Genome-Wide Super-Enhancer-Based Analysis: Identification of Prognostic Genes in Oral Squamous Cell Carcinoma
Abstract
:1. Introduction
2. Results
2.1. Genome-Wide Screening of SE in OSCC Cell Lines following Long-Term Treatment with Cetuximab Using H3K27ac ChIP-Seq Analysis
2.2. Clinical Significance of C9orf89, CENPA, PISD, and TRAF2, in OSCC Patients Determined by TCGA-OSCC Analysis
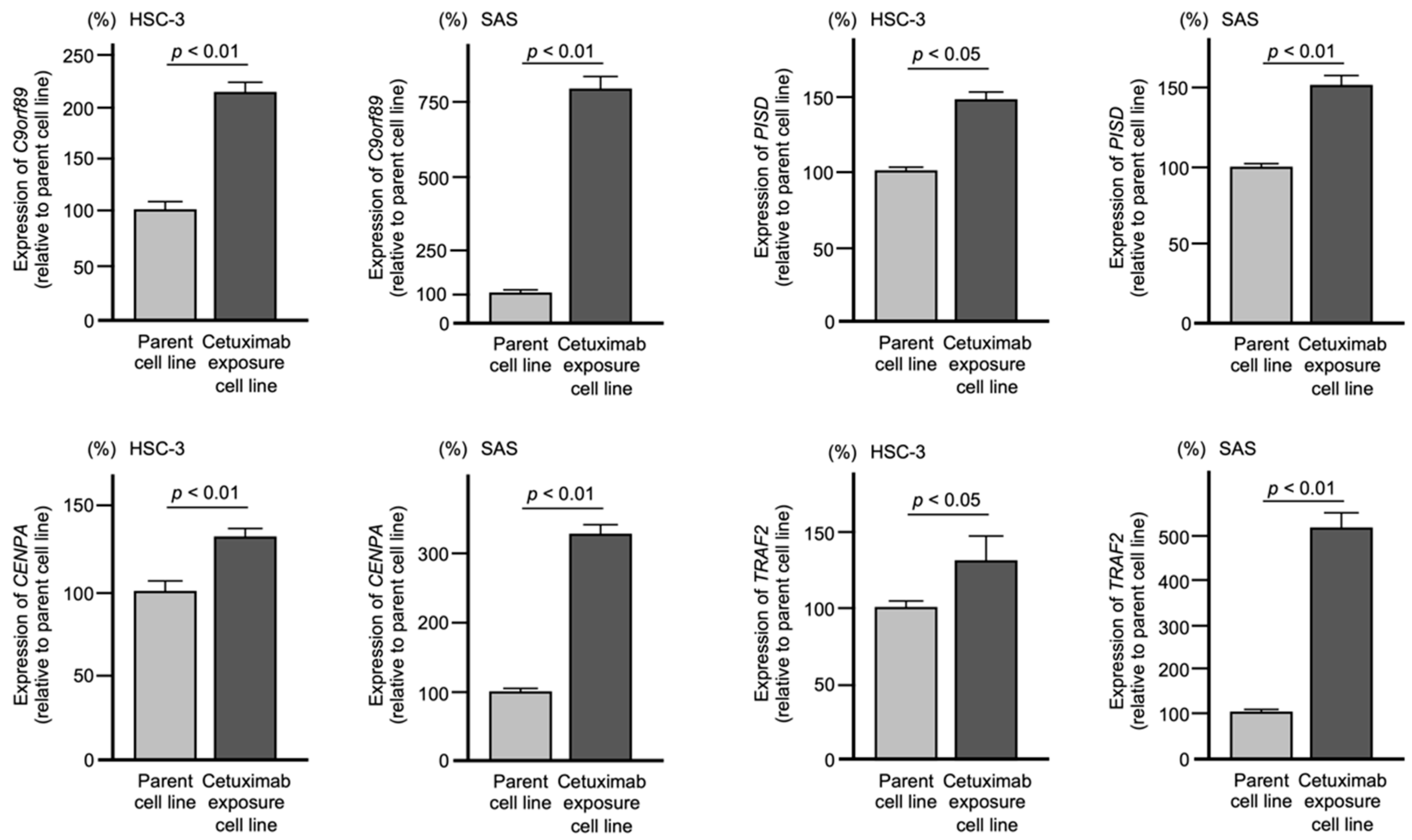
2.3. Expression Levels of C9orf89, CENPA, PISD, and TRAF2 in OSCC Cells after Long-Term Exposure to Cetuximab
2.4. Alteration of mRNA Expression of C9orf89, CENPA, PISD, and TRAF2 in OSCC Patients Determined by TCGA-OSCC Analysis
2.5. Immunostaining of C9orf89, CENPA, PISD, and TRAF2 in OSCC Clinical Tissues
3. Discussion
4. Materials and Methods
4.1. Parental Cell Lines and Cetuximab Long-Term Exposure Cell Lines
4.2. H3K27ac CHIP Sequencing
4.3. Super Enhancer Analysis
4.4. RNA Extraction and Quantitative Reverse-Transcription PCR (qRT-PCR)
4.5. Analysis of Expression and Clinical Significance of Candidate Gene Expression in OSCC by TCGA Database Analysis
4.6. Immunostaining Analysis by Protein Atlas Database
4.7. Statistical Analysis
5. Conclusions
Supplementary Materials
Author Contributions
Funding
Institutional Review Board Statement
Informed Consent Statement
Data Availability Statement
Acknowledgments
Conflicts of Interest
References
- Dhanuthai, K.; Rojanawatsirivej, S.; Thosaporn, W.; Kintarak, S.; Subarnbhesaj, A.; Darling, M.; Kryshtalskyj, E.; Chiang, C.P.; Shin, H.I.; Choi, S.Y.; et al. Oral cancer: A multicenter study. Med. Oral Patol. Oral Cir. Bucal 2018, 23, e23–e29. [Google Scholar] [CrossRef]
- Bray, F.; Ferlay, J.; Soerjomataram, I.; Siegel, R.L.; Torre, L.A.; Jemal, A. Global cancer statistics 2018: GLOBOCAN estimates of incidence and mortality worldwide for 36 cancers in 185 countries. CA A Cancer J. Clin. 2018, 68, 394–424. [Google Scholar] [CrossRef] [PubMed]
- Chow, L.Q.M. Head and Neck Cancer. N. Engl. J. Med. 2020, 382, 60–72. [Google Scholar] [CrossRef]
- Caudell, J.J.; Gillison, M.L.; Maghami, E.; Spencer, S.; Pfister, D.G.; Adkins, D.; Birkeland, A.C.; Brizel, D.M.; Busse, P.M.; Cmelak, A.J.; et al. NCCN Guideslines® Insights: Head and Neck Cancers, Version 1.2022. J. Natl. Compr. Cancer Netw. 2022, 20, 224–234. [Google Scholar] [CrossRef] [PubMed]
- Burtness, B.; Harrington, K.J.; Greil, R.; Soulières, D.; Tahara, M.; de Castro, G., Jr.; Psyrri, A.; Basté, N.; Neupane, P.; Bratland, Å.; et al. Pembrolizumab alone or with chemotherapy versus cetuximab with chemotherapy for recurrent or metastatic squamous cell carcinoma of the head and neck (KEYNOTE-048): A randomised, open-label, phase 3 study. Lancet 2019, 394, 1915–1928. [Google Scholar] [CrossRef]
- Vermorken, J.B.; Mesia, R.; Rivera, F.; Remenar, E.; Kawecki, A.; Rottey, S.; Erfan, J.; Zabolotnyy, D.; Kienzer, H.R.; Cupissol, D.; et al. Platinum-based chemotherapy plus cetuximab in head and neck cancer. N. Engl. J. Med. 2008, 359, 1116–1127. [Google Scholar] [CrossRef]
- Picon, H.; Guddati, A.K. Mechanisms of resistance in head and neck cancer. Am. J. Cancer Res. 2020, 10, 2742–2751. [Google Scholar] [PubMed]
- Zaryouh, H.; De Pauw, I.; Baysal, H.; Pauwels, P.; Peeters, M.; Vermorken, J.B.; Lardon, F.; Wouters, A. The Role of Akt in Acquired Cetuximab Resistant Head and Neck Squamous Cell Carcinoma: An In Vitro Study on a Novel Combination Strategy. Front. Oncol. 2021, 11, 697967. [Google Scholar] [CrossRef] [PubMed]
- Gomes, I.N.F.; da Silva-Oliveira, R.J.; da Silva, L.S.; Martinho, O.; Evangelista, A.F.; van Helvoort Lengert, A.; Leal, L.F.; Silva, V.A.O.; Dos Santos, S.P.; Nascimento, F.C.; et al. Comprehensive Molecular Landscape of Cetuximab Resistance in Head and Neck Cancer Cell Lines. Cells 2022, 11, 154. [Google Scholar] [CrossRef] [PubMed]
- Bar-Zeev, M.; Livney, Y.D.; Assaraf, Y.G. Targeted nanomedicine for cancer therapeutics: Towards precision medicine overcoming drug resistance. Drug Resist. Updates 2017, 31, 15–30. [Google Scholar] [CrossRef] [PubMed]
- Cleary, J.M.; Aguirre, A.J.; Shapiro, G.I.; D’Andrea, A.D. Biomarker-Guided Development of DNA Repair Inhibitors. Mol. Cell 2020, 78, 1070–1085. [Google Scholar] [CrossRef]
- Carneiro, B.A.; El-Deiry, W.S. Targeting apoptosis in cancer therapy. Nat. Rev. Clin. Oncol. 2020, 17, 395–417. [Google Scholar] [CrossRef]
- Singh, A.; Settleman, J. EMT, cancer stem cells and drug resistance: An emerging axis of evil in the war on cancer. Oncogene 2010, 29, 4741–4751. [Google Scholar] [CrossRef] [PubMed]
- Klutstein, M.; Nejman, D.; Greenfield, R.; Cedar, H. DNA Methylation in Cancer and Aging. Cancer Res. 2016, 76, 3446–3450. [Google Scholar] [CrossRef]
- Zhao, Z.; Shilatifard, A. Epigenetic modifications of histones in cancer. Genome Biol. 2019, 20, 245. [Google Scholar] [CrossRef] [PubMed]
- Anfossi, S.; Babayan, A.; Pantel, K.; Calin, G.A. Clinical utility of circulating non-coding RNAs-an update. Nat. Rev. Clin. Oncol. 2018, 15, 541–563. [Google Scholar] [CrossRef] [PubMed]
- Spitz, F.; Furlong, E.E. Transcription factors: From enhancer binding to developmental control. Nat. Rev. Genet. 2012, 13, 613–626. [Google Scholar] [CrossRef]
- Blackwood, E.M.; Kadonaga, J.T. Going the distance: A current view of enhancer action. Science 1998, 281, 60–63. [Google Scholar] [CrossRef] [PubMed]
- Hnisz, D.; Abraham, B.J.; Lee, T.I.; Lau, A.; Saint-André, V.; Sigova, A.A.; Hoke, H.A.; Young, R.A. Super-enhancers in the control of cell identity and disease. Cell 2013, 155, 934–947. [Google Scholar] [CrossRef] [PubMed]
- Fox, S.; Myers, J.A.; Davidson, C.; Getman, M.; Kingsley, P.D.; Frankiewicz, N.; Bulger, M. Hyperacetylated chromatin domains mark cell type-specific genes and suggest distinct modes of enhancer function. Nat. Commun. 2020, 11, 4544. [Google Scholar] [CrossRef]
- Whyte, W.A.; Orlando, D.A.; Hnisz, D.; Abraham, B.J.; Lin, C.Y.; Kagey, M.H.; Rahl, P.B.; Lee, T.I.; Young, R.A. Master transcription factors and mediator establish super-enhancers at key cell identity genes. Cell 2013, 153, 307–319. [Google Scholar] [CrossRef]
- Li, G.H.; Qu, Q.; Qi, T.T.; Teng, X.Q.; Zhu, H.H.; Wang, J.J.; Lu, Q.; Qu, J. Super-enhancers: A new frontier for epigenetic modifiers in cancer chemoresistance. J. Exp. Clin. Cancer Res. 2021, 40, 174. [Google Scholar] [CrossRef]
- Shang, S.; Yang, J.; Jazaeri, A.A.; Duval, A.J.; Tufan, T.; Lopes Fischer, N.; Benamar, M.; Guessous, F.; Lee, I.; Campbell, R.M.; et al. Chemotherapy-Induced Distal Enhancers Drive Transcriptional Programs to Maintain the Chemoresistant State in Ovarian Cancer. Cancer Res. 2019, 79, 4599–4611. [Google Scholar] [CrossRef] [PubMed]
- Bao, J.; Li, M.; Liang, S.; Yang, Y.; Wu, J.; Zou, Q.; Fang, S.; Chen, S.; Guo, L. Integrated high-throughput analysis identifies super enhancers associated with chemoresistance in SCLC. BMC Med. Genom. 2019, 12, 67. [Google Scholar] [CrossRef] [PubMed]
- Lytle, N.K.; Ferguson, L.P.; Rajbhandari, N.; Gilroy, K.; Fox, R.G.; Deshpande, A.; Schürch, C.M.; Hamilton, M.; Robertson, N.; Lin, W.; et al. A Multiscale Map of the Stem Cell State in Pancreatic Adenocarcinoma. Cell 2019, 177, 572–586.e22. [Google Scholar] [CrossRef] [PubMed]
- Gomez, S.; Tabernacki, T.; Kobyra, J.; Roberts, P.; Chiappinelli, K.B. Combining epigenetic and immune therapy to overcome cancer resistance. Semin. Cancer Biol. 2020, 65, 99–113. [Google Scholar] [CrossRef] [PubMed]
- Sharma, S.V.; Lee, D.Y.; Li, B.; Quinlan, M.P.; Takahashi, F.; Maheswaran, S.; McDermott, U.; Azizian, N.; Zou, L.; Fischbach, M.A.; et al. A chromatin-mediated reversible drug-tolerant state in cancer cell subpopulations. Cell 2010, 141, 69–80. [Google Scholar] [CrossRef] [PubMed]
- Toh, T.B.; Lim, J.J.; Chow, E.K. Epigenetics in cancer stem cells. Mol. Cancer 2017, 16, 29. [Google Scholar] [CrossRef] [PubMed]
- Creyghton, M.P.; Cheng, A.W.; Welstead, G.G.; Kooistra, T.; Carey, B.W.; Steine, E.J.; Hanna, J.; Lodato, M.A.; Frampton, G.M.; Sharp, P.A.; et al. Histone H3K27ac separates active from poised enhancers and predicts developmental state. Proc. Natl. Acad. Sci. USA 2010, 107, 21931–21936. [Google Scholar] [CrossRef]
- Villar, D.; Berthelot, C.; Aldridge, S.; Rayner, T.F.; Lukk, M.; Pignatelli, M.; Park, T.J.; Deaville, R.; Erichsen, J.T.; Jasinska, A.J.; et al. Enhancer evolution across 20 mammalian species. Cell 2015, 160, 554–566. [Google Scholar] [CrossRef]
- Park, P.J. ChIP-seq: Advantages and challenges of a maturing technology. Nat. Rev. Genet. 2009, 10, 669–680. [Google Scholar] [CrossRef] [PubMed]
- Muhammad, I.I.; Kong, S.L.; Akmar Abdullah, S.N.; Munusamy, U. RNA-seq and ChIP-seq as Complementary Approaches for Comprehension of Plant Transcriptional Regulatory Mechanism. Int. J. Mol. Sci. 2019, 21, 167. [Google Scholar] [CrossRef] [PubMed]
- Wang, C.Y.; Yu, G.T.; Gao, C.; Chen, J.; Li, Q.L.; Zhang, L.; Wu, M.; Sun, Z.J.; Li, L.Y. Genome-Wide Enhancer Analysis Reveals the Role of AP-1 Transcription Factor in Head and Neck Squamous Cell Carcinoma. Front. Mol. Biosci. 2021, 8, 701531. [Google Scholar] [CrossRef]
- Li, Q.L.; Lin, X.; Yu, Y.L.; Chen, L.; Hu, Q.X.; Chen, M.; Cao, N.; Zhao, C.; Wang, C.Y.; Huang, C.W.; et al. Genome-wide profiling in colorectal cancer identifies PHF19 and TBC1D16 as oncogenic super enhancers. Nat. Commun. 2021, 12, 6407. [Google Scholar] [CrossRef] [PubMed]
- Uzawa, K.; Amelio, A.L.; Kasamatsu, A.; Saito, T.; Kita, A.; Fukamachi, M.; Sawai, Y.; Toeda, Y.; Eizuka, K.; Hayashi, F.; et al. Resveratrol Targets Urokinase-Type Plasminogen Activator Receptor Expression to Overcome Cetuximab-Resistance in Oral Squamous Cell Carcinoma. Sci. Rep. 2019, 9, 12179. [Google Scholar] [CrossRef] [PubMed]
- Silverman, S., Jr. Demographics and occurrence of oral and pharyngeal cancers. The outcomes, the trends, the challenge. J. Am. Dent. Assoc. 2001, 132, 7s–11s. [Google Scholar] [CrossRef]
- Zhang, X.; Wang, Y.; Chiang, H.C.; Hsieh, Y.P.; Lu, C.; Park, B.H.; Jatoi, I.; Jin, V.X.; Hu, Y.; Li, R. BRCA1 mutations attenuate super-enhancer function and chromatin looping in haploinsufficient human breast epithelial cells. Breast Cancer Res. 2019, 21, 51. [Google Scholar] [CrossRef] [PubMed]
- Zhang, L.; Li, H.; Qiu, Y.; Liu, Y.; Liu, X.; Wang, W. Screening and cellular validation of prognostic genes regulated by super enhancers in oral squamous cell carcinoma. Bioengineered 2021, 12, 10073–10088. [Google Scholar] [CrossRef]
- Yip, H.Y.K.; Papa, A. Signaling Pathways in Cancer: Therapeutic Targets, Combinatorial Treatments, and New Developments. Cells 2021, 10, 659. [Google Scholar] [CrossRef]
- Rubin Grandis, J.; Melhem, M.F.; Barnes, E.L.; Tweardy, D.J. Quantitative immunohistochemical analysis of transforming growth factor-alpha and epidermal growth factor receptor in patients with squamous cell carcinoma of the head and neck. Cancer 1996, 78, 1284–1292. [Google Scholar] [CrossRef]
- Rubin Grandis, J.; Melhem, M.F.; Gooding, W.E.; Day, R.; Holst, V.A.; Wagener, M.M.; Drenning, S.D.; Tweardy, D.J. Levels of TGF-alpha and EGFR protein in head and neck squamous cell carcinoma and patient survival. J. Natl. Cancer Inst. 1998, 90, 824–832. [Google Scholar] [CrossRef] [PubMed]
- National Comprehensive Cancer Network. Head and Neck Cancers (Version 1.2022). Available online: https://www.nccn.org/professionals/physician_gls/pdf/head-and-neck.pdf (accessed on 29 May 2022).
- Bonner, J.A.; Harari, P.M.; Giralt, J.; Cohen, R.B.; Jones, C.U.; Sur, R.K.; Raben, D.; Baselga, J.; Spencer, S.A.; Zhu, J.; et al. Radiotherapy plus cetuximab for locoregionally advanced head and neck cancer: 5-year survival data from a phase 3 randomised trial, and relation between cetuximab-induced rash and survival. Lancet Oncol. 2010, 11, 21–28. [Google Scholar] [CrossRef]
- Boeckx, C.; Weyn, C.; Vanden Bempt, I.; Deschoolmeester, V.; Wouters, A.; Specenier, P.; Van Laer, C.; Van den Weyngaert, D.; Kockx, M.; Vermorken, J.B.; et al. Mutation analysis of genes in the EGFR pathway in Head and Neck cancer patients: Implications for anti-EGFR treatment response. BMC Res. Notes 2014, 7, 337. [Google Scholar] [CrossRef] [PubMed]
- Janjigian, Y.Y.; Smit, E.F.; Groen, H.J.; Horn, L.; Gettinger, S.; Camidge, D.R.; Riely, G.J.; Wang, B.; Fu, Y.; Chand, V.K.; et al. Dual inhibition of EGFR with afatinib and cetuximab in kinase inhibitor-resistant EGFR-mutant lung cancer with and without T790M mutations. Cancer Discov. 2014, 4, 1036–1045. [Google Scholar] [CrossRef] [PubMed]
- Zhu, S.; Jin, J.; Gokhale, S.; Lu, A.M.; Shan, H.; Feng, J.; Xie, P. Genetic Alterations of TRAF Proteins in Human Cancers. Front. Immunol. 2018, 9, 2111. [Google Scholar] [CrossRef]
- Dai, H.; Chen, H.; Xu, J.; Zhou, J.; Shan, Z.; Yang, H.; Zhou, X.; Guo, F. The ubiquitin ligase CHIP modulates cellular behaviors of gastric cancer cells by regulating TRAF2. Cancer Cell Int. 2019, 19, 132. [Google Scholar] [CrossRef] [PubMed]
- Zhu, H.; Ding, W.; Wu, J.; Ma, R.; Pan, Z.; Mao, X. TRAF2 Knockdown in Nasopharyngeal Carcinoma Induced Cell Cycle Arrest and Enhanced the Sensitivity to Radiotherapy. BioMed Res. Int. 2020, 2020, 1641340. [Google Scholar] [CrossRef]
- Mahlke, M.A.; Nechemia-Arbely, Y. Guarding the Genome: CENP-A-Chromatin in Health and Cancer. Genes 2020, 11, 810. [Google Scholar] [CrossRef]
- Verrelle, P.; Meseure, D.; Berger, F.; Forest, A.; Leclère, R.; Nicolas, A.; Fortas, E.; Sastre-Garau, X.; Lae, M.; Boudjemaa, S.; et al. CENP-A Subnuclear Localization Pattern as Marker Predicting Curability by Chemoradiation Therapy for Locally Advanced Head and Neck Cancer Patients. Cancers 2021, 13, 3928. [Google Scholar] [CrossRef]
- Zhang, S.; Xie, Y.; Tian, T.; Yang, Q.; Zhou, Y.; Qiu, J.; Xu, L.; Wen, N.; Lv, Q.; Du, Z. High expression levels of centromere protein A plus upregulation of the phosphatidylinositol 3-kinase/Akt/mammalian target of rapamycin signaling pathway affect chemotherapy response and prognosis in patients with breast cancer. Oncol. Lett. 2021, 21, 410. [Google Scholar] [CrossRef]
- Shields, K.M.; Tooley, J.G.; Petkowski, J.J.; Wilkey, D.W.; Garbett, N.C.; Merchant, M.L.; Cheng, A.; Schaner Tooley, C.E. Select human cancer mutants of NRMT1 alter its catalytic activity and decrease N-terminal trimethylation. Protein Sci. 2017, 26, 1639–1652. [Google Scholar] [CrossRef]
- Li, Z.; Zhang, L.; Liu, D.; Yang, Z.; Xuan, D.; Zhang, Y. Knockdown of NRMT enhances sensitivity of retinoblastoma cells to cisplatin through upregulation of the CENPA/Myc/Bcl2 axis. Cell Death Discov. 2022, 8, 14. [Google Scholar] [CrossRef] [PubMed]
- Sathyan, K.M.; Fachinetti, D.; Foltz, D.R. α-amino trimethylation of CENP-A by NRMT is required for full recruitment of the centromere. Nat. Commun. 2017, 8, 14678. [Google Scholar] [CrossRef]
- Adkins, D.; Ley, J.; Neupane, P.; Worden, F.; Sacco, A.G.; Palka, K.; Grilley-Olson, J.E.; Maggiore, R.; Salama, N.N.; Trinkaus, K.; et al. Palbociclib and cetuximab in platinum-resistant and in cetuximab-resistant human papillomavirus-unrelated head and neck cancer: A multicentre, multigroup, phase 2 trial. Lancet Oncol. 2019, 20, 1295–1305. [Google Scholar] [CrossRef]
- Smith, A.; Chan, S.; McCloskey, A.; Vora, H.; Burrows, F.; Malik, S. Antitumor Activity of Tipifarnib and PI3K Pathway Inhibitor in HRAS-associated HNSCC. Int. J. Radiat. Oncol. Biol. Phys. 2022, 112, e48. [Google Scholar] [CrossRef]
- Yamaguchi, K.; Iglesias-Bartolomé, R.; Wang, Z.; Callejas-Valera, J.L.; Amornphimoltham, P.; Molinolo, A.A.; Cohen, E.E.; Califano, J.A.; Lippman, S.M.; Luo, J.; et al. A synthetic-lethality RNAi screen reveals an ERK-mTOR co-targeting pro-apoptotic switch in PIK3CA+oral cancers. Oncotarget 2016, 7, 10696–10709. [Google Scholar] [CrossRef]
- Berszin, M.; Michaelides, I.; Siemert, J.; Röhl, L.; Wellhausen, J.; Wald, T.; Bohr, C.; Künzel, J.; Gradistanac, T.; Dietz, A.; et al. Cytokine Profiles of Head and Neck Squamous Cell Carcinoma Undergoing Dual Immunotherapy With Cetuximab and Pembrolizumab Identify Interferon Gamma-Induced Protein 10 as Novel Biomarker. Front. Oncol. 2022, 12, 795277. [Google Scholar] [CrossRef]
- Sacco, A.G.; Chen, R.; Worden, F.P.; Wong, D.J.L.; Adkins, D.; Swiecicki, P.; Chai-Ho, W.; Oppelt, P.; Ghosh, D.; Bykowski, J.; et al. Pembrolizumab plus cetuximab in patients with recurrent or metastatic head and neck squamous cell carcinoma: An open-label, multi-arm, non-randomised, multicentre, phase 2 trial. Lancet Oncol. 2021, 22, 883–892. [Google Scholar] [CrossRef]
- Saito, T.; Kasamatsu, A.; Ogawara, K.; Miyamoto, I.; Saito, K.; Iyoda, M.; Suzuki, T.; Endo-Sakamoto, Y.; Shiiba, M.; Tanzawa, H.; et al. Semaphorin7A Promotion of Tumoral Growth and Metastasis in Human Oral Cancer by Regulation of G1 Cell Cycle and Matrix Metalloproteases: Possible Contribution to Tumoral Angiogenesis. PLoS ONE 2015, 10, e0137923. [Google Scholar] [CrossRef]
- Ndoja, A.; Reja, R.; Lee, S.H.; Webster, J.D.; Ngu, H.; Rose, C.M.; Kirkpatrick, D.S.; Modrusan, Z.; Chen, Y.J.; Dugger, D.L.; et al. Ubiquitin Ligase COP1 Suppresses Neuroinflammation by Degrading c/EBPβ in Microglia. Cell 2020, 182, 1156–1169.e12. [Google Scholar] [CrossRef]
- Wang, Q.; Ozer, H.G.; Wang, B.; Zhang, M.; Urabe, G.; Huang, Y.; Kent, K.C.; Guo, L.W. A hierarchical and collaborative BRD4/CEBPD partnership governs vascular smooth muscle cell inflammation. Mol. Ther. Methods Clin. Dev. 2021, 21, 54–66. [Google Scholar] [CrossRef] [PubMed]
- Bhattarai, S.; Akella, A.; Gandhi, A.; Dharap, A. Modulation of Brain Pathology by Enhancer RNAs in Cerebral Ischemia. Mol. Neurobiol. 2021, 58, 1482–1490. [Google Scholar] [CrossRef] [PubMed]
- Quinlan, A.R.; Hall, I.M. BEDTools: A flexible suite of utilities for comparing genomic features. Bioinformatics 2010, 26, 841–842. [Google Scholar] [CrossRef]
- Gao, J.; Aksoy, B.A.; Dogrusoz, U.; Dresdner, G.; Gross, B.; Sumer, S.O.; Sun, Y.; Jacobsen, A.; Sinha, R.; Larsson, E.; et al. Integrative analysis of complex cancer genomics and clinical profiles using the cBioPortal. Sci. Signal. 2013, 6, pl1. [Google Scholar] [CrossRef] [PubMed]
- Zhang, B.; Kirov, S.; Snoddy, J. WebGestalt: An integrated system for exploring gene sets in various biological contexts. Nucleic Acids Res. 2005, 33, W741–W748. [Google Scholar] [CrossRef] [PubMed]
- Martens, M.; Ammar, A.; Riutta, A.; Waagmeester, A.; Slenter, D.N.; Hanspers, K.; Ryan, A.M.; Digles, D.; Lopes, E.N.; Ehrhart, F.; et al. WikiPathways: Connecting communities. Nucleic Acids Res. 2021, 49, D613–D621. [Google Scholar] [CrossRef]
- Uhlen, M.; Zhang, C.; Lee, S.; Sjöstedt, E.; Fagerberg, L.; Bidkhori, G.; Benfeitas, R.; Arif, M.; Liu, Z.; Edfors, F.; et al. A pathology atlas of the human cancer transcriptome. Science 2017, 357, eaan2507. [Google Scholar] [CrossRef]
- Pontén, F.; Jirström, K.; Uhlen, M. The Human Protein Atlas—A tool for pathology. J. Pathol. 2008, 216, 387–393. [Google Scholar] [CrossRef]







| No. | Merged Region | Chromosome | Start | End | Length | Gene List | Position |
|---|---|---|---|---|---|---|---|
| 1 | 3 | 1 | 3,453,352 | 3,483,697 | 30,345 | PRDM16, ARHGEF16 | downstream, in gene |
| 2 | 35 | 1 | 31,689,438 | 31,715,640 | 26,202 | COL16A1, LOC101929444, BAI(ADGRB2) | in gene, downstream, downstream |
| 3 | 52 | 1 | 46,170,382 | 46,203,757 | 33,375 | PIK3R3, LOC105378695, TSPAN1, POMGNT1, LURAP1 | upstream, upstream, in gene, downstream, upstream |
| 4 | 89 | 1 | 151,536,650 | 151,553,908 | 17,258 | CGN, TUFT1, MIR554 | downstream, in gene, upstream |
| 5 | 121 | 1 | 180,501,359 | 180,533,622 | 32,263 | ACBD6 | upstream |
| 6 | 131 | 1 | 200,885,778 | 200,903,119 | 17,341 | GPR25, C1orf106, MROH3P | downstream, in gene, upstream |
| 7 | 135 | 1 | 202,566,931 | 202,600,283 | 33,352 | PPP1R12B, SYT2, LOC105371686, LOC105371685 | in gene, downstream, upstream, upstream |
| 8 | 166 | 1 | 240,758,392 | 240,811,761 | 53,369 | LOC100506929, RGS7, LOC105373229 | upstream, in gene, upstream |
| 9 | 208 | 10 | 72,243,611 | 72,278,769 | 35,158 | ANAPC16 | downstream |
| 10 | 212 | 10 | 75,207,300 | 75,264,014 | 56,714 | VDAC2, COMTD1 | downstream, in gene |
| 11 | 248 | 10 | 132,395,732 | 132,422,986 | 27,254 | LRRC27, PWWP2B, LOC105378568, C10orf91 | downstream, in gene, downstream, upstream |
| 12 | 254 | 11 | 8,806,999 | 8,841,147 | 34,148 | ST5, LOC102724784, RNA5SP330 | in gene, downstream, upstream |
| 13 | 259 | 11 | 12,788,054 | 12,842,696 | 54,642 | TEAD1 | in gene |
| 14 | 284 | 11 | 63,559,618 | 63,584,348 | 24,730 | RARRES3, HRASLS2, PLA2G16, LOC105369335 | downstream, upstream, downstream, upstream |
| 15 | 289 | 11 | 65,371,027 | 65,392,675 | 21,648 | TIGD3, SLC25A45 | downstream, in gene |
| 16 | 315 | 11 | 114,280,212 | 114,309,047 | 28,835 | NNMT | upstream |
| 17 | 390 | 12 | 47,811,914 | 47,836,614 | 24,700 | LOC105369749 | upstream |
| 18 | 429 | 12 | 79,545,485 | 79,567,438 | 21,953 | PAWR | downstream |
| 19 | 460 | 12 | 122,696,516 | 122,727,563 | 31,047 | HCAR2, HCAR3, HCAR1 | upstream, downstream, downstream |
| 20 | 471 | 13 | 33,118,131 | 33,129,383 | 11,252 | STARD13 | in gene |
| 21 | 482 | 13 | 79,480,690 | 79,494,906 | 14,216 | NDFIP2-AS1, NDFIP2 | upstream, in gene |
| 22 | 502 | 14 | 22,588,162 | 22,622,517 | 34,355 | DAD1, ABHD4 | upstream, in gene |
| 23 | 585 | 15 | 73,973,341 | 73,997,593 | 24,252 | STOML1, PML | in gene, upstream |
| 24 | 633 | 16 | 68,731,540 | 68,802,326 | 70,786 | CDH1 | downstream |
| 25 | 641 | 16 | 81,559,343 | 81,602,113 | 42,770 | MIR6504 | in gene, upstream |
| 26 | 672 | 17 | 17,900,207 | 17,972,359 | 72,152 | TOM1L2, LRRC48, ATPAF2 | in gene, upstream, downstream |
| 27 | 674 | 17 | 19,706,613 | 19,729,962 | 23,349 | SLC47A2, ALDH3A1 | in gene, downstream |
| 28 | 699 | 17 | 42,658,915 | 42,683,176 | 24,261 | HMGB3P27, TUBG2, PLEKHH3, CCR10, CNTNAP1, EZH1, MIR6780A | downstream, downstream, in gene, downstream, upstream, downstream, downstream |
| 29 | 746 | 17 | 82,096,030 | 82,108,208 | 12,178 | FASN | upstream |
| 30 | 764 | 18 | 57,770,620 | 57,846,982 | 76,362 | ATP8B1, LOC1 + G3305376870, RSL24D1P11 | upstream, downstream, upstream |
| 31 | 775 | 19 | 2,523,762 | 2,555,593 | 31,831 | LOC101929097, GNG7 | upstream, in gene |
| 32 | 776 | 19 | 4,367,944 | 4,403,867 | 35,923 | MPND, SH3GL1, CHAF1A | downstream, in gene, upstream |
| 33 | 778 | 19 | 6,719,422 | 6,747,512 | 28,090 | C3, GPR108, MIR6791, TRIP10, SH2D3A | upstream, in gene, downstream, upstream, downstream |
| 34 | 790 | 19 | 18,361,769 | 18,388,017 | 26,248 | PGPEP1, GDF15, MIR3189, LRRC25 | downstream, upstream, upstream, downstream |
| 35 | 797 | 19 | 38,251,595 | 38,320,090 | 68,495 | PPP1R14A, SPINT2, YIF1B, C19orf33, KCNK6 | upstream, in gene, downstream, upstream, upstream |
| 36 | 811 | 19 | 43,104,469 | 43,131,735 | 27,266 | PSG5, PSG2 | in gene, upstream |
| 37 | 817 | 19 | 46,191,369 | 46,232,922 | 41,553 | IGFL2, LOC105372424, LOC645553, LOC105372423, LOC105372422, IGFL1 | downstream, upstream, in gene, downstream, downstream, upstream |
| 38 | 840 | 2 | 26,755,019 | 26,773,104 | 18,085 | C2orf18(SLC35F6), CENPA | upstream, upstream |
| 39 | 849 | 2 | 36,476,174 | 36,505,315 | 29,141 | CRIM | in gene |
| 40 | 905 | 2 | 85,237,328 | 85,298,810 | 61,482 | TCF7L1, LOC102724579, LOC105374839 | in gene, downstream, downstream |
| 41 | 995 | 20 | 10,653,952 | 10,675,733 | 21,781 | JAG1, MIR6870, LOC105372526 | in gene, upstream, upstream |
| 42 | 998 | 20 | 19,903,485 | 19,958,418 | 54,933 | RIN2 | in gene |
| 43 | 1081 | 21 | 38,898,236 | 38,926,384 | 28,148 | LOC400867 | in gene |
| 44 | 1084 | 21 | 41,751,747 | 41,787,733 | 35,986 | RIPK4, MIR6814, LOC102724800, PRDM15 | upstream, upstream, in gene, downstream |
| 45 | 1101 | 22 | 24,950,104 | 24,997,098 | 46,994 | TMEM211, KIAA1671 | upstream, in gene |
| 46 | 1111 | 22 | 31,629,899 | 31,663,559 | 33,660 | SFI1, PISD, MIR7109, PRR14L | downstream, in gene, upstream, downstream |
| 47 | 1121 | 22 | 37,887,250 | 37,908,095 | 20,845 | EIF3L, MICALL1 | downstream, upstream |
| 48 | 1127 | 22 | 40,482,368 | 40,542,411 | 60,043 | MKL1, LOC101927257, LOC105373037 | in gene, upstream, upstream |
| 49 | 1135 | 22 | 46,731,873 | 46,775,788 | 43,915 | CERK, LOC105373077, TBC1D22A | upstream, upstream, upstream |
| 50 | 1155 | 3 | 37,934,276 | 37,947,923 | 13,647 | CTDSPL, MIR26A1 | in gene, upstream |
| 51 | 1189 | 3 | 123,583,773 | 123,653,831 | 70,058 | HACD2, MYLK-AS1 | upstream, in gene |
| 52 | 1207 | 3 | 153,130,215 | 153,165,195 | 34,980 | RAP2B | upstream |
| 53 | 1223 | 3 | 183,253,290 | 183,297,852 | 44,562 | MCF2L2, B3GNT5, RNA5SP151 | in gene, downstream, upstream |
| 54 | 1237 | 3 | 197,482,394 | 197,521,067 | 38,673 | LOC105374308, LOC105374309, BDH1 | upstream, downstream, downstream |
| 55 | 1299 | 5 | 57,681,786 | 57,700,891 | 19,105 | LOC101928505 | downstream |
| 56 | 1392 | 6 | 33,731,250 | 33,789,203 | 57,953 | C6orf125(UQCC2), IP6K3, LEMD2, LOC105375024, MLN | upstream, upstream, downstream, upstream, downstream |
| 57 | 1473 | 7 | 27,080,276 | 27,115,997 | 35,721 | HOXA1, HOTAIRM1, HOXA2, LOC105375205 | upstream, in gene, downstream, upstream |
| 58 | 1475 | 7 | 28,034,605 | 28,067,086 | 32,481 | JAZF1, LOC105375208 | in gene, in gene |
| 59 | 1496 | 7 | 47,633,320 | 47,694,065 | 60,745 | LINC01447, C7orf65 | downstream, downstream |
| 60 | 1555 | 8 | 22,561,116 | 22,605,497 | 44,381 | PPP3CC, SORBS3, LOC105379320, PDLIM2, C8orf58, CCAR2, BIN3 | downstream, downstream, upstream, in gene, upstream, upstream, downstream |
| 61 | 1634 | 8 | 140,722,495 | 140,734,727 | 12,232 | MIR151A | downstream |
| 62 | 1640 | 8 | 142,777,613 | 142,796,025 | 18,412 | LYNX1, LY6D | upstream, upstream |
| 63 | 1655 | 9 | 22,079,706 | 22,119,693 | 39,987 | CDKN2B-AS1 | in gene |
| 64 | 1672 | 9 | 93,093,990 | 93,149,539 | 55,549 | SUSD3, LOC101927993, C9orf89, NINJ1, LOC105376150 | downstream, upstream, downstream, in gene, upstream |
| 65 | 1677 | 9 | 106,860,435 | 106,921,639 | 61,204 | LOC105376204, ZNF462 | upstream, in gene |
| 66 | 1703 | 9 | 129,314,856 | 129,336,831 | 21,975 | C9orf106, LINC01503 | downstream, upstream |
| 67 | 1708 | 9 | 136,533,550 | 136,579,457 | 45,907 | NOTCH1, MIR4673, LOC1053763204, MIR4674, LINC01573 | upstream, upstream, downstream, upstream, downstream |
| 68 | 1709 | 9 | 136,881,365 | 136,905,108 | 23,743 | MAMDC4, EDF1, LOC105376326, TRAF2, MIR4479 | downstream, upstream, upstream, in gene, downstream |
Publisher’s Note: MDPI stays neutral with regard to jurisdictional claims in published maps and institutional affiliations. |
© 2022 by the authors. Licensee MDPI, Basel, Switzerland. This article is an open access article distributed under the terms and conditions of the Creative Commons Attribution (CC BY) license (https://creativecommons.org/licenses/by/4.0/).
Share and Cite
Saito, T.; Asai, S.; Tanaka, N.; Nohata, N.; Minemura, C.; Koma, A.; Kikkawa, N.; Kasamatsu, A.; Hanazawa, T.; Uzawa, K.; et al. Genome-Wide Super-Enhancer-Based Analysis: Identification of Prognostic Genes in Oral Squamous Cell Carcinoma. Int. J. Mol. Sci. 2022, 23, 9154. https://doi.org/10.3390/ijms23169154
Saito T, Asai S, Tanaka N, Nohata N, Minemura C, Koma A, Kikkawa N, Kasamatsu A, Hanazawa T, Uzawa K, et al. Genome-Wide Super-Enhancer-Based Analysis: Identification of Prognostic Genes in Oral Squamous Cell Carcinoma. International Journal of Molecular Sciences. 2022; 23(16):9154. https://doi.org/10.3390/ijms23169154
Chicago/Turabian StyleSaito, Tomoaki, Shunichi Asai, Nozomi Tanaka, Nijiro Nohata, Chikashi Minemura, Ayaka Koma, Naoko Kikkawa, Atsushi Kasamatsu, Toyoyuki Hanazawa, Katsuhiro Uzawa, and et al. 2022. "Genome-Wide Super-Enhancer-Based Analysis: Identification of Prognostic Genes in Oral Squamous Cell Carcinoma" International Journal of Molecular Sciences 23, no. 16: 9154. https://doi.org/10.3390/ijms23169154
APA StyleSaito, T., Asai, S., Tanaka, N., Nohata, N., Minemura, C., Koma, A., Kikkawa, N., Kasamatsu, A., Hanazawa, T., Uzawa, K., & Seki, N. (2022). Genome-Wide Super-Enhancer-Based Analysis: Identification of Prognostic Genes in Oral Squamous Cell Carcinoma. International Journal of Molecular Sciences, 23(16), 9154. https://doi.org/10.3390/ijms23169154

