Role of Transient Characteristics in Fish Trajectory Modeling
Abstract
1. Introduction
2. Material and Methods
2.1. Experimental Setup
2.2. Experimental Fish
2.3. Fish Tracking
2.4. Numerical Model
2.4.1. Flow Equations
2.4.2. Turbulence Modeling
2.4.3. Mesh and Boundary Conditions
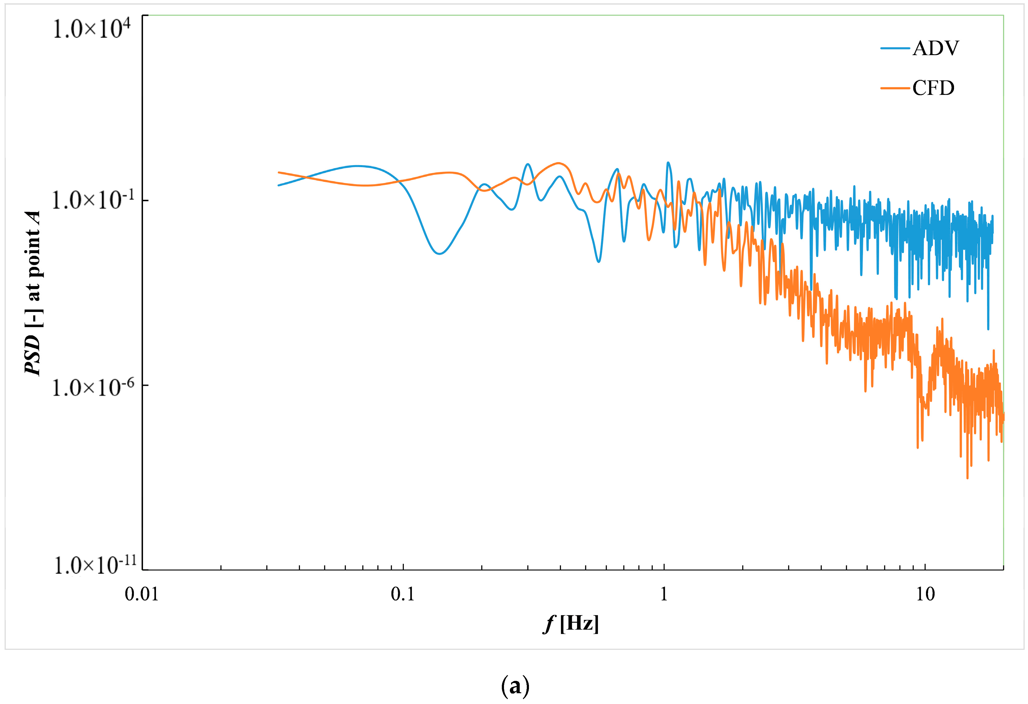
2.4.4. Validation
Velocity Contours
Point Velocity
3. Results and Discussion
3.1. Mean Flow
3.2. Velocity Barrier
3.3. Trajectory of Fish
3.4. New Requirement for Experiments
3.5. How to Use CFD Tools
4. Conclusions
Author Contributions
Funding
Acknowledgments
Conflicts of Interest
Ethics Statement
References
- Lacey, R.W.J.; Neary, V.S.; Liao, J.C.; Enders, E.C.; Tritico, H.M. The IPOS Framework: Linking Fish Swimming Performance in Altered Flows from Laboratory Experiments to Rivers. River Res. Appl. 2012, 28, 429–443. [Google Scholar] [CrossRef]
- Silva, A.T.; Santos, J.M.; Ferreira, M.T.; Pinheiro, A.N.; Katopodis, C. Effects of Water Velocity and Turbulence on the Behaviour of Iberian Barbel (Luciobarbus bocagei, Steindachner 1864) in an Experimental Pool-Type Fishway. River Res. Appl. 2011, 27, 360–373. [Google Scholar] [CrossRef]
- Goettel, M.T.; Atkinson, J.F.; Bennett, S.J. Behavior of western blacknose dace in a turbulence modified flow field. Ecol. Eng. 2015, 74, 230–240. [Google Scholar] [CrossRef]
- Tan, J.; Gao, Z.; Dai, H.; Yang, Z.; Shi, X. Effects of turbulence and velocity on the movement behaviour of bighead carp (Hypophthalmichthys nobilis) in an experimental vertical slot fishway. Ecol. Eng. 2019, 127, 363–374. [Google Scholar] [CrossRef]
- Liao, J.C.; Beal, D.N.; Lauder, G.V.; Triantafyllou, S.M. Fish Exploiting Vortices Decrease Muscle Activity. Science 2003, 302, 1566–1569. [Google Scholar] [CrossRef] [PubMed]
- Liao, J.C.; Beal, D.N.; Lauder, G.V.; Triantafyllou, S.M. The Karman gait: Novel body kinematics of rainbow trout swimming in a vortex street. J. Exp. Biol. 2003, 206, 1059–1073. [Google Scholar] [CrossRef]
- Tritico, H.M.; Cotel, A.J. The effects of turbulent eddies on the stability and critical swimming speed of creek chub (Semotilus atromaculatus). J. Exp. Boil. 2010, 213, 2284–2293. [Google Scholar] [CrossRef]
- Liao, J.C.; Akanyeti, O. Fish Swimming in a Karman Vortex Street: Kinematics, Sensory Biology and Energetics. Mar. Technol. Soc. J. 2017, 51, 48–55. [Google Scholar] [CrossRef]
- Weber, L.J.; Goodwin, R.A.; Li, S.; Nestler, J.M.; Anderson, J.J. Application of an Eulerian-Lagrangian-Agent method (ELAM) to rank alternative designs of a juvenile fish passage facility. J. Hydroinform. 2006, 8, 271–295. [Google Scholar] [CrossRef]
- Goodwin, R.A.; Nestler, J.M.; Anderson, J.J.; Weber, L.J.; Loucks, D.P. Forecasting 3-D fish movement behavior using a Eulerian-Lagrangian-agent method (ELAM). Ecol. Model. 2006, 192, 197–223. [Google Scholar] [CrossRef]
- Goodwin, R.A.; Politano, M.; Garvin, J.W.; Nestler, J.M.; Hay, D.; Anderson, J.J.; Weber, L.J.; Dimperio, E.; Smith, D.L.; Timko, M. Fish navigation of large dams emerges from their modulation of flow field experience. Proc. Natl. Acad. Sci. USA 2014, 111, 5277–5282. [Google Scholar] [CrossRef] [PubMed]
- Gao, Z.; Andersson, H.I.; Dai, H.C.; Jiang, F.J.; Zhao, L.H. A new Eulerian-Lagrangian agent method to model fish paths in a vertical slot fishway. Ecol. Eng. 2016, 88, 217–225. [Google Scholar] [CrossRef]
- Zielinski, D.P.; Voller, V.R.; Sorensen, P.W. A physiologically inspired agent-based approach to model upstream passage of invasive fish at a lock-and-dam. Ecol. Model. 2018, 382, 18–32. [Google Scholar] [CrossRef]
- Jager, H.I.; DeAngelis, D.L. The confluences of ideas leading to, and the flow of ideas emerging from, individual-based modeling of riverine fishes. Ecol. Model. 2018, 384, 341–352. [Google Scholar] [CrossRef]
- Tan, J.J.; Tao, L.; Gao, Z.; Dai, H.C.; Shi, X.T. Modeling Fish Movement Trajectories in Relation to Hydraulic Response Relationships in an Experimental Fishway. Water 2018, 10, 1511. [Google Scholar] [CrossRef]
- LaBone, E.; Justic, D.; Rose, K.; Wang, L.; Huang, H. Modeling Fish Movement in 3-D in the Gulf of Mexico Hypoxic Zone. Estuaries Coasts 2019, 42, 1662–1685. [Google Scholar] [CrossRef]
- Gilmanov, A.; Zielinski, D.; Voller, V.; Sorensen, P. The Effect of Modifying a CFD-AB Approach on Fish Passage through a Model Hydraulic Dam. Water 2019, 11, 1176. [Google Scholar] [CrossRef]
- Padgett, T.E.; Thomas, R.E.; Borman, D.J.; Mould, D.C. Individual-based model of juvenile eel movement parametrized with computational fluid dynamics-derived flow fields informs improved fish pass design. R. Soc. Open Sci. 2020, 7, 191505. [Google Scholar] [CrossRef]
- Shi, X.; Jin, Z.; Liu, Y.; Hu, X.; Tan, J.; Chen, Q.; Huang, Y.; Liu, D.; Wang, Y.; Gu, X. Can age-0 Silver Carp cross laboratory waterfalls by leaping? Limnologica 2018, 69, 67–71. [Google Scholar] [CrossRef]
- Rajaratnam, N.; Vinne, G.V.d.; Katopodis, C. Hydraulics of Vertical Slot Fishways. J. Hydraul. Eng. 1986, 112, 909–927. [Google Scholar] [CrossRef]
- Ke, S.F.; Li, Z.M.; Jiang, Z.W.; Goerig, E.; Kynard, B.; Liu, D.F.; Shi, X.T. Effect of a vertical half cylinder on swimming of silver carp, Hypophthalmichthys molitrix: Implications for microhabitat restoration and fishway design. River Res. Appl. 2019, 35, 436–441. [Google Scholar] [CrossRef]
- Quaresma, A.L.; Romao, F.; Branco, P.; Ferreira, M.T.; Pinheiro, A.N. Multi slot versus single slot pool-type fishways: A modelling approach to compare hydrodynamics. Ecol. Eng. 2018, 122, 197–206. [Google Scholar] [CrossRef]
- Fuentes-Perez, J.F.; Silva, A.T.; Tuhtan, J.A.; Garcia-Vega, A.; Carbonell-Baeza, R.; Musall, M.; Kruusmaa, M. 3D modelling of non-uniform and turbulent flow in vertical slot fishways. Environ. Model. Softw. 2018, 99, 156–169. [Google Scholar] [CrossRef]
- An, R.D.; Li, J.; Liang, R.F.; Tuo, Y.C. Three-dimensional simulation and experimental study for optimizing a vertical slot fishway. J. Hydro-Environ. Res. 2016, 12, 119–129. [Google Scholar] [CrossRef]
- Lindberg, D.E.; Leonardsson, K.; Andersson, A.G.; Lundstrom, T.S.; Lundqvist, H. Methods for locating the proper position of a planned fishway entrance near a hydropower tailrace. Limnologica 2013, 43, 339–347. [Google Scholar] [CrossRef]
- Smagorinsky, J. General circulation experiments with the primitive Equations: I. The basic experiment. Mon. Weather Rev. 1963, 91, 99–164. [Google Scholar] [CrossRef]
- Deardorff, J.W. A numerical study of three-dimensional turbulent channel flow at large Reynolds numbers. J. Fluid Mech. 1970, 41, 453–480. [Google Scholar] [CrossRef]
- Lilly, D.K. The Representation of Small Scale Turbulence in Numerical Simulation Experiments; National Center for Atmospheric Research: Boulder, CO, USA, 1966. [Google Scholar]
- Celik, I.B.; Ghia, U.; Roache, P.J.; Freitas, C.J. Procedure for estimation and reporting of uncertainty due to discretization in CFD applications. J. Fluids Eng. Trans. ASME 2008, 130, 4. [Google Scholar]
- Celik, I.; Klein, M.; Janicka, J. Assessment measures for engineering LES applications. J. Fluids Eng. Trans. ASME 2009, 131, 10. [Google Scholar] [CrossRef]
- Klein, J.; Oertel, M. Vertical Slot Fishway: Evaluation of Numerical Model Quality. In Proceedings of the 6th IAHR IJREWHS 2016, Lübeck, Germany, 30 May–1 June 2016. [Google Scholar]
- Farnsworth, K.D.; Beecham, J.A. How Do Grazers Achieve Their Distribution? A Continuum of Models from Random Diffusion to the Ideal Free Distribution Using Biased Random Walks. Am. Nat. 1999, 153, 509–526. [Google Scholar] [CrossRef]
- Smith, D.L.; Brannon, E.L.; Odeh, M. Response of Juvenile Rainbow Trout to Turbulence Produced by Prismatoidal Shapes. Trans. Am. Fish. Soc. 2005, 134, 741–753. [Google Scholar] [CrossRef]
- Rodriguez, A.; Bermudez, M.; Rabunal, J.R.; Puertas, J.; Dorado, J.; Pena, L.; Balairon, L. Optical Fish Trajectory Measurement in Fishways through Computer Vision and Artificial Neural Networks. J. Comput. Civ. Eng. 2011, 25, 291–301. [Google Scholar] [CrossRef]
- Rodriguez, A.; Bermudez, M.; Rabunal, J.R.; Puertas, J. Fish tracking in vertical slot fishways using computer vision techniques. J. Hydroinform. 2015, 17, 275–292. [Google Scholar] [CrossRef]
- Puertas, J.; Cea, L.; Bermudez, M.; Pena, L.; Rodriguez, A.; Rabunal, J.R.; Balairon, L.; Lara, A.; Aramburu, E. Computer application for the analysis and design of vertical slot fishways in accordance with the requirements of the target species. Ecol. Eng. 2012, 48, 51–60. [Google Scholar] [CrossRef]
- Roscoe, D.W.; Hinch, S.G.; Cooke, S.J.; Patterson, D.A. Fishway Passage and Post-Passage Mortality of Up-River Migrating Sockeye Salmon in the Seton River, British Columbia. River Res. Appl. 2011, 27, 693–705. [Google Scholar] [CrossRef]











| S (deg.) | Q (m3/s) | Velocity Measured in the Plane with z (cm) | ADV Sampling Time (s) | Water Depth (mm) | 
|---|---|---|---|---|
| 1 | 0.0135 | 9 | 30 | 30 | 
© 2020 by the authors. Licensee MDPI, Basel, Switzerland. This article is an open access article distributed under the terms and conditions of the Creative Commons Attribution (CC BY) license (http://creativecommons.org/licenses/by/4.0/).
Share and Cite
Zhu, G.; Zhou, Z.; Andersson, H.I. Role of Transient Characteristics in Fish Trajectory Modeling. Sustainability 2020, 12, 6765. https://doi.org/10.3390/su12176765
Zhu G, Zhou Z, Andersson HI. Role of Transient Characteristics in Fish Trajectory Modeling. Sustainability. 2020; 12(17):6765. https://doi.org/10.3390/su12176765
Chicago/Turabian StyleZhu, Gao, Zuhao Zhou, and Helge I Andersson. 2020. "Role of Transient Characteristics in Fish Trajectory Modeling" Sustainability 12, no. 17: 6765. https://doi.org/10.3390/su12176765
APA StyleZhu, G., Zhou, Z., & Andersson, H. I. (2020). Role of Transient Characteristics in Fish Trajectory Modeling. Sustainability, 12(17), 6765. https://doi.org/10.3390/su12176765
 
        

 
       