Abstract
Sulfate soils often caused foundation settlement, uneven deformation, and ground cracking. The distribution of sulfate-bearing soil is extensive, and effective stabilization of sulfate-bearing soil could potentially exert a profound influence on environmental protection. Ground granulated blast furnace slag (GGBS)–magnesia (MgO) can be an effective solution to stabilize sulfate soils. Dynamic cyclic loading can be used to simulate moving vehicles applied on subgrade soils, but studies on the dynamic mechanical properties of sulfate-bearing soil under cyclic loading are limited. In this study, GGBS-MgO was used to treat Ca-sulfate soil and Mg-sulfate soil. The swelling of the specimens was analyzed by a three-dimensional swelling test, and the change in compressive strength of the specimens after immersion was analyzed by an unconfined test. The dynamic elastic properties and energy dissipation of GGBS-MgO-stabilized sulfate soils were evaluated using a fatigue test, and the mineralogy and microstructure of the stabilized soils were investigated by X-ray diffraction and scanning electron microscopy. The results showed that the maximum swelling percentage of stabilized Ca-sulfate soil was achieved when the GGBS:MgO ratio was 6:4, resulting in an expansion rate of 14.211%. In contrast, stabilized Mg-sulfate soil exhibited maximum swelling at GGBS:MgO = 9:1, with a swelling percentage of 5.127%. As the GGBS:MgO ratio decreased, the dynamic elastic modulus of stabilized Ca-sulfate soil diminished from 2.8 MPa to 2.69 MPa, and energy dissipation reduced from 0.02 MJ/m3 to 0.019 MJ/m3. Conversely, the dynamic elastic modulus of stabilized Mg-sulfate soil escalated from 2.16 MPa to 6.12 MPa, while energy dissipation decreased from 0.023 MJ/m3 to 0.004 MJ/m3. After soaking, the dynamic elastic modulus of Ca-sulfate soil peaked (4.01 MPa) and energy dissipation was at its lowest (0.012 MJ/m3) at GGBS:MgO = 9:1. However, stabilized Mg-sulfate soil exhibited superior performance at GGBS:MgO = 6:4, with a dynamic elastic modulus of 0.74 MPa and energy dissipation of 0.05 MJ/m3. CSH increased significantly in the Ca-sulfate soil treated with GGBS-MgO. The generation of ettringite increased with the decrease in the GGBS-MgO ratio after immersion. MSH and less CSH were formed in GGBS-MgO-stabilized Mg-sulfate soil compared to Ca-sulfate soils. In summary, the results of this study provide some references for the improvement and application of sulfate soil in the field of road subgrade.
1. Introduction
Magnesium-sulfate-bearing soils are widely distributed all over the world and they can be quite destructive for residential areas as well as in road projects [,,] and road humps, and road-based erosion associated with saline soils can reduce the safety of passersby. In addition, some of the ongoing negative impacts from saline soils may affect crop growth [,,,]. Salty soils can cause problems in the construction of airport pavements and lead to some pavement failure modes that are different or more severe than those found in non-saline soils, with road subgrade, cement-stabilized aggregate base, and concrete surface layers being subjected to varying degrees of sulfate and chloride attack [].You et al. [] showed that the sulfate content has a significant effect on the mechanical strength of the soil, with frozen salty soils showing a reduction in mechanical strength first by 19.0% and then increased by 49.3% with the increase in sodium sulfate mass content with a threshold value of 1.5%. The swelling of sulfate salt soils is a result of ettringite formation, which has a high affinity for water absorption and subsequently leads to a decrease in unconfined compressive strength. Ettringite forms in an environment of high pH and reactive sulfates as small crystals that disrupt the structure of stabilized soils as a result of swelling and has a high affinity for water absorption, especially in the early stages of formation [].Wild et al. [] investigated the swelling characteristics of cured sulfate saline soils after immersion and the unconfined compressive strength and found that the type of curing agent and the proportioning had a significant effect on them. Adeleke et al. [] used Ca-sulfate soil and kaolin to equip sulfate salt soils to study the swelling and unconfined compressive strength after curing using a calcium-based curing agent CEM I (PC) at different Ca-sulfate soil contents; it was found that the swelling of cured Ca-sulfate soils with calcium-based materials is correlated with the sulfate content and the age of curing. The strength of the cured soils decreases drastically in the wet curing condition. Li et al. [] investigated the use of non-calcium-based activators (sodium silicate and NaOH) to activate ground granulated blast furnace slag (GGBS) to stabilize sulfate-containing soils. Sodium silicate–NaOH-GGBS-treated soils had less expansion than cement-treated soils and higher strength than cement-treated soils. There was no detectable chalcocite in sodium silicate–NaOH-GGBS-treated soils. Sulfate erosion of concrete structures by saline soils is an important factor threatening their durability, and cementitious materials have been used to treat saline soils containing sodium sulfate or magnesium sulfate []. Ground granulated blast furnace slag (GGBS), as a by-product of the iron and steel industry, has been used as a substitute for cement to be used as a material. Djayaprabha et al. [] investigated the strength of self-consolidating concrete by replacing cement with GGBS. They found that the GGBS could effectively improve the strength of self-consolidating concrete []. Venkatesan and Pazhan [] developed geopolymer concrete with GGBS, replacing some rice husk ash; they found that the GGBS significantly enhanced the durability of the geopolymer concrete. However, exceeding 15% GGBS in modified cement mortar did not enhance strength []. The presence of GGBS in concrete mixes significantly increases the compressive strength of the concrete but the presence of GGBS reduces the performance of the concrete under split tensile and bending stresses due to the increase in the brittleness of the material [,,]. GGBS is used as an alkali-inspired cementitious material substrate; cement and lime are usually used as common exciters to inspire GGBS curing of sulfate-bearing soils and are effective in enhancing the strength and swelling resistance of the soil. Lime promotes the hydration of GGBS and the formation of the hydration product calcium silicate hydrate (CSH) gel, which effectively improves the strength and swelling resistance of the soil [,]. Aldaood et al. [] incorporated a specified quantity of lime into gypsum soil, leading to the observation of ettringite formation which influenced soil expansion. Efforts to mitigate the expansion of lime-stabilized gypsum soil were undertaken by Khadka et al. [], who introduced fly ash into the mix. Their research revealed that the quantity of stabilizer effectively reduced the expansion of the stabilized soil, without preventing ettringite formation []. Ehwailat et al. [] endeavored to decrease ettringite formation in lime-stabilized sulfate-bearing soil by employing various materials (MgO, GGBS, and rice husk ash), confining their study to gypsum soil. Due to the introduction of calcium ions in lime, lime–GGBS also induces the formation of ettringite when curing sulfate salt soils, leading to soil swelling [,,,]. Several studies in recent years have demonstrated a substantial increase in the strength of magnesia (MgO)-activated-GGBS-cured soils [,,]. Estabragh et al. [] investigated the effect of different curing agents on the stability of clays. All the curing agents used led to an increase in the strength of the samples and the amount of increase depended on the percentage of curing agent and the curing time. The results showed that activation of GGBS with MgO and MgO:Cement was effective in increasing the strength as compared to the use of GGBS alone. GGBS-MgO is a promising curing agent for curing sulfate salt soils. Ehwailat et al. [] examined the suitability of various materials (magnesia nanoparticles(M), metakaolin (MK), and ground granulated blast furnace slag (GGBS)) for the stabilization of Ca-sulfate soils. Soil samples treated with 20% of MgO-GGBS showed lower swelling and exhibited higher strength after curing as compared to soil samples treated with lime. Seco et al. [] showed that GGBS-MgO inhibited the swelling of Ca-sulfate soils better than cement and did not form significant ettringite. Yi et al. [] found that no ettringite was detected when both Na2SO4 and MgSO4 solutions eroded GGBS-MgO-cured soils but the soils showed different engineering properties under the action of the two sulfates. The generation of a single ton of GGBS was associated with a mere 0.07 tons of CO2 emissions, a figure substantially lower than the carbon emissions of cement production. Concurrently, the judicious use of GGBS helped mitigate challenges such as land encroachment and negative environmental repercussions stemming from GGBS storage. This strategy effectively enhanced resource utilization, aligning with the sustainable imperatives of energy conservation, emission reduction, and the promotion of a green economy.
At present, although there are many studies on GGBS-MgO-binder-stabilized Ca-sulfate soil, there are fewer studies comparing the properties of two types of soils, GGBS-MgO-binder-cured Ca-sulfate soil and Mg-sulfate soil, and especially the dynamic mechanical properties of GGBS-MgO-stabilized sulfate soil are not clear. Therefore, in this study, the swelling properties and dynamic mechanical properties of GGBS-MgO-stabilized soil were tested in the laboratory. The effects of different ratios of GGBS-MgO on the swelling properties of different sulfate soils were investigated by three-dimensional free swelling tests. The effects of different ratios of GGBS-MgO on the dynamic properties of different stabilized sulfate soils under cyclic loading were investigated by using the fatigue test system. In addition, the participation mechanism of the GGBS-MgO binder in the stabilized sulfate soil system was revealed using XRD and SEM.
2. Materials and Methods
2.1. Test Materials
The kaolin clay used in this test was from a company in Guangzhou City. The optimum moisture content of 32% and the maximum dry density of 1.36 g/cm3 can be obtained according to the compaction test. The plastic limit of kaolin is 34.95%. The kaolin used in this study has a plastic limit of 34.95% and a liquid limit of 54.08%. The sulfate salt clays used in this test were classified as both Ca-sulfate soil and magnesium sulfate clays. In the geological matrix, a sulfate concentration of 20,000 ppm is indicative of a high sulfate content []. Consequently, the sulfate concentration was established at a level of 20,000 ppm.
2.2. Sample Preparation
In this study, the content and ratio of the curing agent were ascertained, drawing upon previous studies []. A GGBS-MgO blend was used to form the curing agent, and the content of the curing agent was determined as 10% of the dry soil mass, and the selected mix ratios were 9:1, 8:2, 7:3, and 6:4, while cement was used as a control. All the test blocks were prepared by determining the optimum moisture content by a percussion test. The design of the compaction test adhered stringently to the ASTM [] standards. The array of materials and soils employed in this study underwent analysis via an X-ray fluorescence spectrometer, with the findings encapsulated in Table 1.
Table 1.
Chemical composition of materials.
2.3. Test Method
The approach employed for the expansion test mirrored that of previous experiments []; a three-dimensional free expansion test was used, but only the expansion data in the vertical direction were recorded. The specimens utilized for the expansion experiments were fabricated using a mold of dimensions Φ50 mm × 100 mm. After the specimens were prepared, they were sealed and maintained for 7 days. After 7 days, the sealed plastic film was removed from the specimens and the specimens were immersed in water for the expansion test. The apparatus employed for the expansion test is illustrated in Figure 1. In this study, only the swelling rate at four days of immersion and at the end of immersion was considered.
Figure 1.
Expansion test.
To study the deformation of GGBS-MgO-cured soil, fatigue tests were conducted on each percentage of GGBS-MgO-cured soil before and after immersion. In this test, a ZSDJ-W25PL electro-hydraulic servo static and dynamic fatigue tester with a range of ±25 KN was used, and the size of the prepared specimen was Φ100 mm × 127 mm. Figure 2 shows the ZSDJ-139 W25PL electro-hydraulic servo static and dynamic fatigue tester. The test was conducted in accordance with the standardized method of determining the modulus of elasticity of the specimen as specified in AASHTO-t307 (AASHTO, 2003) [] for the dynamic mechanical property test, and the test was conducted with a 2 Hz frequency of a sine wave, simulating the dynamic loading effect under the vehicle driving condition. Combined with the results of unconfined compressive strength, the maximum dynamic stress amplitude was set at 300 kPa. Werkmeister et al. [] believed that the average strain of 20,000 cycles was the key to distinguishing the stable range. In order to more realistically restore the actual working conditions, the number of load cycles in this experiment was set to 20,000 times.
Figure 2.
Electro-hydraulic servo dynamic and static fatigue tester. (Note: 中试弹力—ZhongShi Tretch).
After the fatigue test, soil samples were gathered and subjected to vacuum drying. Subsequent mineralogical analysis of these dried specimens was conducted using an XRD, specifically manufactured by PANalytical Instruments. The diffractometer settings were a scanning angle of 10–80° (2θ) and a scanning speed of 5°/min. The specimens subjected to XRD analysis were also employed for SEM examination. Following desiccation, a gold sputter coating was applied to the specimens to mitigate the effects of surface charge interference during the scanning process. SEM analysis was performed utilizing a SU8010 high-resolution field emission scanning electron microscope. The SEM images of the specimens were obtained at magnifications of 5000 and 10,000. The apparatuses employed for the execution of the XRD and SEM tests are depicted in Figure 3.
Figure 3.
The execution of the XRD and SEM tests.
3. Results and Analysis
3.1. Vertical Expansion
Figure 4 shows the expansion of Ca-sulfate soil and Mg-sulfate soil under the action of the curing agent. The expansion rate of GGBS-MgO-cured Ca-sulfate soil increased with the decrease in the ratio, and the cured Mg-sulfate soil showed the opposite law. The expansion rate of cement-cured Ca-sulfate soil was in between different GGBS-MgO ratios, and the expansion rate was the largest in the case of Mg-sulfate soil. It was found that the inhibition of expansion was better in the case of GGBS:MgO = 9:1 cured Ca-sulfate soil, and the inhibition of expansion was better in the case of GGBS:MgO = 6:4 cured Mg-sulfate soil, and both of them were better than cement. It was found that GGBS:MgO = 9:1 cured Ca-sulfate soil had better effect in inhibiting expansion and GGBS:MgO = 6:4 cured Mg-sulfate soil had better effect in inhibiting expansion and both were better than cement.
Figure 4.
Swelling of sulfate soils under different treatment conditions: (a) Ca-sulfate soil and (b) Mg-sulfate soil.
In performing the unconfined compressive strength (UCS) test [] on cured soils, “after soaking” refers to the end of the swelling test. Ca-sulfate soil specimens decreased in strength with a decreasing GGBS-MgO ratio and had the highest strength at GGBS:MgO = 9:1. All of the Ca-sulfate soils cured with GGBS:MgO after soaking had higher strengths than the cement-cured Ca-sulfate soils. The strengths of cured Mg-sulfate soil were all much lower than those of Ca-sulfate soils. The compressive strength of Mg-sulfate soil specimens decreased and then increased with the decrease in GGBS-MgO ratio, and the strength was the highest when GGBS:MgO = 6:4. After immersion, the strength of all cured Mg-sulfate soil decreased significantly, and cement curing was more effective in curing Mg-sulfate soil.
3.2. Dynamic Cyclic Loading Test
To investigate the dynamic properties of GGBS-MgO- and cement-cured Ca-sulfate soil and Mg-sulfate soil under a dynamic cyclic loading test, combined with the analysis of swelling and unconfined compressive strength test results, the GGBS:MgO ratio of 9:1 and 6:4 and cement-cured sulfate salted soil specimens were selected. The unsoaked specimens were cured for 7 days at room temperature and according to ASTM D1883, (1999) [] which prescribes the specification for the bearing ratio (CBR) test; soaking is defined as a dynamic load test by immersing the specimen in water for 4 days and nights after curing it for 7 days at room temperature conditions.
3.2.1. Accumulated Permanent Strain
Accumulated permanent strain is the irreversible plastic deformation that occurs over time when a soil is subjected to cyclic loading or repetitive stresses. This deformation is caused by changes in the internal microstructure of the material and the accumulation of damage.
Figure 5a–c show the path curves of accumulated permanent strain of Ca-sulfate soil treated with different proportions of curing agents. The accumulated permanent strain of the specimens tends to increase linearly for the first 100 times of loading, after which the specimens grow slowly both before and after immersion. The large increase in accumulated permanent strain under pre-cyclic loading is due to the accumulation of fatigue damage in the material under repeated stresses. This fatigue damage leads to a reduction in the stiffness and strength of the material, which results in a large deformation of the structure under long-term cyclic loading. As can be seen in Figure 5, the permanent strains of the immersed specimens are smaller than those of the unimmersed specimens. The difference in accumulated permanent strain before and after immersion of cement-cured soil is large: the accumulated permanent strain of the unimmersed specimen reached 1.95%, while that of the immersed was only 0.39%. The accumulated permanent strain deformation of the specimen after immersion of GGBS:MgO = 9:1 was greatly reduced compared to the unimmersed accumulated permanent strain. The accumulated permanent strain of the unimmersed specimen was maintained at a high level by the GGBS:MgO = 6:4 immersed specimen, while the accumulated permanent strain of the immersed specimen did not have any significant change. Before immersion, GGBS:MgO = 9:1 cured Ca-sulfate soil had the lowest permanent strain (1.73%), while after immersion GGBS:MgO = 9:1 cured Ca-sulfate soil had the lowest permanent strain of 0.39%, and GGBS:MgO = 9:1 cured Ca-sulfate soil had the highest strength after being cured to the age of interest, and immersion for four days and nights had the least effect on GGBS:MgO = 9:1 cured Ca-sulfate soil. GGBS:MgO = 9:1 cured Ca-sulfate soil had the best effect after soaking.
Figure 5.
Accumulated permanent strain of Ca-sulfate soil under different treatment conditions: (a) GGBS:MgO = 9:1, (b) GGBS:MgO = 6:4, and (c) cement.
Figure 6a–c show the path curves of accumulated permanent strain of Mg-sulfate soil under different proportions of curing agent treatments. The unsoaked specimen of GGBS:MgO = 9:1 cured soil maintains a high accumulated permanent strain. After soaking, the specimen undergoes a significant expansion due to the decrease in bearing capacity and stability, which leads to the continuous and rapid growth of the specimen strain, and when the number of cycles reaches 234, the specimen strain is 31.16% and it is destroyed, because of its poor resistance to swelling, after four days and nights of immersion which produced a large expansion, resulting in the specimen loss. For GGBS:MgO = 6:4 cured soil in the initial cycling stage, the strain of the unsoaked specimen is greater than that of the immersed specimen, and this grows slowly: the final permanent strain of the unsoaked specimen was 1.35%, while after immersion it reached 1.93%. The permanent strain of cement-cured Mg-sulfate soil after immersion was still less than that before immersion, which was only 0.33%. Cement cured Mg-sulfate soil was the most effective.
Figure 6.
Accumulated permanent strain of Mg-sulfate soil under different treatment conditions: (a) GGBS:MgO = 9:1, (b) GGBS:MgO = 6:4, and (c) cement.
3.2.2. Permanent Strain Rate
The superposition of permanent deformation in different phases is difficult to determine, and the permanent strain rate provides a more accurate assessment of the permanent deformation of the soil under dynamic loading conditions []. The road loading test can be divided into two sub-stages—where in the first sub-stage the specimen accumulates a large amount of permanent deformation, and in the second sub-stage the specimen accumulates a much lower strain rate and is not affected by the previous stage—that can represent the permanent strain rate of each stage []. The 20,000 cycles were divided into four stages (i.e., 0 to 5000, 5000 to 10,000, 10,000 to 15,000, and 15,000 to 20,000 cycles), and the last three stages were taken to study the axial permanent strain rate of the cure soil.
Psce is the in-stage permanent strain rate, P10000 is the permanent strain at the 10,000th cycle, and P5000 is the permanent strain at the 5000th cycle.
Figure 7a shows the permanent strain rate of cured Ca-sulfate soil. Before immersion, the permanent strain rate of GGBS:MgO = 9:1 cured soil was relatively stable in the first stage, and accelerated significantly in the late cyclic stage. After immersion, it had a greater impact on the third stage, the permanent strain rate accelerated, and then the rate of growth slowed down. The characteristics of the permanent strain rate of the cured soil before and after immersion were basically the same before and after immersion of GGBS:MgO = 6:4 cured soil, and the permanent strain rate gradually accelerated in the later stage of cyclic load in the un-soaked specimen as compared to the immersed specimen. The permanent strain rate gradually accelerated at the later stage of cyclic loading. The difference in permanent strain rate before and after immersion of cement-cured soil was obvious, and the permanent strain rate decreased significantly after immersion compared with that before immersion. Figure 7b shows the permanent strain rate of cured Mg-sulfate soil. Before immersion, the permanent strain rate of GGBS:MgO = 9:1 cured soil gradually accelerated with the increase in cycling stages. After immersion, the expansion of the cured soil led to the loosening of the soil body, which failed to complete the 20,000 power cycles, and therefore the permanent strain rate could not be defined. The permanent strain rate of the unsoaked specimen of the GGBS:MgO = 6:4 cured soil slightly decreased and then accelerated. The permanent strain rate of the cured soil increased after immersion compared with that of the pre-immersion stage, but with the increase in permanent strain rate of the pre-soaked specimen. After immersion, the permanent strain rate increased compared with that before immersion, but gradually decreased with the increase in the number of cycles. The permanent strain rate of cement-cured soil before and after immersion was relatively small and remained almost unchanged after immersion.
Figure 7.
Permanent strain rates of sulfate soils under different treatment conditions: (a) Ca-sulfate soil, (b) Mg-sulfate soil.
3.3. Dynamic Stress–Strain Hysteresis Curves
3.3.1. Strain Hysteresis Curve
Due to the high number of cycles, four sets of hysteresis curve data were taken for each specimen and processed every 5000 cycles. Therefore, the dynamic stress–strain hysteresis curves were plotted by stage for analysis.
Figure 8a–c show the hysteresis curves of treated Ca-sulfate soil under different cycle times, and the dynamic strains are all increasing with the increase in cycle time. The strain change of GGBS:MgO = 9:1 cured soil is more stable, and the distance between the hysteresis curves is small, and the area of hysteresis curves is very little changed with the increase in cycle times. The strain of the unimmersed specimen is larger than that of immersed treated specimen in the case of stresses similar to the case. The GGBS:MgO = 6:4 treated specimens showed greater change in strain with an increase in the number of cycles; the distance between the hysteresis curves was greater; greater strain appeared than that of GGBS:MgO = 9:1; and the area of hysteresis curves was greater under cyclic loading for the GGBS:MgO = 6:4 immersed specimens. The cement-treated specimens without immersion showed greater strain than after immersion treatment; the hysteresis curves after immersion were constantly inclined to the longitudinal axis and the slope increased with the increase in the number of cycles, which indicated that the immersed specimens had a higher strength and were less prone to deformation.

Figure 8.
Dynamic stress–strain hysteresis curve of Ca-sulfate soil: (a) GGBS:MgO = 9:1, (b) GGBS:MgO = 6:4, (c) Cement.
Figure 9a–c show the hysteresis curves of treated Mg-sulfate soil under different numbers of cycles. The change of GGBS:MgO = 9:1 cured soil is more stable in the early stage with the increase in cycle number; the strain under cyclic loading increases gradually, and the distance between the hysteresis curves is larger in the later stage. The dynamic strain of the GGBS:MgO = 6:4 treated specimen without immersion is smaller than that with immersion treatment, and the hysteresis curves of the immersed treated specimen change more steadily but with a larger area and a smaller slope. The hysteresis curve has a larger area and a smaller slope. The hysteresis curve of the unsoaked specimen and the soaked specimen are farther away from each other, and the dynamic strain of the unsoaked specimen increases with the increase in the cycle times, while the soaked specimen basically remains unchanged, which indicates that the structure of the soaked specimen is more stable, and it is not easy for compression deformation to occur.

Figure 9.
Dynamic stress–strain hysteresis curves of Mg-sulfate soil: (a) GGBS:MgO = 9:1, (b) GGBS:MgO = 6:4, and (c) cement.
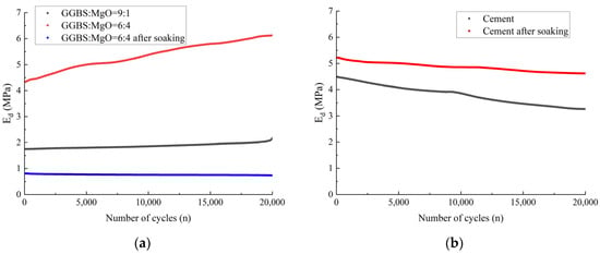
3.3.2. Dynamic Elastic Modulus
The dynamic elastic modulus during cyclic loading–unloading is also considered a damage-related parameter of the soil []. Figure 10a–c show the resilience modulus curves of cured Ca-sulfate soil under a different number of cycles, and the resilience modulus of GGBS-MgO-cured soil all had a decreasing phenomenon with the increase in the number of cycles. The dynamic elasticity modulus of the unsoaked specimen of GGBS:MgO = 9:1 initially reached 3.27 MPa under repeated pressures, and then decreased with the increase in the number of cyclic loading, and then tended to be stable until the end of the test at 20,000 cycles. The dynamic elasticity modulus of the soaked specimen was larger than that of the unsoaked one, and initially it was greater than that of the unsoaked specimen. The dynamic elastic modulus of the soaked specimen was larger than that of the unsoaked specimen, reaching 5.89 MPa initially, and then gradually decreasing under repetitive pressure until the dynamic elastic modulus stabilized at 4 MPa after 17,000 cycles, and remained stable until the end of the test. The dynamic elastic modulus of the unsoaked specimen with GGBS:MgO = 6:4 decreased slowly in the early stage under cyclic loading, and then stabilized at 4 MPa after cyclic loading. The modulus of elasticity decreased slowly under cyclic loading, and then stabilized at about 2.7 MPa until the end of the test. The modulus of elasticity of the specimen after immersion decreases due to the expansion of the specimen, and the modulus of elasticity of the specimen is smaller than that of the specimen when it is not immersed; the modulus of elasticity of the specimen steeply decreased to 1 MPa in the early stage of the cycle, and then the modulus of rebound decreased slowly with the increase in the cycle number and stabilized at 0.9 MPa. After soaking, the dynamic elastic modulus of hydraulic soil stabilized at 4~5 MPa and increased to 5.5 MPa at the late stage of cycling.
Figure 10.
Dynamic elastic modulus curves of Ca-sulfate soil under different treatment conditions: (a) GGBS:MgO = 9:1, (b) GGBS:MgO = 6:4, (c) cement.
Figure 11a,b show the kinetic–elastic modulus curves of cured Mg-sulfate soil under different cycle times. For fhe GGBS:MgO = 9:1 unsoaked specimen, the kinetic–elastic modulus increased continuously with the increase of the cycle times under repeated loading and reached 2.1 MPa at the end of the cycle. After the soaking, the specimen load bearing capacity weakened significantly due to the influence of expansion, and the cycling was stopped at the 234 time of the specimen damage test. For the GGBS:MgO = 6:4 unsoaked specimens, the dynamic elastic modulus continued to increase to 6.5 MPa under loading. After soaking, the dynamic elastic modulus overall remained stable but slightly decreased; the GGBS:MgO = 6:4 unsoaked specimens’ dynamic elastic modulus was significantly higher than that after soaking, and the unsoaked specimens showed a better bearing capacity. The dynamic elastic modulus of cement-cured Mg-sulfate soil before and after soaking decreased gradually with the increase in the number of cycles, but the dynamic elastic modulus of the specimen after soaking was larger, indicating that the soaking treatment improved the dynamic elastic properties of cement-cured Mg-sulfate soil. The unsoaked specimen slowly decreased to 3.26 MPa under repeated loading. The dynamic elastic modulus of the cured soil after soaking ended the cycle at 4.6 MPa.
Figure 11.
Dynamic elastic modulus curves of Mg-sulfate soil under different treatment conditions: (a) GGBS:MgO = 9:1, 6:4 and (b) cement.
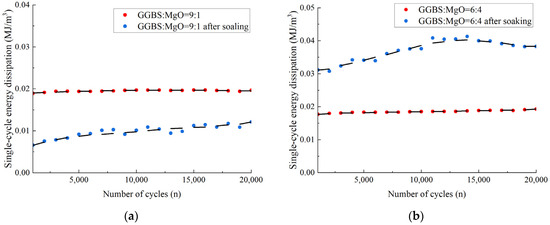
3.3.3. Single-Cycle Energy Dissipation under Fatigue Loading
The single-cycle energy dissipation of stabilized Ca-sulfate soil and Mg-sulfate soil was calculated based on the previous studies [,,]. Figure 12a–c show the single-cycle energy dissipation curves of cured Ca-sulfate soil. The single-cycle energy dissipation of GGBS:MgO cured Ca-sulfate soil in each ratio increases gradually with the increasing number of cycles. With the increase in the number of cycles, the internal damage of the specimen accumulates, and the energy dissipation tends to stabilize when the number of cycles reaches a certain value. The energy dissipation of the GGBS:MgO = 9:1 and cement treated specimens after soaking is smaller compared to that of the unsoaked ones, which indicates a better overall stability. The energy dissipation of the GGBS:MgO = 6:4 treated specimens in a single cycle reaches 0.019 MJ/m3, and the specimen energy dissipation after immersion reaches 0.04 MJ/m3. GGBS:MgO = 6:4 treated specimens have larger energy dissipation after immersion, large expansion after immersion, and larger cumulative permanent deformation, indicating poorer fatigue resistance. The single-cycle energy dissipation of the cement-treated specimens is small, but it starts to decrease after increasing to the maximum value under cyclic loading. The large swelling after immersion in water may accumulate damage inside the specimen to a certain extent, causing the specimen to destabilize. The fatigue resistance of Ca-sulfate soil is better when treated with GGBS:MgO = 9:1.

Figure 12.
Single-cycle energy dissipation of Ca-sulfate soil under different treatment conditions: (a) GGBS:MgO = 9:1, (b) GGBS:MgO = 6:4, and (c) cement.
Figure 13a,b shows the single-cycle energy dissipation curves of cured Mg-sulfate soil. The single-cycle energy dissipation of GGBS:MgO = 9:1 and 6:4 treated specimens remained generally stable with the increase in the number of cycles. The energy dissipation of the GGBS:MgO = 6:4 unsoaked specimens under cycling remained around 0.005 MJ/m3 and increased significantly after soaking to around 0.05 MJ/m3, indicating that the soaked specimens showed poor dynamic performance. The energy dissipation of the GGBS:MgO = 9:1 treated specimens without soaking remained around 0.02 MJ/m3, which was less stable than that of the GGBS:MgO = 6:4 treated specimens. The single-cycle energy dissipation was less in cement-treated specimens and more in unsoaked as compared to soaked specimens, indicating that the stability of the cement-treated specimens became better after soaking. Cement-treated specimens compared to GGBS:MgO-treated Mg-sulfate soil has less single-cycle energy dissipation and better fatigue resistance.
Figure 13.
Single-cycle energy dissipation of Mg-sulfate soil under different treatment conditions: (a) GGBS:MgO = 9:1, 6:4, (b) Cement.
3.4. XRD and SEM
X-ray diffraction (XRD) tests were carried out on the soil samples before and after immersion to analyze the physical phases of the hydration products. The XRD results of GGBS:MgO = 9:1, 6:4 and cement-cured Ca-sulfate soil before and after immersion are shown in Figure 14. The MgO excitation of the hydration of the GGBS produces hydrated calcium silicate (CSH), which was detected in all cured specimens. The CSH occupies the voids and improves the soil particle-to-particle bonding, which plays an important role in the strength of the specimens [,,]. The main hydration product of GGBS:MgO = 9:1 cured Ca-sulfate soil before immersion was CSH and magnesium silicate hydrate (MSH) was also detected in GGBS:MgO = 6:4 cured soil; with Mg involved in the generation of MSH, the calcium in CSH was replaced by magnesium to form magnesium silicate hydrate (MSH), which is less well bonded than CSH, resulting in poorer resistance to swelling and immersion [,]. As a control, the presence of CSH, a hydration product, was not determined in cement-cured soils where the peaks of ettringite overlap with the CSH peaks. After immersion, in GGBS:MgO = 9:1 and cement-cured-Ca-sulfate soils, the peak of ettringite may overlap with the CSH peak at 23°, and the detection cannot be determined. Ettringite was stabilized in GGBS:MgO = 6:4 cured soil and swelling of the specimen occurred. The diffraction peaks of C-S-H decreased in intensity at 29.4° and the amount of C-S-H decreased, indicating that leaching caused a decrease in the strength of the soil. The peak of calcite (CaCO3) overlapped with the CSH peak, so its quantity could not be determined.
Figure 14.
XRD patterns of kaolin and Ca-sulfate soils under different treatment conditions.
Figure 15 shows the XRD results of GGBS:MgO = 9:1 and 6:4 and cement-cured magnesium sulfate clays before and after immersion. The main hydration products of GGBS:MgO = 9:1 and 6:4 cured Mg-sulfate soil before immersion were CSH and MSH, and ettringite was detected in the cement-treated specimens, as well as CSH. The lower CSH diffraction peaks appeared in GGBS-MgO and cement-cured Mg-sulfate soil, which indicated that lesser amount of CSH was generated. Less CSH and MSH formation resulted in lower strength of cured Mg-sulfate soil than cured Ca-sulfate soil. Hydration products CSH and MSH were detected in GGBS:MgO = 6:4 cured Mg-sulfate soil before immersion. After immersion, ettringite was clearly observed in the cured Ca-sulfate soil, whereas there was no ettringite formation in the cured Mg-sulfate soil, which led to the assumption that the swelling of the Mg-sulfate soil after immersion was due to the absorption of water by the soil particles. It is inferred that the swelling of Mg-sulfate soil after immersion is caused by water absorption of soil particles. In cement-cured Mg-sulfate soil, ettringite is stable.
Figure 15.
XRD patterns of kaolin and Mg-sulfate soils under different treatment conditions.
Scanning electron microscopy (SEM) was used to study the microstructure of different cured different sulfate salt soils before and after immersion and the effect of the curing reaction on the pore structure. The XRD results of GGBS:MgO = 9:1 and 6:4 and cement-cured Ca-sulfate soils and Mg-sulfate soil after immersion are shown in Figure 16. For GGBS:MgO = 9:1 cured Ca-sulfate soil, a large amount of flocculent and reticulated gel material CSH attached to the surface of the soil particles before immersion, forming a spatial reticulation structure to fill the pores, which effectively enhanced the strength of the soil. After immersion, a small amount of needles of ettringite embedded in the soil was clearly observed in the image, which led to an increase in the densification of the soil; the formation of ettringite could also improve the strength of the soil []. The results of GGBS:MgO = 6:4 cured soil showed CSH and MSH generated with the cementation effect before immersion, and after immersion a large amount of stacked radiolucent ettringite was generated, resulting in swelling and loosening of the soil, which resulted in a significant reduction in soil strength. The hydration products of cement-cured soil before immersion were CSH and ettringite, and a small amount of ettringite was generated to fill the pores effectively. After immersion, a larger amount of ettringite was generated, causing the soil to swell.
Figure 16.
SEM photos of treated soils after soaking: Ca-sulfate soil treated by (a) GGBS:MgO = 9:1, (b) GGBS:MgO = 6:4, and (c) cement; Mg-sulfate soil treated by (d) GGBS:MgO = 9:1; (e) GGBS:MgO = 6:4, and (f) cement.
For the microscopic morphology of cured Mg-sulfate soil before and after immersion, it was found that before immersion, GGBS:MgO = 9:1 and 6:4 cured soil gel agglomerates were stacked. After immersion, the internal structure of the soil body was bulging, and the hydration products were misdistributed among the soil particles, which led to a significant decrease in the compactness of the soil body. Before immersion of cement-cured soil, CSH and ettringite connect with each other, and the internal connection of the soil body is tight, which improves the strength of the soil body. After immersion, a large amount of ettringite is generated, which makes the soil body swell significantly and the internal structure is damaged.
4. Discussion
The results indicated that GGBS-MgO significantly enhanced the dynamic performance of stabilized sulfate-bearing soil. An appropriate ratio of GGBS-MgO was found to mitigate the expansiveness of sulfate-bearing soil, consistent with previous studies [,]. By exploring the permanent strain resistance effects of two types of sulfate-bearing soils, it was found that the ability of stabilized Ca-sulfate soil to resist permanent strain was better than that of stabilized Mg-sulfate soil. Before soaking, the minimum permanent strain (1.73%) was observed in Ca-sulfate soil stabilized with a GGBS:MgO ratio of 9:1. This permanent strain remained the smallest (0.39%) even after soaking. As per the research conducted by Saranya et al. [] on the robustness of GGBS geopolymer concrete, it was found that this type of concrete exhibited a superior resistance to deformation when compared to traditional cement concrete. This was further supported by the work of You et al. [], who reported favorable deformation resistance in GGBS concrete during their study on the impact of carbonation on the fatigue performance of GGBS concrete. In terms of dynamic modulus of elasticity, Reddy et al. [] prepared concrete by replacing cement with GGBS and assessed its fatigue strength and found that the fatigue strength of concrete replaced with GGBS increased by 18%. Similar results were obtained in this study. For Mg-sulfate soil, the dynamic modulus of elasticity for the soil stabilized with a GGBS:MgO ratio of 6:4 reached 6.5 MPa after cyclic loading, significantly surpassing that of cement-stabilized soil (3.26 MPa). For Ca-sulfate soil stabilized with a GGBS:MgO ratio of 9:1, the dynamic modulus of elasticity post cyclic loading was slightly higher (2.8 MPa) than that of cement-stabilized soil.
The formation of CSH was identified as the primary contributor to the strength of soil stabilized with GGBS, in line with previous research [,,,]. However, the hydration product MSH was detected in both Ca-sulfate soil and Mg-sulfate soil stabilized with GGBS-MgO. The formation of MSH was found to reduce the cementing ability of the soil [,,]. The XRD and SEM results showed that GGBS-MgO-stabilized sulfate-bearing soil inhibited the formation of ettringite, which is similar to previous results []. GGBS-MgO could effectively replace cement as a sustainable binder [,]. Notably, common calcium-based binders, such as cement and lime, generate substantial amounts of CO2 during production [,]. GGBS, as a waste formed during the production process, has a much lower cost than cement, meeting environmental and sustainable economic requirements.
5. Conclusions
The swelling and dynamic mechanical properties of two sulfate-bearing soils stabilized by a GGBS-MgO binder were studied. The main conclusions are as follows.
Optimizing the ratios of ground granulated blast furnace slag (GGBS) to magnesia (MgO) can significantly influence the swelling and strength characteristics of sulfate-bearing soils. For Ca-sulfate soil, a GGBS:MgO ratio of 9:1 minimizes expansion post-immersion, while for Mg-sulfate soil, a 6:4 ratio was optimal. The swelling behavior of these soils varied with the GGBS:MgO ratio, and ultimately the Mg-sulfate soil swelled more when cured with cement. Additionally, the strength of GGBS-MgO-treated Mg-sulfate soil is notably lower than that of Ca-sulfate soil.
Permanent strain analysis before and after immersion showed that Ca-sulfate soil and Mg-sulfate soils treated with GGBS-MgO behaved very differently. The former showed a decrease in permanent strain after four days of immersion while the latter showed an increase in permanent strain after four days of immersion. On the contrary, the permanent strain of both soils decreased after curing with cement: the permanent strain rate of magnesium sulfate soil was close to zero after immersion, while the permanent strain rate of immersed specimens of both sulfate-bearing soils cured with GGBS-MgO was less than that of unimmersed specimens.
The post-immersion properties of sulfate soils treated with ground granulated blast-furnace slag (GGBS) and magnesia (MgO) exhibit distinct trends. For GGBS-MgO cured soils at 6:4, the resilient modulus decreases, whereas for cement-cured soils, it increases. Notably, GGBS-MgO at a 9:1 ratio enhances the resilient modulus of Ca-sulfate soils after immersion. This ratio also resulted in higher stiffness and improved deformation resistance for Ca-sulfate soil, contrasting with the opposite trend observed in energy dissipation.
The presence of calcium silicate hydrate (CSH) in GGBS-MgO-cured Ca-sulfate soil was observed, with a minor formation of ettringite post-immersion at a 9:1 GGBS:MgO ratio. Conversely, a 6:4 ratio led to significant ettringite formation, causing soil swelling and strength reduction. Mg-sulfate soil treated with GGBS-MgO formed magnesium silicate hydrate (MSH) and lesser CSH, resulting in lower strength compared to Ca-sulfate soil. The absence of ettringite formation in Mg-sulfate soil suggested that post-immersion swelling was due to water absorption by soil particles. In cement-cured soils, ettringite was the primary cause of swelling.
Author Contributions
Data curation, W.L. and K.Y.; formal analysis, Y.C. and Y.H.; investigation, K.H. and X.L.; resources, K.H.; software, Y.H., L.L. and X.L.; supervision, W.L., Y.C. and L.L.; validation, K.Y.; writing—original draft, K.H.; writing—review and editing, W.L. All authors have read and agreed to the published version of the manuscript.
Funding
This research was funded by Open Project Funding of Key Laboratory of Intelligent Health Perception and Ecological Restoration of Rivers and Lakes, Ministry of Education, Hubei University of Technology (HGKFZP008), the Joint Funds of the Natural Science Foundation of Hubei Province (2022CFD130), the Key Research and Development Program of Hubei Province (No. 2021BGD015), and the Key Research and Development Program of Hubei Province (2023BCB116).
Data Availability Statement
Data is contained within the article.
Conflicts of Interest
Author Xing Li was employed by the company China Construction Ready Mixed Concrete Co., Ltd. The remaining authors declare that the research was conducted in the absence of any commercial or financial relationships that could be construed as a potential conflict of interest.
References
- Yoshida, N. Sulfate attack on residential concrete foundations in Japan. J. Sustain. Cem.-Based Mater. 2019, 8, 327–336. [Google Scholar] [CrossRef]
- Kampala, A.; Jitsangiam, P.; Pimraksa, K.; Chindaprasirt, P. An investigation of sulfate effects on compaction characteristics and strength development of cement-treated sulfate bearing clay subgrade. Road Mater. Pavement Des. 2021, 22, 2396–2409. [Google Scholar] [CrossRef]
- Wan, X.; You, Z.; Wen, H.; Crossley, W. An experimental study of salt expansion in sodium saline soils under transient conditions. J. Arid Land 2017, 9, 865–878. [Google Scholar] [CrossRef]
- Vo, T.B.T.; Wassmann, R.; Tirol-Padre, A.; Cao, V.P.; MacDonald, B.; Espaldon, M.V.O.; Sander, B.O. Methane emission from rice cultivation in different agro-ecological zones of the Mekong river delta: Seasonal patterns and emission factors for baseline water management. Soil Sci. Plant Nutr. 2018, 64, 47–58. [Google Scholar] [CrossRef]
- Hussain, Z.; Khattak, R.; Irshad, M.; Eneji, A. Ameliorative effect of potassium sulphate on the growth and chemical composition of wheat (Triticum aestivum L.) in salt-affected soils. J. Soil Sci. Plant Nutr. 2013, 13, 401–415. [Google Scholar] [CrossRef]
- Basit, A.; Hussain, S.; Abid, M.; Zafar-ul-Hye, M.; Ahmed, N. Zinc and potassium priming of maize (Zea mays L.) seeds for salt-affected soils. J. Plant Nutr. 2020, 44, 130–141. [Google Scholar] [CrossRef]
- Li, W.; Wang, Z.; Zhang, J.; Liu, N. Variations of soil salinity and cotton growth under six-years mulched drip irrigation. Agronomy 2021, 11, 1127. [Google Scholar] [CrossRef]
- Zhang, J.; Weng, X.; Qu, B.; Liu, J.; Yang, B.; Li, Y. Failure modes and mechanisms of pavements in saline foundations. Proc. Inst. Civ. Eng. Transp. 2018, 171, 174–182. [Google Scholar] [CrossRef]
- You, Z.; Lai, Y.; Zhang, M.; Liu, E. Quantitative analysis for the effect of microstructure on the mechanical strength of frozen silty clay with different contents of sodium sulfate. Environ. Earth Sci. 2017, 76, 143. [Google Scholar] [CrossRef]
- Abdi, M.R.; Askarian, A.; Safdari Seh Gonbad, M. Effects of sodium and calcium sulphates on volume stability and strength of lime-stabilized kaolinite. Bull. Eng. Geol. Environ. 2020, 79, 941–957. [Google Scholar] [CrossRef]
- Wild, S.; Kinuthia, J.; Robinson, R.; Humphreys, I. Effects of ground granulated blast furnace slag (GGBS) on the strength and swelling properties of lime-stabilized kaolinite in the presence of sulphates. Clay Miner. 1996, 31, 423–433. [Google Scholar] [CrossRef]
- Adeleke, B.; Kinuthia, J.; Oti, J. Strength and Swell Performance of High-Sulphate Kaolinite Clay Soil. Sustainability 2020, 12, 10164. [Google Scholar] [CrossRef]
- Li, W.; Wang, J.; Chen, Y.; Li, R.; Xiao, H. Treating sulfate-bearing soil by using sodium silicate and NaOH-activated ground granulated blast-furnace slag. Acta Geotech. 2023, 1–10. [Google Scholar] [CrossRef]
- Wang, D.; Zhang, Y.; Li, Z.; Shi, J.; Liu, Z.; Wu, M.; Liu, C.; Chen, Y.; Liu, G.; Yang, Y. Degradation of mortar fully buried in saline soil containing sodium sulfate or magnesium sulfate. Constr. Build. Mater. 2023, 369, 130620. [Google Scholar] [CrossRef]
- Djayaprabha, H.S.; Chang, T.-P.; Shih, J.-Y.; Nguyen, H.-A. Mechanical Properties of Eco-Friendly Self-consolidating Concrete Containing Ground Granulated Blast Furnace Slag and Calcined Dolomite. In Proceedings of the International Conference on Sustainable Civil Engineering Structures and Construction Materials; Springer Nature: Singapore, 2020; pp. 285–296. [Google Scholar]
- Venkatesan, R.P.; Pazhani, K. Strength and durability properties of geopolymer concrete made with ground granulated blast furnace slag and black rice husk ash. KSCE J. Civ. Eng. 2016, 20, 2384–2391. [Google Scholar] [CrossRef]
- Muthalvan, R.S.; Selvaraj, L.; Avudaiappan, S.; Liseitsev, Y. Performance evaluation of super absorbent polymer modified cement mortar with nano-silica/GGBS. Case Stud. Constr. Mater. 2023, 19, e02359. [Google Scholar] [CrossRef]
- Wild, S.; Kinuthia, J.; Jones, G.; Higgins, D. Suppression of swelling associated with ettringite formation in lime stabilized sulphate bearing clay soils by partial substitution of lime with ground granulated blastfurnace slag (GGBS). Eng. Geol. 1999, 51, 257–277. [Google Scholar] [CrossRef]
- Celik, E.; Nalbantoglu, Z. Effects of ground granulated blastfurnace slag (GGBS) on the swelling properties of lime-stabilized sulfate-bearing soils. Eng. Geol. 2013, 163, 20–25. [Google Scholar] [CrossRef]
- Aldaood, A.; Bouasker, M.; Al-Mukhtar, M. Impact of wetting–drying cycles on the microstructure and mechanical properties of lime-stabilized gypseous soils. Eng. Geol. 2014, 174, 11–21. [Google Scholar] [CrossRef]
- Khadka, S.D.; Jayawickrama, P.W.; Senadheera, S.; Segvic, B. Stabilization of highly expansive soils containing sulfate using metakaolin and fly ash based geopolymer modified with lime and gypsum. Transp. Geotech. 2020, 23, 100327. [Google Scholar] [CrossRef]
- Ehwailat, K.I.A.; Ismail, M.A.M.; Ezreig, A.M.A. Novel approach for suppression of ettringite formation in sulfate-bearing soil using blends of nano-magnesium oxide, ground granulated blast-furnace slag and rice husk ash. Appl. Sci. 2021, 11, 6618. [Google Scholar] [CrossRef]
- Sindhu, A.; Minukrishna, P.; Abraham, B. Experimental study on the impact of type of sulphate in lime stabilised clays. In Proceedings of the International Web Conference in Civil Engineering for a Sustainable Planet, Virtual, 5–6 March 2021; pp. 109–118. [Google Scholar] [CrossRef]
- Estabragh, A.; Jahani, A.; Javadi, A.; Babalar, M. Assessment of different agents for stabilisation of a clay soil. Int. J. Pavement Eng. 2022, 23, 160–170. [Google Scholar] [CrossRef]
- Yi, Y.; Zheng, X.; Liu, S.; Al-Tabbaa, A. Comparison of reactive magnesia-and carbide slag-activated ground granulated blastfurnace slag and Portland cement for stabilisation of a natural soil. Appl. Clay Sci. 2015, 111, 21–26. [Google Scholar] [CrossRef]
- Pu, H.; Mastoi, A.K.; Chen, X.; Song, D.; Qiu, J.; Yang, P. An integrated method for the rapid dewatering and solidification/stabilization of dredged contaminated sediment with a high water content. Front. Environ. Sci. Eng. 2021, 15, 67. [Google Scholar] [CrossRef]
- Ehwailat, K.I.A.; Mohamad Ismail, M.A.; Ezreig, A.M.A. Novel approach to the treatment of gypseous soil-induced ettringite using blends of non-calcium-based stabilizer, ground granulated blast-furnace slag, and metakaolin. Materials 2021, 14, 5198. [Google Scholar] [CrossRef]
- Seco, A.; Miqueleiz, L.; Prieto, E.; Marcelino, S.; García, B.; Urmeneta, P. Sulfate soils stabilization with magnesium-based binders. Appl. Clay Sci. 2017, 135, 457–464. [Google Scholar] [CrossRef]
- Yi, Y.; Li, C.; Liu, S.; Jin, F. Magnesium sulfate attack on clays stabilised by carbide slag-and magnesia-ground granulated blast furnace slag. Géotechnique Lett. 2015, 5, 306–312. [Google Scholar] [CrossRef]
- Li, W.; Yi, Y.; Puppala, A.J. Utilization of carbide slag-activated ground granulated blastfurnace slag to treat gypseous soil. Soils Found. 2019, 59, 1496–1507. [Google Scholar] [CrossRef]
- Li, W.; Yi, Y.; Puppala, A.J. Suppressing ettringite-induced swelling of gypseous soil by using magnesia-activated ground granulated blast-furnace slag. J. Geotech. Geoenvironmental Eng. 2020, 146, 06020008. [Google Scholar] [CrossRef]
- ASTM D698-12e2; Standard Test Methods for Laboratory Compaction Characeristics of Soil Using Standard Effort (12,400 ft-lbf/ft3 (600 kN-m/m3)). ASTM: West Conshohocken, PA, USA, 2012.
- AASHTO T307-99; Standard Method of Test for Determining the Resilient Modulus of Soils and Aggregates. AASHTO: West Conshohocken, PA, USA, 2003.
- Werkmeister, S. Permanent Deformation Behaviour of Unbound Granular Materials in Pavement Constructions. Ph.D. Thesis, Technischen Universität Dresden, Dresden, Germany, 2004. [Google Scholar]
- ASTM D1633; Standard Method for Compressive Strength of Molded Soil-Cement Cylinders. ASTM: West Conshohocken, PA, USA, 2017.
- ASTM D1883; Standard Test Method for CBR (California Bearing Ratio) of Laboratory–Compacted Soils. ASTM (American Society for Testing and Materials): West Conshohocken, PA, USA, 1999.
- Arnold, G.K. Rutting of Granular Pavements. Ph.D. Thesis, University of Nottingham, Nottingham, UK, 2004. [Google Scholar]
- Zhuang, X.; Zhao, J. Experimental Study of the Dynamic Characteristics and Microscopic Mechanism of Lightweight Soil Modified with Expanded Polystyrene and Sisal Fibre. Appl. Sci. 2023, 13, 11502. [Google Scholar] [CrossRef]
- Xie, H.; Li, X.; Shan, C.; Xia, Z.; Yu, L. Study on the damage mechanism and energy evolution characteristics of water-bearing coal samples under cyclic loading. Rock Mech. Rock Eng. 2023, 56, 1367–1385. [Google Scholar] [CrossRef]
- Song, Z.; Frühwirt, T.; Konietzky, H. Characteristics of dissipated energy of concrete subjected to cyclic loading. Constr. Build. Mater. 2018, 168, 47–60. [Google Scholar] [CrossRef]
- Lei, D.; Zhang, P.; He, J.; Bai, P.; Zhu, F. Fatigue life prediction method of concrete based on energy dissipation. Constr. Build. Mater. 2017, 145, 419–425. [Google Scholar] [CrossRef]
- Yi, Y.; Liska, M.; Al-Tabbaa, A. Properties and microstructure of GGBS–magnesia pastes. Adv. Cem. Res. 2014, 26, 114–122. [Google Scholar] [CrossRef]
- Hekal, E.E.; Kishar, E.; Mostafa, H. Magnesium sulfate attack on hardened blended cement pastes under different circumstances. Cem. Concr. Res. 2002, 32, 1421–1427. [Google Scholar] [CrossRef]
- Park, H.; Jeong, Y.; Jun, Y.; Jeong, J.-H.; Oh, J.E. Strength enhancement and pore-size refinement in clinker-free CaO-activated GGBFS systems through substitution with gypsum. Cem. Concr. Compos. 2016, 68, 57–65. [Google Scholar] [CrossRef]
- Adeleke, B.O.; Kinuthia, J.M.; Oti, J.E. Impacts of MgO waste: GGBS formulations on the performance of a stabilised natural high sulphate bearing soil. Constr. Build. Mater. 2022, 315, 125745. [Google Scholar] [CrossRef]
- Saranya, P.; Nagarajan, P.; Shashikala, A.; Salam, A.P. Flexural behaviour of GGBS-dolomite geopolymer concrete beams under cyclic loading. In Proceedings of the Materials Science Forum, Singapore, 19–21 October 2019; pp. 291–296. [Google Scholar]
- You, L.; Jiang, L.; Chu, H. Influence of carbonation on fatigue of concrete with high volume of ground granulated blast-furnace slag. J. Wuhan Univ. Technol.-Mater. Sci. Ed. 2015, 30, 361–368. [Google Scholar] [CrossRef]
- Reddy, P.S.; Indhu, B.; Gangha, G.; Padmarekha, A. Determination of fatigue behaviour of concrete using GGBS and robosand. Int. J. Civ. Eng. Technol. 2017, 8, 244–251. [Google Scholar]
- Lang, L.; Chen, B.; Chen, B. Strength evolutions of varying water content-dredged sludge stabilized with alkali-activated ground granulated blast-furnace slag. Constr. Build. Mater. 2021, 275, 122111. [Google Scholar] [CrossRef]
- Lang, L.; Chen, B.; Li, N. Utilization of lime/carbide slag-activated ground granulated blast-furnace slag for dredged sludge stabilization. Mar. Georesources Geotechnol. 2021, 39, 659–669. [Google Scholar] [CrossRef]
- Sarkkinen, M.; Kujala, K.; Gehör, S. Efficiency of MgO activated GGBFS and OPC in the stabilization of highly sulfidic mine tailings. J. Sustain. Min. 2019, 18, 115–126. [Google Scholar] [CrossRef]
- Fasihnikoutalab, M.H.; Pourakbar, S.; Ball, R.J.; Unluer, C.; Cristelo, N. Sustainable soil stabilisation with ground granulated blast-furnace slag activated by olivine and sodium hydroxide. Acta Geotech. 2020, 15, 1981–1991. [Google Scholar] [CrossRef]
- Dung, N.; Hooper, T.; Unluer, C. Enhancing the performance of MgO-activated slag-fly ash mixes by accelerated carbonation. J. CO2 Util. 2020, 42, 101356. [Google Scholar] [CrossRef]
- Liu, T.; Li, S.; Chen, Y.; Brouwers, H.; Yu, Q. Insitu formation of layered double hydroxides in MgO–NaAlO2-activated GGBS/MSWI BA: Impact of Mg2+ on reaction mechanism and leaching behavior. Cem. Concr. Compos. 2023, 140, 105114. [Google Scholar] [CrossRef]
- Zhong, Y.; Cai, G.; Wang, S.; Qin, H.; Zhang, C.; Li, J. Influence of Organic Content on the Mechanical Properties of Organic-Rich Soils Stabilized with CaO-GGBS Binder and PC. Water 2022, 14, 3053. [Google Scholar] [CrossRef]
- Korde, C.; Cruickshank, M.; West, R.P. Activation of slag: A comparative study of cement, lime, calcium sulfate, GGBS fineness and temperature. Mag. Concr. Res. 2021, 73, 15–31. [Google Scholar] [CrossRef]
- Adeleke, B.; Kinuthia, J.; Oti, J. Optimization of MgO-GGBS Cementitious Systems Using Thermo-Chemical Approaches. Sustainability 2021, 13, 9378. [Google Scholar] [CrossRef]
- He, J.; Zheng, W.; Bai, W.; Hu, T.; He, J.; Song, X. Effect of reactive MgO on hydration and properties of alkali-activated slag pastes with different activators. Constr. Build. Mater. 2021, 271, 121608. [Google Scholar] [CrossRef]
- Cai, G.-H.; Liu, S.-Y.; Zheng, X. Influence of drying-wetting cycles on engineering properties of carbonated silt admixed with reactive MgO. Constr. Build. Mater. 2019, 204, 84–93. [Google Scholar] [CrossRef]
- Seo, J.; Choi, S.; Kim, J.; Lee, H. Potential for the liquid carbonation curing of Portland cement using sodium bicarbonate solutions. Constr. Build. Mater. 2024, 427, 136220. [Google Scholar] [CrossRef]
Disclaimer/Publisher’s Note: The statements, opinions and data contained in all publications are solely those of the individual author(s) and contributor(s) and not of MDPI and/or the editor(s). MDPI and/or the editor(s) disclaim responsibility for any injury to people or property resulting from any ideas, methods, instructions or products referred to in the content. |
© 2024 by the authors. Licensee MDPI, Basel, Switzerland. This article is an open access article distributed under the terms and conditions of the Creative Commons Attribution (CC BY) license (https://creativecommons.org/licenses/by/4.0/).