D.; Godfrey, P.D.; Pierlot, A.P.; Caminati, W.; Damiani, D.; Melandri, S.; Favero, L.B. Gas-Phase Tautomeric Equilibrium of 2-Pyridinone and 2-Hydroxypyridine by Microwave Spectroscopy. J. Phys. Chem. 1993, 97, 46–51. [Google Scholar] [CrossRef]
- Tanjaroon, C.; Subramanian, R.; Karunatilaka, C.; Kukolich, S.G. Microwave Measurements of N14 and D Quadrupole Coupling for (Z)-2-Hydroxypyridine and 2-Pyridone Tautomers. J. Phys. Chem. A 2004, 108, 9531–9539. [Google Scholar] [CrossRef]
- Sanchez, R.; Giuliano, B.M.; Melandri, S.; Favero, L.B.; Caminati, W. Gas-Phase Tautomeric Equilibrium of 4-Hydroxypyrimidine with Its Ketonic Forms: A Free Jet Millimeterwave Spectroscopy Study. J. Am. Chem. Soc. 2007, 129, 1249–1266. [Google Scholar] [CrossRef] [PubMed]
- Giuliano, B.M.; Feyer, V.; Prince, C.K.; Coreno, M.; Evangelisti, L.; Melandri, S.; Caminati, W. Tautomerism in 4-Hyrdoxypyrimidine, S-Methyl-2-Thiouracil and 2-Thiouracil. J. Phys. Chem. A 2010, 114, 12725–12730. [Google Scholar] [CrossRef]
- Lobsiger, S.; Frey, H.M.; Leutwyler, S. Supersonic Jet UV Spectrum and Nonradiative Processes of the Thymine Analogue 5-Methyl-2-hydroxypyrimidine. Phys. Chem. Phys. Chem. 2010, 12, 5032–5040. [Google Scholar] [CrossRef]
- Ośmiałowski, B.; Dobosz, R. The Influence of Secondary Interactions on Complex Stability and Double Proton Transfer Reaction in 2-[1H]-Pyridone/2-Hydroxypyridine Dimers. J. Mol. Model. 2011, 17, 2491–2500. [Google Scholar] [CrossRef]
- Jalbout, A.F.; Trzaskowski, B.; Xia, Y.; Li, Y.; Hu, X.; Li, H.; El-Nahas, A.; Adamowicz, L. Structures, Stabilities and Tautomerizations of Uracil and Diphosphouracil Tautomers. Chem. Phys. 2007, 332, 152–161. [Google Scholar] [CrossRef]
- Vaquero, V.; Sanz, M.E.; López, J.C.; Alonso, J.L. The Structure of Uracil: A Laser Ablation Rotational Study. J. Phys. Chem. A 2007, 111, 3443–3445. [Google Scholar] [CrossRef] [PubMed]
- López, J.C.; Peña, M.I.; Sanz, M.E.; Alonso, J.L. Probing Thymine with Laser Ablation Molecular Beam Fourier Transfrom Microwave Spectroscopy. J. Chem. Phys. 2007, 126, 191103. [Google Scholar] [CrossRef] [PubMed]
- Feyer, V.; Plekan, O.; Richter, R.; Coreno, M.; Vall-llosera, G.; Prince, K.C.; Trofimov, A.B.; Zaytseva, I.L.; Moskovskaya, T.E.; Gromov, E.V.; et al. Tautomerism in Cytosine and Uracil: An Experimental and Theoretical Core Level Spectroscopic Study. J. Phys. Chem. A 2009, 113, 5736–5742. [Google Scholar] [CrossRef] [PubMed]
- Fujii, M.; Tamura, T.; Mikami, N.; Ito, M. Electronic Spectra of Uracil in a Supersonic Jet. Chem. Phys. Lett. 1986, 126, 583–587. [Google Scholar] [CrossRef]
- Tsuchiya, Y.; Tamura, T.; Fujii, M.; Ito, M. Keto-Enol Tautomer of Uracil and Thymine. J. Phys. Chem. 1988, 92, 1760–1765. [Google Scholar] [CrossRef]
- McClure, R.J.; Craven, B.M. New Investigations of Cytosine and its Monohydrate. Acta Crystallogr. Sect. B 1973, 29, 1234–1238. [Google Scholar] [CrossRef]
- Dreyfus, M.; Bensaude, O.; Dodin, G.; Dubois, J.E. Tautomerism in Cytosine and 3-Methylcytosine. A Thermodynamic and Kinetic Study. J. Am. Chem. Soc. 1976, 98, 6338–6349. [Google Scholar] [CrossRef]
- Trygubenko, S.A.; Bogdan, T.V.; Rueda, M.; Orozca, M.; Luque, F.J.; Šponer, J.; Slavíček, P.; Hobza, P. Correlated Ab Initio Study of Nucleic Acid Bases and Their Tautomers in the Gas Phase, in a Microhydrated Environment and in Aqueous Solution. Pant 1. Cytosine. Phys. Chem. Chem. Phys. 2002, 4, 4192–4203. [Google Scholar] [CrossRef]
- Ai, H.; Liu, J.; Chan, K. Stability and Isomerization of Complexes Formed by Metal Ions and Cytosine Isomers in Aqueous Phase. J. Mol. Model. 2013, 19, 3447–3461. [Google Scholar] [CrossRef]
- Nir, E.; Müller, M.; Grace, L.I.; de Vries, M.S. REMPI Spectroscopy of Cytosine. Chem. Phys. Lett. 2002, 355, 59–64. [Google Scholar] [CrossRef]
- Nir, E.; Huenig, I.; Kleinermanns, K.; de Vries, M.S. The Nucleobase Cytosine and the Cytosine Dimer Investigated by Double Resonance Laser Spectroscopy and Ab Initio Calculations. Phys. Chem. Phys. Chem. 2003, 5, 4780–4785. [Google Scholar] [CrossRef]
- Choi, M.Y.; Dong, F.; Miller, R.E. Multiple Tautomers of Cytosine Identified and Characterized by Infrared Laser Spectroscopy in Helium Nanodroplets: Probing Structure Using Vibrational Transition Moment Angles. Phil. Trans. R. Soc. A 2005, 363, 393–413. [Google Scholar] [CrossRef]
- Bazsó, G.; Tarczay, G.; Fogarasi, G.; Szalay, P.G. Tautomers of Cytosine and Their Excited Electronic States: A Matrix Isolation Spectroscopic and Quantum Chemical Study. Phys. Chem. Chem. Phys. 2011, 13, 6799–6807. [Google Scholar] [CrossRef] [PubMed]
- Alonso, J.L.; Vaquero, V.; Peña, I.; López, J.C.; Mata, S.; Caminati, W. All Five Forms of Cytosine Revealed in the Gas Phase. Ang. Chem. Int. Ed. 2013, 52, 2331–2334. [Google Scholar] [CrossRef] [PubMed]
- Portalone, G.; Colapietro, M. Redetermination of Isocytosine. Acta Crystallogr. Sect. E Struct. Rep. Online 2007, 63, 01869–01871. [Google Scholar] [CrossRef]
- Dracínský, M.; Jansa, P.; Ahonen, K.; Budesínský, M. Tautomerism and the Protonation/Deprotonation of Isocytosine in Liquid- and Solid-States Studied by NMR Spectroscopy and Theoretical Calculations. Eur. J. Org. Chem. 2011, 2011, 1544–1551. [Google Scholar] [CrossRef]
- Ivanov, A.Y.; Stepanian, S.G.; Adamowicz, L. Tautomeric Transitions of Isocytosine Isolated in Argon and Neon Matrices Induced by UV Irradiation. J. Mol. Struct. 2012, 1025, 92–104. [Google Scholar] [CrossRef]
- Bakalska, R.I.; Delchev, V.B. Comparative Study of the Relaxation Mechanisms of the Excited States of Cytosine and Isocytosine. J. Mol. Model. 2012, 18, 5133–5146. [Google Scholar] [CrossRef]
- Szabla, R.; Góra, R.W.; Šponer, J. Ultrafast Excited-State Dynamics of Isocytosine. Phys. Chem. Chem. Phys. 2016, 18, 20208–20218. [Google Scholar] [CrossRef]
- Choi, J.; Yang, C.; Fujitsuka, M.; Tojo, S.; Ihee, H.; Majima, T. Proton Transfer of Guanine Radical Cations Studied by Time-Resolved Resonance Raman Spectroscopy Combined with Pulse Radiolysis. J. Phys. Chem. Lett. 2015, 6, 5045–5060. [Google Scholar] [CrossRef]
- Huang, S.R.; Dang, A.; Turećek, F. Ground and Excited States of Gas-Phase DNA Nucleobase Cation-Radicals. A UV-vis Photodisociation Action Spectroscopy and Computational Study of Adenine and 9-Methyladenine. J. Am. Soc. Mass Spectrom. 2020, 31, 1271–1281. [Google Scholar] [CrossRef] [PubMed]
- Le, H.T.; Flammang, R.; Gerbaux, P.; Bouchoux, G.; Nguyen, M.T. Ionized Phenol and Its Isomers in the Gas Phase. J. Phys. Chem. A 2001, 105, 11582–11592. [Google Scholar] [CrossRef]
- Trupia, L.; Dechamps, N.; Flammang, R.; Bouchoux, G.; Nguyen, M.T.; Gerbaux, P. Isomeric Recognition by Ion/Molecule Reactions: The Ionized Phenol-Cyclohexadienone Case. J. Am. Soc. Mass Spectrom. 2008, 19, 126–137. [Google Scholar] [CrossRef] [PubMed][Green Version]
- Le, H.T.; Flammang, R.; Barbieux-Flammang, M.; Gerbaux, P.; Nguyen, M.T. Ionized Aniline and Its Distonic Radical Cation Isomers. Int. J. Mass Spectrom. 2002, 217, 45–54. [Google Scholar] [CrossRef]
- Ozeki, K.; Cockett, M.C.R.; Okuyama, K.; Takahashi, M.; Kimura, K. Structural Isomers and Tautomerism of 2-Hydroxypyridine in the Cation Ground State Studied by Zero Kinetic Energy (ZEKE) Photoelectron Spectroscopy. J. Phys. Chem. 1995, 99, 8608–8612. [Google Scholar] [CrossRef]
- Tureček, F.; Wolken, J.K. Energetics of Uracil Cation Radical and Anion Radical Ion-Molecule Reactions in the Gas Phase. J. Phys. Chem. A 2001, 105, 8740–8747. [Google Scholar] [CrossRef]
- Lamsabhi, A.M.; Gutiérrez-Oliva, S.; Mó, O.; Toro-Labbé, A.; Yáñez, M. Effects of the Ionization in the Tautomerism of Uracil: A Reaction Electronic Flux Perspective. J. Comput. Chem. 2015, 36, 2135–2145. [Google Scholar] [CrossRef]
- Bachorz, R.A.; Klopper, W.; Gutowski, M.; Li, X.; Kit, H.; Bowen, K.H. Photoelectron Spectrum of Valence Anions of Uracil and First-Principles Calculations of Excess Electron Binding Energies. J. Chem. Phys. 2008, 129, 054309. [Google Scholar] [CrossRef]
- Dang, A.; Nguyen, H.T.H.; Ruiz, H.; Piacentino, E.; Ryzhov, V.; Tureček, F. Experimental Evidence for Noncanonical Thymine Cation Radicals in the Gas Phase. J. Phys. Chem. B 2018, 122, 86–97. [Google Scholar] [CrossRef]
- Mazurkiewicz, K.; Bachorz, R.A.; Gutowski, M.; Rak, J. On the Unusual Stability of Valence Anions of Thymine Based on Very Rare Tautomers: A Computational Study. J. Phys. Chem. B 2006, 110, 24696–24707. [Google Scholar] [CrossRef]
- Wolken, J.K.; Yao, C.; Tureček, F.; Polce, M.J.; Wesdemiotis, C. Cytosine Neutral Molecules and Cation-Radicals in the Gas-Phase: Structures, Energies, Ion Chemistry, and Neutralization-Reionization Mass Spectrometry. Int. J. Mass Spectrom. 2007, 267, 30–42. [Google Scholar] [CrossRef]
- Lesslie, M.; Lawler, J.T.; Dang, A.; Korn, J.A.; Bím, D.; Steinmetz, V.; Maître, P.; Tureček, F.; Ryzhov, V. Cytosine Radical Cations: A Gas-Phase Study Combining IRMPD Spectroscopy, UVPD Spectroscopy, Ion-Molecule Reactions, and Theoretical Calculations. Chem. Phys. Chem. 2017, 18, 1293–1301. [Google Scholar] [CrossRef]
- Molina, F.; Dezalay, J.; Soorkia, S.; Broquier, M.; Hochlaf, M.; Pino, G.A.; Grégoire, G. Cryogenic IR and UV Spectroscopy of Isomer-Selected Ctosine Radical Cation. Phys. Chem. Chem. Phys. 2022, 24, 25182. [Google Scholar] [CrossRef] [PubMed]
- Tureček, F. Flying DNA Cation Radicals in the Gas Phase: Generation and Action Spectroscopy of Canonical and Noncanonical Nucleobase Forms. J. Phys. Chem. B 2021, 125, 7090–7100. [Google Scholar] [CrossRef] [PubMed]
- Schuchmann, M.N.; Naumov, S.; Schuchmann, H.-P.; von Sonntag, J.; von Sonntag, C. 4-Amino-3H-Pyrimidin-2-one (‘Isocytosine’) Is a Short-Lived Non-Radical Intermediate Formed in the Pulse Radiolysis of Cytosine in Aqueous Solution. Radiat. Phys. Chem. 2005, 72, 243–250. [Google Scholar] [CrossRef]
- Herak, J.N.; Rakvin, B.; Bytyci, M. ESR Study of the Ionic Radical Species in an Irradiated Single Crystal of Isocytosine. J. Magn. Reson. 1979, 33, 319–329. [Google Scholar] [CrossRef]



















| Equilibria | Name of Conversion | 
|---|---|
| >CH–C(=O)– >C=C(–OH)– | keto-enol | 
| >CH–C(=N–)– >C=C(–NH–)– | imine-enamine | 
| –NH–C(=N–)– –N=C(–NH–)– | imine-amine (amidine) | 
| –NH–C(=O)– –N=C(–OH)– | amide-iminol | 
| N-Endo Effects (δG) a | |||||||||
|---|---|---|---|---|---|---|---|---|---|
| Conformational Isomers about C–OH | Configurational Isomers about C=NH | ||||||||
| Tautomer | 2-Position | Tautomer | 4-Position | Tautomer | 2-Position | Tautomer | 4-Position | ||
| U b | C c | U b | iC d | iC d | C c | ||||
| 17 | 9.6 | 9.1, 10.0 | 18 | 6.7 | 6.8, 6.0 | 18 | 6.2, 7.0 | 17 | 4.3, 3.4 | 
| 37 | 7.4 | 7.4, 7.4 | 38 | 2.5 | 2.2, 3.3 | 38 | 7.5, 6.6 | 37 | 2.8, 2.8 | 
| 57 | 1.6 | 0.9, 1.7 | 58 | 7.5 | 8.0, 7.0 | 58 | 0.6, 0.4 | 57 | 5.1, 4.3 | 
| 78 | 1.1, 0.0 | 0.7 | 78 | 5.3, 4.2 | 4.4 | 13 | 1.3 | 13 | 1.7 | 
| 35 | 5.1 | 35 | 0.4 | ||||||
| Azine | Isomer | δG | Azine | Isomer | δG | Azine | Isomer | δG | 
|---|---|---|---|---|---|---|---|---|
| 2HOPY | c | 6.7 | 2APY | c1 | 2.3 | 4APY | b2/d1 | 1.4 | 
| 2HOPY | d | 6.9 | 2APY | c2 | 6.3 | 2APM | c | 9.9 | 
| 4HOPY | b/d | 0.8 | 2APY | d1 | 2.0 | 4APM | d1 | 3.8 | 
| 2HOPM | c | 8.4 | 2APY | d2 | 6.8 | 4APM | d2 | 8.6 | 
| 4HOPM | d | 7.8 | 4APY | b1/d2 | 2.2 | 
| Model | Additional | Pyrimidine | δG | ||
|---|---|---|---|---|---|
| Compound | Exo Group | Base | N1H Isomer | N3H Isomer | C5H Isomer | 
| 4HOPM | 2-OH | U | −1.4 | −0.2 | −4.7 | 
| 4APM | 2-OH | C | −0.6 | −0.2 | −2.3 | 
| 2HOPM | 4-OH | U | −2.5 | 6.4 | −4.4 | 
| 2APM | 4-OH | iC | −2.2 | 5.9 | −5.3 | 
| 4HOPM | 2-NH2 | iC | 3.4 | 2.9 | −7.7 | 
| 2HOPM | 4-NH2 | C | −2.3 | 4.7 | −4.7 | 
| (a) Mono-hydroxy derivatives | |||||||||
| Derivative | Isomer amount (xi in %) a | Ref. | |||||||
| a1 | a2 | b | c | d | |||||
| Phenol | 100 | 4·10−15 | 4·10−15 | 4·10−15 | [18] | ||||
| 2HOPY | 18 | 3·10−3 | 82 | 3·10−16 | 1·10−16 | [49] | |||
| 4HOPY | 88 | 1·10−11 | 12 | 1·10−11 | [49] | ||||
| 2HOPM | 81 | 19 | 8·10−17 | 19 | [49] | ||||
| 4HOPM | 3 | 5·10−4 | 97 | 2·10−5 | 4·10−18 | [49] | |||
| (b) Mono-amino derivatives | |||||||||
| Compound | Isomer amount (xi in %) a | Ref. | |||||||
| a | b1 | b2 | c1 | c2 | d1 | d2 | |||
| Aniline | 100 | 1·10−19 | 4·10−18 | 1·10−19 | [22] | ||||
| 2APY | 100 | 6·10−11 | 6·10−9 | 8·10−20 | 9·10−23 | 6·10−21 | 2·10−24 | [58] | |
| 4APY | 100 | 5·10−21 | 1·10−20 | 9·10−11 | 1·10−20 | 5·10−21 | [58] | ||
| 2APM | 100 | 9·10−19 | 2·10−13 | 3·10−28 | 2·10−13 | 9·10−19 | [59] | ||
| 4APM | 100 | 1·10−10 | 2·10−8 | 5·10−12 | 6·10−15 | 2·10−24 | 1·10−25 | [60] | |
| Disclaimer/Publisher’s Note: The statements, opinions and data contained in all publications are solely those of the individual author(s) and contributor(s) and not of MDPI and/or the editor(s). MDPI and/or the editor(s) disclaim responsibility for any injury to people or property resulting from any ideas, methods, instructions or products referred to in the content. | 
© 2023 by the author. Licensee MDPI, Basel, Switzerland. This article is an open access article distributed under the terms and conditions of the Creative Commons Attribution (CC BY) license (https://creativecommons.org/licenses/by/4.0/).
Share and Cite
Raczyńska, E.D. On Prototropy and Bond Length Alternation in Neutral and Ionized Pyrimidine Bases and Their Model Azines in Vacuo. Molecules 2023, 28, 7282. https://doi.org/10.3390/molecules28217282
Raczyńska ED. On Prototropy and Bond Length Alternation in Neutral and Ionized Pyrimidine Bases and Their Model Azines in Vacuo. Molecules. 2023; 28(21):7282. https://doi.org/10.3390/molecules28217282
Chicago/Turabian StyleRaczyńska, Ewa Daniela. 2023. "On Prototropy and Bond Length Alternation in Neutral and Ionized Pyrimidine Bases and Their Model Azines in Vacuo" Molecules 28, no. 21: 7282. https://doi.org/10.3390/molecules28217282
APA StyleRaczyńska, E. D. (2023). On Prototropy and Bond Length Alternation in Neutral and Ionized Pyrimidine Bases and Their Model Azines in Vacuo. Molecules, 28(21), 7282. https://doi.org/10.3390/molecules28217282
 
        

 
       