Microstructure and Its Effect on the Magnetic, Magnetocaloric and Magnetostrictive Properties of Tb55Co30Fe15 Glassy Ribbons
Abstract
1. Introduction
2. Materials and Methods
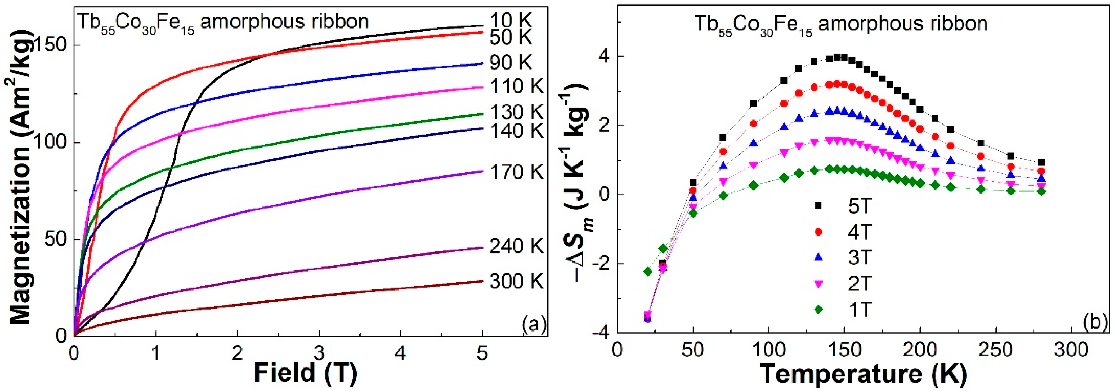
3. Results
4. Conclusions
Author Contributions
Funding
Institutional Review Board Statement
Informed Consent Statement
Data Availability Statement
Acknowledgments
Conflicts of Interest
References
- Lacheisserie, E.D.T.D. Magnetostriction: Theory and Applications of Magnetoelasticity; CRC Press: Boca Raton, FL, USA, 1993. [Google Scholar]
- Barandiarán, J.; Gutiérrez, J.; García-Arribas, A. Magneto-elasticity in amorphous ferromagnets: Basic principles and applications. Phys. Status Solidi A 2011, 208, 2258. [Google Scholar] [CrossRef]
- Abbundi, R.; Clark, A.E. Anomalous thermal expansion and magnetostriction of single crystal Tb0.27Dy0.73Fe2. IEEE Trans. Magn. 1977, 13, 1519–1520. [Google Scholar] [CrossRef]
- Jiles, D.C. The development of highly magnetostrictive rare earth-iron alloys. J. Phys. D Appl. Phys. 1994, 27, 1–11. [Google Scholar] [CrossRef]
- Wang, N.; Liu, Y.; Zhang, H.; Chen, X.; Li, Y. Effect of copper on magnetostriction and mechanical properties of TbDyFe alloys. J. Rare Earth 2019, 37, 68–73. [Google Scholar] [CrossRef]
- Speliotis, A.; Niarchos, D. Magnetostrictive properties of amorphous and crystalline TbDyFe thin films. Sens. Actuators A 2003, 106, 298–301. [Google Scholar] [CrossRef]
- Jiang, C.B.; Liu, J.H.; Gao, F.; Xu, H.B. Large linear and Volume Magnetostriction in Fe-Ga Alloys. Mater. Sci. Forum 2007, 561–565, 1117–1122. [Google Scholar] [CrossRef]
- Atulasimha, J.; Flatau, A.B. A review of magnetostrictive iron–gallium alloys. Smart Mater. Struct. 2011, 20, 043001. [Google Scholar] [CrossRef]
- Clark, A.E.; Wun-Fogle, M.; Restorff, J.B.; Lograsso, T.A. Magnetostrictive Properties of Galfenol Alloys Under Compressive Stress. Mater. Trans. 2002, 43, 881–886. [Google Scholar] [CrossRef]
- Tang, B.Z.; Guo, D.Q.; Xia, L.; Ding, D.; Chan, K.C. Magnetoelastic and magnetocaloric properties of Tb62.5Co37.5 amorphous alloy. J. Alloys Compd. 2017, 728, 747–751. [Google Scholar] [CrossRef]
- Xia, L.; Chan, K.C.; Zhao, L.; Ding, D.; Tang, B.Z. Magnetic properties and magnetostriction of a binary Dy50Co50 amorphous alloy. J. Non-Cryst. Solids 2018, 493, 29–32. [Google Scholar] [CrossRef]
- Turnbull, D. Under what conditions can a glass be formed? Contemp. Phys. 1969, 10, 473–488. [Google Scholar] [CrossRef]
- Lu, Z.; Liu, C. Glass formation criterion for various glass-forming systems. Phys. Rev. Lett. 2003, 91, 115505. [Google Scholar] [CrossRef]
- Luo, Q.; Schwarz, B.; Mattern, N.; Eckert, J. Irreversible and reversible magnetic entropy change in a Dy-based bulk metallic glass. Intermetallics 2012, 30, 76–79. [Google Scholar] [CrossRef]
- Speliotis, T.; Niarchos, D. Extraordinary magnetization of amorphous TbDyFe films. Microelectron. Eng. 2013, 112, 183–187. [Google Scholar] [CrossRef]
- Stogne, O.V.; Zolotukhin, I.V.; Rapp, O. Spin-glass ordering in amorphous Tb–Cr alloys. Phys. Solid State 1999, 41, 1126–1129. [Google Scholar] [CrossRef]
- Wang, Y.T.; Bai, H.Y.; Pan, M.X.; Zhao, D.Q.; Wang, W.H. Multiple spin-glass-like behaviors in a Pr-based bulk metallic glass. Phys. Rev. B 2006, 74, 064422. [Google Scholar] [CrossRef]
- Luo, Q.; Schwarz, B.; Mattern, N.; Eckert, J. Giant irreversible positive to large reversible negative magnetic entropy change evolution in Tb-based bulk metallic glass. Phys. Rev. B 2010, 82, 024204. [Google Scholar] [CrossRef]
- Ma, L.Y.; Tang, B.Z.; Chan, K.C.; Zhao, L.; Tang, M.B.; Ding, D.; Xia, L. Formability and magnetic properties of Dy-Co binary amorphous alloys. AIP Adv. 2018, 8, 075215. [Google Scholar] [CrossRef]
- Xia, L.; Jo, C.L.; Ding, D.; Dong, Y.D. Microstructure, lass forming ability and magnetic properties of Nd60Al20Fe20 glass forming alloys. J. Phys. D Appl. Phys. 2005, 38, 4335–4338. [Google Scholar] [CrossRef]
- Xia, L.; Fang, S.S.; Jo, C.L.; Dong, Y.D. Glass forming ability and microstructure of hard magnetic Nd60Al20Fe20 glass forming alloy. Intermetallics 2006, 14, 1098–1101. [Google Scholar] [CrossRef]
- Miedema, A.R.; Boom, R.; De Boer, F.R. On the heat of formation of solid alloys. J. Less-Common Met. 1975, 41, 283–298. [Google Scholar] [CrossRef]
- Speliotis, A.; Kalogirou, O.; Vouroutzis, N.; Niarchos, D. Magnetostrictive properties of amorphous and nanocrystalline TbDyFe films with Nb and Zr additives. J. Magn. Magn. Mater. 1998, 187, 17–22. [Google Scholar] [CrossRef]
- Speliotis, A.; Kalogirou, O.; Niarchos, D. Magnetostrictive properties of amorphous and partially crystalline TbDyFe thin films. J. Appl. Phys. 1997, 81, 5696. [Google Scholar] [CrossRef]






| Publisher’s Note: MDPI stays neutral with regard to jurisdictional claims in published maps and institutional affiliations. | 
© 2021 by the authors. Licensee MDPI, Basel, Switzerland. This article is an open access article distributed under the terms and conditions of the Creative Commons Attribution (CC BY) license (https://creativecommons.org/licenses/by/4.0/).
Share and Cite
Wang, X.; Chan, K.-C.; Zhao, L.; Ding, D.; Xia, L. Microstructure and Its Effect on the Magnetic, Magnetocaloric and Magnetostrictive Properties of Tb55Co30Fe15 Glassy Ribbons. Materials 2021, 14, 3068. https://doi.org/10.3390/ma14113068
Wang X, Chan K-C, Zhao L, Ding D, Xia L. Microstructure and Its Effect on the Magnetic, Magnetocaloric and Magnetostrictive Properties of Tb55Co30Fe15 Glassy Ribbons. Materials. 2021; 14(11):3068. https://doi.org/10.3390/ma14113068
Chicago/Turabian StyleWang, Xin, Kang-Cheung Chan, Lei Zhao, Ding Ding, and Lei Xia. 2021. "Microstructure and Its Effect on the Magnetic, Magnetocaloric and Magnetostrictive Properties of Tb55Co30Fe15 Glassy Ribbons" Materials 14, no. 11: 3068. https://doi.org/10.3390/ma14113068
APA StyleWang, X., Chan, K.-C., Zhao, L., Ding, D., & Xia, L. (2021). Microstructure and Its Effect on the Magnetic, Magnetocaloric and Magnetostrictive Properties of Tb55Co30Fe15 Glassy Ribbons. Materials, 14(11), 3068. https://doi.org/10.3390/ma14113068
 
         
                                                



