Characterization, In Vitro Biological Activity and In Vivo Cardioprotective Properties of Trametes versicolor (L.:Fr.) Quél. Heteropolysaccharides in a Rat Model of Metabolic Syndrome
Abstract
1. Introduction
2. Results and Discussion
2.1. Chemical Analyses of TV Heteropolysaccharides
2.1.1. FT-IR Spectra
2.1.2. Monosaccharide Composition
2.1.3. Molecular Weight
2.2. α-Amylase Activity
2.3. Antimicrobial Activity
2.4. Effects of TV Supplementation on Hemodynamic Parameters
2.4.1. Blood Pressure Analysis
2.4.2. Echocardiographic Evaluation
2.5. Effects of TVH Supplementation on Systemic Oxidative Stress
2.6. Effects of TVH Supplementation on OGTT
2.7. Insulin Level Measurement
2.8. Lipid Status
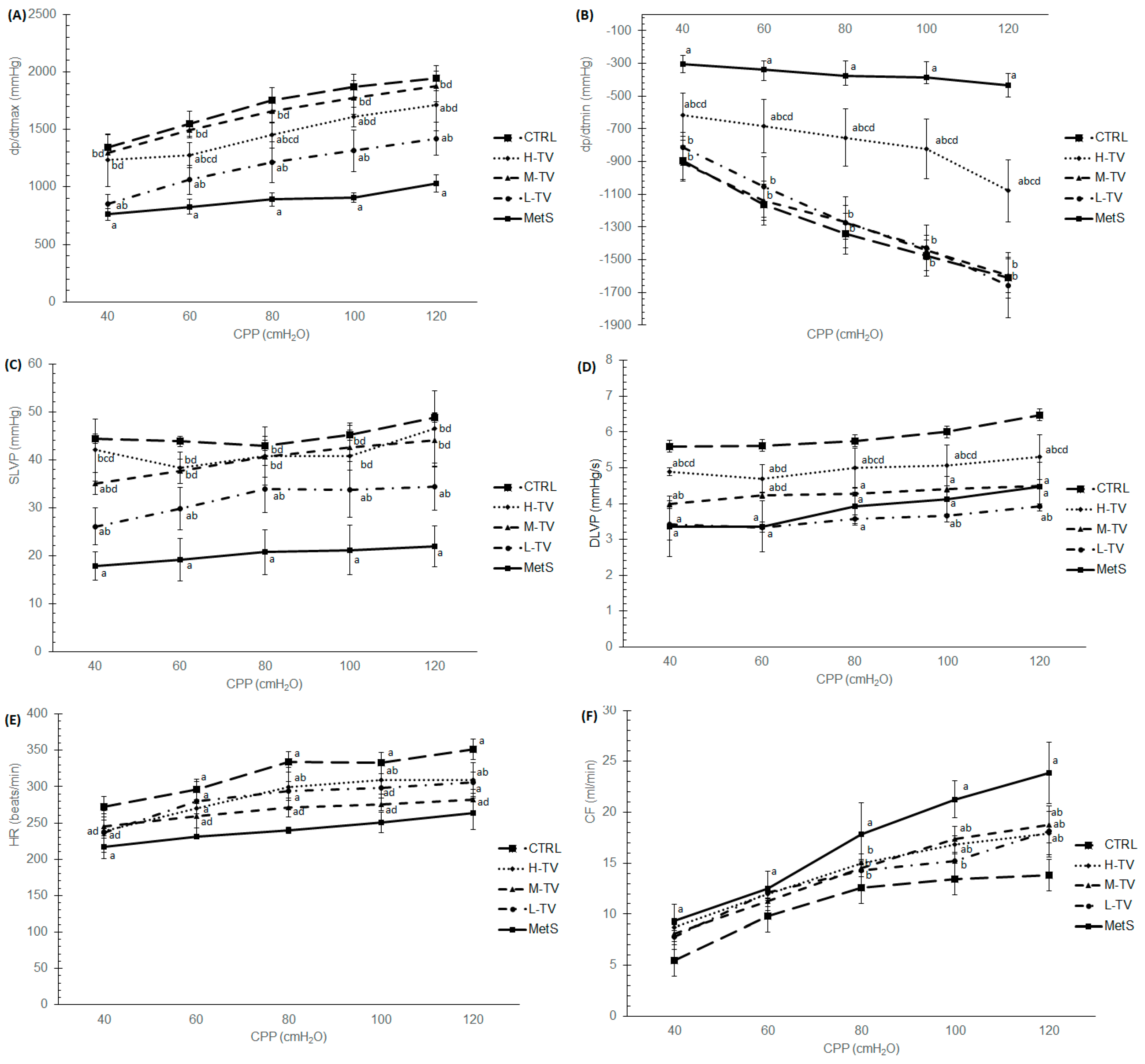
2.9. Ex Vivo Cardiac Function
3. Discussion
4. Materials and Methods
4.1. Preparation of Mushroom Heteropolysaccharides
4.2. Chemical Analyses
4.2.1. FT-IR Analysis
4.2.2. Monosaccharide Composition
4.2.3. Molecular Weight Determination
4.3. α-Amylase Inhibition Assay
4.4. Antibacterial and Anticandidal Activity
4.5. Animal Protocol
4.6. Experimental Design
4.7. Oral Glucose Tolerance Test (OGTT) and Glucose Levels Determination
4.8. Insulin Level Measurement
4.9. Blood Pressure and Heart Rate Measurement
4.10. Echocardiographic Evaluation
4.11. Lipid Status
4.12. Systemic Oxidative Stress
4.13. Ex Vivo Cardiac Function
4.14. Statistical Analysis
5. Conclusions
Supplementary Materials
Author Contributions
Funding
Institutional Review Board Statement
Informed Consent Statement
Data Availability Statement
Acknowledgments
Conflicts of Interest
References
- Saklayen, M.G. The Global Epidemic of the Metabolic Syndrome. Curr. Hypertens Rep. 2018, 20, 12. [Google Scholar] [CrossRef]
- Alberti, K.G.; Eckel, R.H.; Grundy, S.M.; Zimmet, P.Z.; Cleeman, J.I.; Donato, K.A.; Fruchart, J.C.; James, W.P.; Loria, C.M.; Smith, S.C., Jr. International Diabetes Federation Task Force on Epidemiology and Prevention, National Heart, Lung, and Blood Institute, American Heart Association, World Heart Federation, International Atherosclerosis Society, International Association for the Study of Obesity Harmonizing the metabolic syndrome: A joint interim statement of the International Diabetes Federation Task Force on Epidemiology and Prevention; National Heart, Lung, and Blood Institute; American Heart Association; World Heart Federation; International Atherosclerosis Society; and International Association for the Study of Obesity. Circulation 2009, 120, 1640–1645. [Google Scholar] [CrossRef] [PubMed]
- Pérez-Martínez, P.; Mikhailidis, D.P.; Athyros, V.G.; Bullo, M.; Couture, P.; Covas, M.I.; de Koning, L.; Delgado-Lista, J.; Díaz-López, A.; Drevon, C.A.; et al. Lifestyle recommendations for the prevention and management of metabolic syndrome: An international panel recommendation. Nutr. Rev. 2017, 75, 307–326. [Google Scholar] [CrossRef] [PubMed]
- Teng, J.F.; Lee, C.H.; Hsu, T.H.; Lo, H.C. Potential activities and mechanisms of extracellular polysaccharopeptides from fermented Trametes versicolor on regulating glucose homeostasis in insulin-resistant HepG2 cells. PLoS ONE 2018, 13, e0201131. [Google Scholar] [CrossRef] [PubMed]
- Xu, L.; Li, Y.; Dai, Y.; Peng, J. Natural products for the treatment of type 2 diabetes mellitus: Pharmacology and mechanisms. Pharmacol. Res. 2018, 130, 451–465. [Google Scholar] [CrossRef]
- Wińska, K.; Mączka, W.; Gabryelska, K.; Grabarczyk, M. Mushrooms of the Genus Ganoderma Used to Treat Diabetes and Insulin Resistance. Molecules 2019, 24, 4075. [Google Scholar] [CrossRef]
- Lu, Y.; Jia, Y.; Xue, Z.; Li, N.; Liu, J.; Chen, H. Recent Developments in Inonotus obliquus (Chaga mushroom) Polysaccharides: Isolation, Structural Characteristics, Biological Activities and Application. Polymers 2021, 13, 1441. [Google Scholar] [CrossRef]
- Khan, M.A.; Tania, M.; Liu, R.; Rahman, M.M. Hericium erinaceus: An edible mushroom with medicinal values. J. Complement. Integr. Med. 2013, 10, 253–258. [Google Scholar] [CrossRef]
- Chen, C.H.; Kang LLo, H.C.; Hsu, T.S.; Lin, F.Y.; Lin, Y.S.; Wang, Z.J.; Chen, S.T.; Shen, C.L. Polysaccharides of Trametes versicolor improve bone properties in diabetic rats. J. Agric. Food Chem. 2015, 63, 9232–9238. [Google Scholar] [CrossRef]
- Tel-Çayan, G.; Çayan, F.; Deveci, E.; Duru, M.E. Phenolic profile, antioxidant and cholinesterase inhibitory activities of four Trametes species: T. bicolor, T. pubescens, T. suaveolens, and T. versicolor. J. Food Meas. Charact. 2021, 15, 4608–4616. [Google Scholar] [CrossRef]
- Meng, F.; Lin, Y.; Hu, L.; Feng, W.; Su, P.; Wu, L. The Therapeutic Effect of Coriolus versicolor Fruiting Body on STZ-Induced ICR Diabetic Mice. J. Healthc. Eng. 2022, 2022, 7282453. [Google Scholar] [CrossRef] [PubMed]
- Habtemariam, S. Trametes versicolor (Synn. Coriolus versicolor) Polysaccharides in Cancer Therapy: Targets and Efficacy. Biomedicines 2020, 8, 135. [Google Scholar] [CrossRef] [PubMed]
- Bains, A.; Chawla, P. In vitro bioactivity, antimicrobial and anti-inflammatory efficacy of modified solvent evaporation assisted Trametes versicolor extract. Biotech 2020, 10, 404. [Google Scholar] [CrossRef]
- Angelova, G.; Brazkova, M.; Mihaylova, D.; Slavov, A.; Petkova, N.; Blazheva, D.; Deseva, I.; Gotova, I.; Dimitrov, Z.; Krastanov, A. Bioactivity of Biomass and Crude Exopolysaccharides Obtained by Controlled Submerged Cultivation of Medicinal Mushroom. J. Fungi 2022, 8, 738. [Google Scholar] [CrossRef]
- Wang, K.F.; Sui, Y.; Guo, C.; Zhao Liu, C. Improved production and antitumor activity of intracellular protein-polysaccharide from Trametes versicolor by the quorum sensing molecule-tyrosol. J. Funct. Foods 2017, 37, 90–96. [Google Scholar] [CrossRef]
- Huang, Z.; Minglong, Z.; Wang, Y.; Zhang, S.; Jiang, X. Extracellular and Intracellular Polysaccharide Extracts of Trametes versicolor Improve Lipid Profiles Via Serum Regulation of Lipid-Regulating Enzymes in Hyperlipidemic Mice. Curr. Microbiol. 2020, 77, 3526–3537. [Google Scholar] [CrossRef]
- Zhang, X.; Zhenyu, C.; Mao, H.; Hu, P.; Li, X. Isolation and structure elucidation of polysaccharides from fruiting bodies of mushroom Coriolus versicolor and evaluation of their immunomodulatory effects. Int. J. Biol. Macromol. 2021, 166, 1387–1395. [Google Scholar] [CrossRef]
- Kozarski, M.; Klaus, A.; Nikšić, M.; Vrvić, M.M.; Todorović, N.; Jakovljević, D.; Griensven, L.J.L.D.V. Antioxidative activities and chemical characterization of polysaccharide extracts from the widely used mushrooms Ganoderma applanatum, Ganoderma lucidum, Lentinus edodes and Trametes versicolor. J. Food Compos. Anal. 2012, 26, 144–153. [Google Scholar] [CrossRef]
- Jhan, M.H.; Yeh, C.H.; Tsai, C.C.; Kao, C.T.; Chang, C.K.; Hsieh, C.W. Enhancing the Antioxidant Ability of Trametes versicolor Polysaccharopeptides by an Enzymatic Hydrolysis Process. Molecules 2016, 21, 1215. [Google Scholar] [CrossRef]
- Cui, J.; Kim, K.; Goh, T.; Archer, T.; Singh, H. Characterisation and bioactivity of protein-bound polysaccharides from submerged-culture fermentation of Coriolus versicolor Wr-74 and ATCC-20545 strains. J. Ind. Microbiol. Biotechnol. 2007, 34, 393–402. [Google Scholar] [CrossRef]
- Aramabašić Jovanović, J.; Mihailović, M.; Uskoković, A.; Grdović, N.; Dinić, S.; Vidaković, M. The Effects of Major Mushroom Bioactive Compounds on Mechanisms That Control Blood Glucose Level. J. Fungi. 2021, 7, 58. [Google Scholar] [CrossRef] [PubMed]
- Kifle, Z.D.; Enyew, E.F. Evaluation of In Vivo Antidiabetic, In Vitro α-Amylase Inhibitory, and In Vitro Antioxidant Activity of Leaves Crude Extract and Solvent Fractions of Bersama abyssinica Fresen (Melianthaceae). J. Evid. Based Integr. Med. 2020, 25, 2515690X20935827. [Google Scholar] [CrossRef] [PubMed]
- Ni, L.; Min, C. Metabolic Syndrome and Skin Disease: Potential Connection and Risk. Int. J. Dermatol. 2019, 2, 89–93. [Google Scholar]
- Shi, S.; Yin, L.; Shen, X.; Dai, Y.; Wang, J.; Yin, D.; Zhang, D.; Pan, X. β-Glucans from Trametes versicolor (L.) Lloyd Is Effective for Prevention of Influenza Virus Infection. Viruses 2022, 14, 237. [Google Scholar] [CrossRef]
- Vetter, J. The Mushroom Glucans: Molecules of High Biological and Medicinal Importance. Foods 2023, 12, 1009. [Google Scholar] [CrossRef] [PubMed]
- Ren, Y.; Li, S.; Song, Z.; Luo, Q.; Zhang, Y.; Wang, H. The Regulatory Roles of Polysaccharides and Ferroptosis-Related Phytochemicals in Liver Diseases. Nutrients 2022, 14, 2303. [Google Scholar] [CrossRef]
- Jiang, X.; Meng, W.; Li, L.; Meng, Z.; Wang, D. Adjuvant Therapy with Mushroom Polysaccharides for Diabetic Complications. Front. Pharmacol. 2020, 11, 168. [Google Scholar] [CrossRef]
- Lo, H.C.; Hsu, T.H.; Lee, C.H. Extracellular Polysaccharopeptides from Fermented Turkey Tail Medicinal Mushroom, Trametes versicolor (Agaricomycetes), Mitigate Oxidative Stress, Hyperglycemia, and Hyperlipidemia in Rats with Type 2 Diabetes Mellitus. Int. J. Med. Mushrooms 2020, 22, 417–429. [Google Scholar] [CrossRef]
- Xu, S.; Ye, B.; Dou, Y.; Hu, M.; Rong, X. Coriolus versicolor polysaccharide regulates inflammatory cytokines expression and ameliorates hyperlipidemia in mice. Acta Sci. Nat. Univ. Nankaiensis 2016, 49, 81–87. [Google Scholar]
- Zhang, S.; Lei, L.; Zhou, Y.; Ye, F.; Zhao, G. Roles of mushroom polysaccharides in chronic disease management. J. Integr. Agric. 2022, 21, 1839–1866. [Google Scholar] [CrossRef]
- Chan, S.W.; Tomlinson, B.; Chan, P.; Lam, C.W.K. The beneficial effects of Ganoderma lucidum on cardiovascular and metabolic disease risk. Pharm. Biol. 2021, 59, 1161–1171. [Google Scholar] [CrossRef] [PubMed]
- Amirullah, N.A.; Zainal Abidin, N.; Abdullah, N. The potential applications of mushrooms against some facets of atherosclerosis: A review. Food Res. Int. 2018, 105, 517–536. [Google Scholar] [CrossRef] [PubMed]
- Gao, Y.; Chen, G.; Dai, X.; Ye, J.; Zhou, S. A phase I/II study of Ling Zhi mushroom Ganoderma lucidum (W.Curt.:Fr.) Lloyd (Aphyllophoromycetideae) extract in patients with coronary heart disease. Int. J. Med. Mushr. 2004, 6, 327–334. [Google Scholar] [CrossRef]
- Wang, Y.; Li, H.; Li, Y.; Zhao, Y.; Xiong, F.; Liu, Y.; Xue, H.; Yang, Z.; Ni, S.; Sahil, A.; et al. Coriolus versicolor alleviates diabetic cardiomyopathy by inhibiting cardiac fibrosis and NLRP3 inflammasome activation. Phytother. Res. 2019, 33, 2737–2748. [Google Scholar] [CrossRef]
- Quagliariello, V.; Basilicata, M.G.; Pepe, G.; De Anseris, R.; Di Mauro, A.; Scognamiglio, G.; Palma, G.; Vestuto, V.; Buccolo, S.; Luciano, A.; et al. Combination of Spirulina platensis, Ganoderma lucidum and Moringa oleifera Improves Cardiac Functions and Reduces Pro-Inflammatory Biomarkers in Preclinical Models of Short-Term Doxorubicin-Mediated Cardiotoxicity: New Frontiers in Cardioncology. J. Cardiovasc. Dev. Dis. 2022, 9, 423. [Google Scholar] [CrossRef] [PubMed]
- Xie, Y.Z.; Yang, F.; Tan, W.; Li, X.; Jiao, C.; Huang, R.; Yang, B.B. The anti-cancer components of Ganoderma lucidum possesses cardiovascular protective effect by regulating circular RNA expression. Oncoscience 2016, 3, 203–207. [Google Scholar] [CrossRef]
- Janjušević, L.; Karaman, M.; Šibul, F.; Tommonaro, G.; Iodice, C.; Jakovljević, D.; Pejin, B. The lignicolous fungus Trametes versicolor (L.) Lloyd (1920): A promising natural source of antiradical and AChE inhibitory agents. J. Enzyme. Inhib. Med. Chem. 2017, 32, 355–362. [Google Scholar] [CrossRef]
- Janjušević, L.; Pejin, B.; Kaišarević, S.; Gorjanović, S.; Pastor, F.; Tešanović, K.; Karaman, M. Trametes versicolor ethanol extract, a promising candidate for health-promoting food supplement. Nat. Prod. Res. 2018, 32, 963–967. [Google Scholar] [CrossRef]
- Moazzem Hossen, S.M.; Akramul, H.T.; Shahadat Hossain, M.; Ahmed Sami, S.; Uddin Emon, N. Deciphering the CNS anti-depressant, antioxidant and cytotoxic profiling of methanol and aqueous extracts of Trametes versicolor and molecular interactions of its phenolic compounds. Saudi J. Biol. Sci. 2021, 28, 6375–6383. [Google Scholar] [CrossRef]
- Kıvrak, I.; Kivrak, S.; Karababa, E. Assessment of Bioactive Compounds and Antioxidant Activity of Turkey Tail Medicinal Mushroom Trametes versicolor (Agaricomycetes). Int. J. Med. Mushrooms 2020, 22, 559–571. [Google Scholar] [CrossRef]
- Rašeta, M.; Popović, M.; Knežević, P.; Šibul, F.; Kaišarević, S.; Karaman, M. Bioactive Phenolic Compounds of Two Medicinal Mushroom Species Trametes versicolor and Stereum subtomentosum as Antioxidant and Antiproliferative Agents. Chem. Biodivers. 2020, 17, e2000683. [Google Scholar] [CrossRef] [PubMed]
- Bains, A.; Chawla, P.; Kaur, S.; Najda, A.; Fogarasi, M.; Fogarasi, S. Bioactives from Mushroom: Health Attributes and Food Industry Applications. Materials 2021, 14, 7640. [Google Scholar] [CrossRef] [PubMed]
- Chay, W.Y.; Tham, C.K.; Toh, H.C.; Lim, H.Y.; Tan, C.K.; Lim, C.; Wang, W.W.; Choo, S.P. Coriolus versicolor (Yunzhi) Use as Therapy in Advanced Hepatocellular Carcinoma Patients with Poor Liver Function or Who Are Unfit for Standard Therapy. J. Altern. Complement. Med. 2017, 23, 648–652. [Google Scholar] [CrossRef]
- Hsu, W.K.; Hsu, T.H.; Lin, F.Y.; Cheng, Y.K.; Yang, J.P. Separation, purification, and α-glucosidase inhibition of polysaccharides from Coriolus versicolor LH1 mycelia. Carbohydr. Polym. 2013, 92, 297–306. [Google Scholar] [CrossRef] [PubMed]
- Liu, H.; Fan, H.; Zhang, J.; Zhang, S.; Zhao, W.; Liu, T.; Wang, D. Isolation, purification, structural characteristic and antioxidative property of polysaccharides from A. cepa L. var. agrogatum Don. Food Sci. Hum. Wellness 2020, 9, 71–79. [Google Scholar] [CrossRef]
- Jeff, I.B.; Li, S.; Peng, X.; Kassim, M.R.R.; Liu, B.; Zhou, Y. Purification, structural elucidation and antitumor activity of a novel mannogalactoglucan from the fruiting bodies of Lentinus edodes. Fitoterapia 2013, 84, 338–346. [Google Scholar] [CrossRef] [PubMed]
- Deveci, E.; Çayan, F.; Tel-Çayan, G.; Duru, M.E. Structural characterization and determination of biological activities for different polysaccharides extracted from tree mushroom species. J. Food Biochem. 2019, 43, e12965. [Google Scholar] [CrossRef]
- Stojkovic, D.; Smiljkovic, M.; Ciric, A.; Glamoclija, J.; Van Griensven, L.; Ferreira, I.C.; Sokovic, M. An insight into antidiabetic properties of six medicinal and edible mushrooms: Inhibition of α-amylase and α-glucosidase linked to type-2 diabetes. S. Afr. J. Bot. 2019, 120, 100–103. [Google Scholar] [CrossRef]
- Đorđevski, N.; Abdullahi, I.U.; Zengin, G.; Božunović, J.; Gašić, U.; Ristanović, E.; Ćirić, A.; Nikolić, B.; Stojković, D. Chemical and Biological Investigations of Allium scorodoprasum L. Flower Extracts. Pharmaceuticals 2023, 16, 21. [Google Scholar] [CrossRef]
- Abdel-Hamid, H.A.; Abdalla, M.M.I.; Zenhom, N.M.; Ahmed, R.F. The effect of peptide tyrosine tyrosine (PYY3-36), a selective Y2 receptor agonist on streptozotocin-induced diabetes in albino rats. Endocr. Regul. 2019, 53, 26–33. [Google Scholar] [CrossRef] [PubMed]
- Jeremic, J.N.; Jakovljevic, V.L.; Zivkovic, V.I.; Srejovic, I.M.; Bradic, J.V.; Milosavljevic, I.M.; Mitrovic, S.L.; Jovicic, N.U.; Bolevich, S.B.; Svistunov, A.A.; et al. Garlic Derived Diallyl Trisulfide in Experimental Metabolic Syndrome: Metabolic Effects and Cardioprotective Role. Int. J. Mol. Sci. 2020, 21, 9100. [Google Scholar] [CrossRef]
- Draginic, N.D.; Jakovljevic, V.L.; Jeremic, J.N.; Srejovic, I.M.; Andjic, M.M.; Rankovic, M.R.; Sretenovic, J.Z.; Zivkovic, V.I.; Ljujic, B.T.; Mitrovic, S.L.; et al. Melissa officinalis L. Supplementation Provides Cardioprotection in a Rat Model of Experimental Autoimmune Myocarditis. Oxidative Med. Cell. Longev. 2022, 2022, 1344946. [Google Scholar] [CrossRef] [PubMed]
- Jeremic, J.N.; Jakovljevic, V.L.; Zivkovic, V.I.; Srejovic, I.M.; Bradic, J.V.; Bolevich, S.; Nikolic, T.R.; Mitrovic, S.L.; Jovicic, N.U.; Tyagi, S.C.; et al. The cardioprotective effects of diallyl trisulfide on diabetic rats with ex vivo induced ischemia/reperfusion injury. Mol. Cell. Biochem. 2019, 460, 151–164. [Google Scholar] [CrossRef] [PubMed]
- Jeremic, J.; Nikolic Turnic, T.; Zivkovic, V.; Jeremic, N.; Milosavljevic, I.; Srejovic, I.; Obrenovic, R.; Jancic, S.; Rakocevic, M.; Matic, S.; et al. Vitamin B complex mitigates cardiac dysfunction in high-methionine diet-induced hyperhomocysteinemia. Clin. Exp. Pharmacol. Physiol. 2018, 45, 683–693. [Google Scholar] [CrossRef] [PubMed]
- Jakovljevic, V.; Milic, P.; Bradic, J.; Jeremic, J.; Zivkovic, V.; Srejovic, I.; Nikolic Turnic, T.; Milosavljevic, I.; Jeremic, N.; Bolevich, S.; et al. Standardized Aronia melanocarpa Extract as Novel Supplement against Metabolic Syndrome: A Rat Model. Int. J. Mol. Sci. 2018, 20, 6. [Google Scholar] [CrossRef] [PubMed]







| Absorption (cm−1) | |
|---|---|
| Functional Groups | TVH |
| Stretching vibration of O-H group | 3273.18 |
| -CH stretching vibration | 2915.27 |
| Bound water | 1634.65 |
| -CH (O-CH2) stretching vibration | 1375.06 |
| C-O stretching vibration | 1240.63 |
| β-linked glycosyl group | 1029.09 |
| No. | Monosaccharide Standards | Rt (min) | TVH (%) |
|---|---|---|---|
| 1. | Arabinose | 14.05 | n.d. * |
| 2. | Rhamnose | 14.50 | 3.34 |
| 3. | Fucose | 14.75 | n.d. * |
| 4. | Xylose | 15.19 | 0.65 |
| 5. | Mannose | 16.13 | n.d. * |
| 6. | Galactose | 17.08 | 37.58 |
| 7. | Glucose | 17.52 | 46.01 |
| Sample | α-Amylase Inhibition; IC50 (µg/mL) |
|---|---|
| TVH | n.a. a |
| Acarbose | 87.15 ± 2.93 |
| Microorganisms | TVH | Streptomycin/Ketoconazole | |
|---|---|---|---|
| Proteus vulgaris (B44) (clinical isolate) | MIC | 8.00 | 0.003 |
| MBC | 16.00 | 0.006 | |
| S. lugdunensisis (B43) (clinical isolate) | MIC | >16.00 | 0.003 |
| MBC | >16.00 | 0.006 | |
| S. epidermidis (B45) (clinical isolate) | MIC | 8.00 | 0.10 |
| MBC | 16.00 | 0.20 | |
| C. kefyr (Y289) (clinical isolate) | MIC | 8.00 | 0.015 |
| MBC | 16.00 | 0.030 | |
| C. krusei (Y454) (clinical isolate) | MIC | 8.00 | 0.015 |
| MBC | 16.00 | 0.030 | |
| C. albicans (Y177) (clinical isolate) | MIC | 8.00 | 0.015 |
| MBC | 16.00 | 0.030 |
| Group | IVSd (cm) | LVIDd (cm) | LVPWd (cm) | IVSs (cm) | LVIDs (cm) | LVPWs (cm) | FS (%) | EF (%) |
|---|---|---|---|---|---|---|---|---|
| CTRL | 0.174 ± 0.04 | 0.758 ± 0.15 | 0.198 ± 0.03 | 0.234 ± 0.03 | 0.405 ± 0.08 | 0.200 ± 0.05 | 48.836 ± 3.58 | 82.504 ± 7.85 |
| MetS | 0.162 ± 0.03 | 0.670 ± 0.17 | 0.203 ± 0.02 | 0.219 ± 0.05 | 0.444 ± 0.12 | 0.241 ± 0.03 | 35.854 ± 8.16 a | 67.544 ± 8.97 a |
| H-TV | 0.130 ± 0.02 ab | 0.531 ± 0.12 ab | 0.162 ± 0.0 ab | 0.173 ± 0.05 ab | 0.304 ± 0.09 ab | 0.167 ± 0.05 ab | 44.790 ± 7.43 b | 79.938 ± 6.03 b |
| M-TV | 0.126 ± 0.02 ab | 0.611 ± 0.24 abc | 0.162 ± 0.04 ab | 0.163 ± 0.06 ab | 0.346 ± 0.11 ab | 0.207 ± 0.09 c | 40.241 ± 2.97 ab | 78.490 ± 4.43 b |
| L-TV | 0.141 ± 0.02 ab | 0.536 ± 0.17 abd | 0.167 ± 0.03 ab | 0.163 ± 0.05 ab | 0.371 ± 0.13 abc | 0.175 ± 0.04 abc | 31.295 ± 4.63 acd | 65.271 ± 6.70 acd |
Disclaimer/Publisher’s Note: The statements, opinions and data contained in all publications are solely those of the individual author(s) and contributor(s) and not of MDPI and/or the editor(s). MDPI and/or the editor(s) disclaim responsibility for any injury to people or property resulting from any ideas, methods, instructions or products referred to in the content. |
© 2023 by the authors. Licensee MDPI, Basel, Switzerland. This article is an open access article distributed under the terms and conditions of the Creative Commons Attribution (CC BY) license (https://creativecommons.org/licenses/by/4.0/).
Share and Cite
Nikolic, M.; Lazarevic, N.; Novakovic, J.; Jeremic, N.; Jakovljevic, V.; Zivkovic, V.; Bradic, J.; Pecarski, D.; Tel-Çayan, G.; Glamocija, J.; et al. Characterization, In Vitro Biological Activity and In Vivo Cardioprotective Properties of Trametes versicolor (L.:Fr.) Quél. Heteropolysaccharides in a Rat Model of Metabolic Syndrome. Pharmaceuticals 2023, 16, 787. https://doi.org/10.3390/ph16060787
Nikolic M, Lazarevic N, Novakovic J, Jeremic N, Jakovljevic V, Zivkovic V, Bradic J, Pecarski D, Tel-Çayan G, Glamocija J, et al. Characterization, In Vitro Biological Activity and In Vivo Cardioprotective Properties of Trametes versicolor (L.:Fr.) Quél. Heteropolysaccharides in a Rat Model of Metabolic Syndrome. Pharmaceuticals. 2023; 16(6):787. https://doi.org/10.3390/ph16060787
Chicago/Turabian StyleNikolic, Marina, Nevena Lazarevic, Jovana Novakovic, Nevena Jeremic, Vladimir Jakovljevic, Vladimir Zivkovic, Jovana Bradic, Danijela Pecarski, Gülsen Tel-Çayan, Jasmina Glamocija, and et al. 2023. "Characterization, In Vitro Biological Activity and In Vivo Cardioprotective Properties of Trametes versicolor (L.:Fr.) Quél. Heteropolysaccharides in a Rat Model of Metabolic Syndrome" Pharmaceuticals 16, no. 6: 787. https://doi.org/10.3390/ph16060787
APA StyleNikolic, M., Lazarevic, N., Novakovic, J., Jeremic, N., Jakovljevic, V., Zivkovic, V., Bradic, J., Pecarski, D., Tel-Çayan, G., Glamocija, J., Sokovic, M., Gregori, A., & Petrovic, J. (2023). Characterization, In Vitro Biological Activity and In Vivo Cardioprotective Properties of Trametes versicolor (L.:Fr.) Quél. Heteropolysaccharides in a Rat Model of Metabolic Syndrome. Pharmaceuticals, 16(6), 787. https://doi.org/10.3390/ph16060787

