Dictionary Learning for Few-Shot Remote Sensing Scene Classification
Abstract
1. Introduction
- We designed a kernel space classifier for the few-shot remote sensing scene classification task, which introduces the kernel space into dictionary learning and improves the classification performance.
- We propose a dual form of dictionary learning and embed label information into dictionary learning, improving feature discrimination. Further experiments show that the proposed method can effectively solve the problem of “negative transfer”.
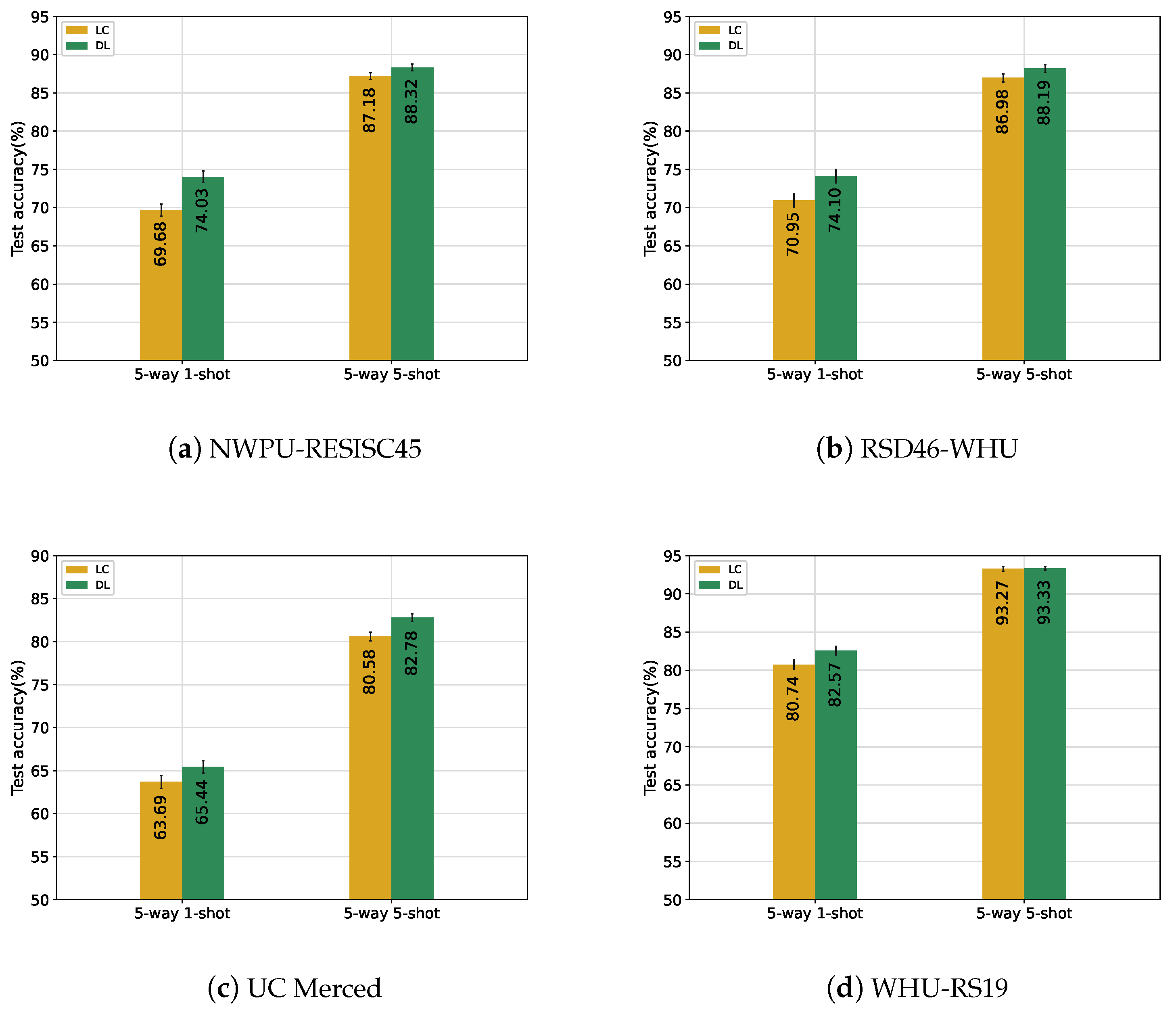
- The proposed method was evaluated on four remote sensing datasets—NWPU-RESISC45, RSD46-WHU, UC Merced, and WHU-RS19. It demonstrated satisfactory performance compared with the state-of-the-art methods.
2. Related Work
2.1. Remote Sensing Scene Classification
2.2. Few-Shot Remote Sensing Scene Classification
2.3. Negative Transfer
3. Problem Setup
3.1. Problem Definition
3.2. Kernel Space Classifier
| Algorithm 1 Dictionary learning |
|
4. Experiments and Results
4.1. Datasets
4.2. Implementation Details
4.3. Experimental Results
4.4. Ablation Studies
4.4.1. Analysis of Pre-Trained Feature Extractor
4.4.2. Performance Analysis of Different Classifiers
4.4.3. Influences of Different Fine-Tuning Strategies
4.4.4. Influence of the Objective Function Reconstruction Error
4.4.5. Influence of Meta-Test Shot
5. Discussion
6. Conclusions
Author Contributions
Funding
Institutional Review Board Statement
Informed Consent Statement
Data Availability Statement
Acknowledgments
Conflicts of Interest
Abbreviations
| FSRSSC | few-shot remote sensing scene classification |
| RSSC | remote sensing scene classification |
| FSL | few-shot learning |
| HOG | histograms of oriented gradients |
| SIFT | scale-invariant feature transform |
| LBP | local binary pattern |
| BovW | bag-of-visual-words |
| LR | logistic regression |
| SVM | support vector machine |
| DL | dictionary learning |
References
- Johnson, B.A.; Jozdani, S.E. Local Climate Zone (LCZ) Map Accuracy Assessments Should Account for Land Cover Physical Characteristics that Affect the Local Thermal Environment. Remote Sens. 2019, 11, 2420. [Google Scholar] [CrossRef]
- Pham, H.M.; Yamaguchi, Y.; Bui, T.Q. A case study on the relation between city planning and urban growth using remote sensing and spatial metrics. Landsc. Urban Plan. 2011, 100, 223–230. [Google Scholar] [CrossRef]
- Zhu, Q.; Zhong, Y.; Zhao, B.; Xia, G.-S.; Zhang, L. Bag-of-Visual-Words Scene Classifier with Local and Global Features for High Spatial Resolution Remote Sensing Imagery. IEEE Geosci. Remote Sens. Lett. 2016, 13, 747–751. [Google Scholar] [CrossRef]
- Manfreda, S.; McCabe, M.F.; Miller, P.E.; Lucas, R.; Pajuelo Madrigal, V.; Mallinis, G.; Ben Dor, E.; Helman, D.; Estes, L.; Ciraolo, G.; et al. On the Use of Unmanned Aerial Systems for Environmental Monitoring. Remote Sens. 2018, 10, 641. [Google Scholar] [CrossRef]
- Krizhevsky, A.; Sutskever, I.; Hinton, G.E. ImageNet Classification with Deep Convolutional Neural Networks. Commun. ACM 2017, 60, 84–90. [Google Scholar] [CrossRef]
- Ding, Y.; Zhao, X.; Zhang, Z.; Cai, W.; Yang, N.; Zhan, Y. Semi-supervised locality preserving dense graph neural network with ARMA filters and context-aware learning for hyperspectral image classification. IEEE Trans. Geosci. Remote Sens. 2021, 60, 5511812. [Google Scholar] [CrossRef]
- Ding, Y.; Zhao, X.; Zhang, Z.; Cai, W.; Yang, N. Multiscale graph sample and aggregate network with context-aware learning for hyperspectral image classification. IEEE J. Sel. Top. Appl. Earth Obs. Remote Sens. 2021, 14, 4561–4572. [Google Scholar] [CrossRef]
- Ding, Y.; Zhao, X.; Zhang, Z.; Cai, W.; Yang, N. Graph sample and aggregate-attention network for hyperspectral image classification. IEEE Geosci. Remote Sens. Lett. 2021, 19, 5504205. [Google Scholar] [CrossRef]
- Ding, Y.; Zhang, Z.; Zhao, X.; Cai, W.; He, F.; Cai, Y.; Cai, W. Deep hybrid: Multi-Graph neural network collaboration for hyperspectral image classification. Def. Technol. 2022, in press. [Google Scholar] [CrossRef]
- Snell, J.; Swersky, K.; Zemel, R.S. Prototypical Networks for Few-shot Learning. arXiv 2017, arXiv:1703.05175. [Google Scholar]
- Shao, S.; Xing, L.; Xu, R.; Liu, W. MDFM: Multi-Decision Fusing Model for Few-Shot Learning. IEEE Trans. Circuits Syst. Video Technol. 2021, 32, 5151–5162. [Google Scholar] [CrossRef]
- Wang, Y.; Xu, C.; Liu, C.; Zhang, L.; Fu, Y. Instance Credibility Inference for Few-Shot Learning. In Proceedings of the 2020 IEEE/CVF Conference on Computer Vision and Pattern Recognition (CVPR), Seattle, WA, USA, 13–19 June 2020; pp. 12833–12842. [Google Scholar]
- Dalal, N.; Triggs, B. Histograms of oriented gradients for human detection. In Proceedings of the 2005 IEEE Computer Society Conference on Computer Vision and Pattern Recognition (CVPR’05), San Diego, CA, USA, 20–25 June 2005; Volume 1, pp. 886–893. [Google Scholar]
- Lowe, D.G. Distinctive Image Features from Scale-Invariant Keypoints. Int. J. Comput. Vis. 2004, 60, 91–110. [Google Scholar] [CrossRef]
- Ojala, T.; Pietikainen, M.; Maenpaa, T. Multiresolution gray-scale and rotation invariant texture classification with local binary patterns. IEEE Trans. Pattern Anal. Mach. Intell. 2002, 24, 971–987. [Google Scholar] [CrossRef]
- Yang, Y.; Newsam, S. Bag-of-Visual-Words and Spatial Extensions for Land-Use Classification. In Proceedings of the 18th SIGSPATIAL International Conference on Advances in Geographic Information Systems. Association for Computing Machinery, San Jose, CA, USA, 2–5 November 2010; pp. 270–279. [Google Scholar]
- Ding, Y.; Zhang, Z.; Zhao, X.; Hong, D.; Cai, W.; Yu, C.; Yang, N.; Cai, W. Multi-feature Fusion: Graph Neural Network and CNN Combining for Hyperspectral Image Classification. Neurocomputing 2022, 501, 246–257. [Google Scholar] [CrossRef]
- Ding, Y.; Zhang, Z.; Zhao, X.; Hong, D.; Li, W.; Cai, W.; Zhan, Y. AF2GNN: Graph convolution with adaptive filters and aggregator fusion for hyperspectral image classification. Inf. Sci. 2022, 602, 201–219. [Google Scholar] [CrossRef]
- Ding, Y.; Zhang, Z.; Zhao, X.; Cai, Y.; Li, S.; Deng, B.; Cai, W. Self-supervised locality preserving low-pass graph convolutional embedding for large-scale hyperspectral image clustering. IEEE Trans. Geosci. Remote Sens. 2022, 60, 5536016. [Google Scholar] [CrossRef]
- Ding, Y.; Zhang, Z.; Zhao, X.; Cai, W.; Yang, N.; Hu, H.; Huang, X.; Cao, Y.; Cai, W. Unsupervised self-correlated learning smoothy enhanced locality preserving graph convolution embedding clustering for hyperspectral images. IEEE Trans. Geosci. Remote Sens. 2022, 60, 5536716. [Google Scholar] [CrossRef]
- Finn, C.; Abbeel, P.; Levine, S. Model-agnostic meta-learning for fast adaptation of deep networks. In Proceedings of the ICML International Conference on Machine Learning, Sydney, Australia, 6–11 August 2017; pp. 1126–1135. [Google Scholar]
- Nichol, A.; Achiam, J.; Schulman, J. On First-Order Meta-Learning Algorithms. arXiv 2018, arXiv:1803.02999. [Google Scholar]
- Rusu, A.A.; Rao, D.; Sygnowski, J.; Vinyals, O.; Pascanu, R.; Osindero, S.; Hadsell, R. Meta-Learning with Latent Embedding Optimization. In Proceedings of the International Conference on Learning Representations, New Orleans, LA, USA, 6–9 May 2019. [Google Scholar]
- Alajaji, D.A.; Alhichri, H. Few Shot Scene Classification in Remote Sensing using Meta-Agnostic Machine. In Proceedings of the 2020 6th Conference on Data Science and Machine Learning Applications (CDMA), Riyadh, Saudi Arabia, 4–5 March 2020; pp. 77–80. [Google Scholar]
- Koch, G.; Zemel, R.; Salakhutdinov, R. Siamese neural networks for one-shot image recognition. In Proceedings of the 32nd International Conference on Machine Learning, Lille, France, 6–11 July 2015; Volume 2. [Google Scholar]
- Vinyals, O.; Blundell, C.; Lillicrap, T.; Wierstra, D. Matching networks for one shot learning. NeurIPS 2016, 29, 3630–3638. [Google Scholar]
- Sung, F.; Yang, Y.; Zhang, L.; Xiang, T.; Torr, P.H.; Hospedales, T.M. Learning to compare: Relation network for few-shot learning. In Proceedings of the CVPR IEEE Conference on Computer Vision and Pattern Recognition, Salt Lake City, UT, USA, 18–22 June 2018; pp. 1199–1208. [Google Scholar]
- Li, L.; Han, J.; Yao, X.; Cheng, G.; Guo, L. DLA-MatchNet for Few-Shot Remote Sensing Image Scene Classification. IEEE Trans. Geosci. Remote Sens. 2021, 59, 7844–7853. [Google Scholar] [CrossRef]
- Alajaji, D.; Alhichri, H.S.; Ammour, N.; Alajlan, N. Few-shot learning for remote sensing scene classification. In Proceedings of the M2GARSS, 2020 Mediterranean and Middle-East Geoscience and Remote Sensing Symposium (M2GARSS), Tunis, Tunisia, 9–11 March 2020; IEEE: New York, NY, USA, 2020; pp. 81–84. [Google Scholar]
- Zhang, P.; Bai, Y.; Wang, D.; Bai, B.; Li, Y. Few-Shot Classification of Aerial Scene Images via Meta-Learning. Remote Sens. 2021, 13, 108. [Google Scholar] [CrossRef]
- Dvornik, N.; Schmid, C.; Mairal, J. Diversity with Cooperation: Ensemble Methods for Few-Shot Classification. arXiv 2019, arXiv:1903.11341. [Google Scholar]
- Yue, Z.; Zhang, H.; Sun, Q.; Hua, X.S. Interventional Few-Shot Learning. arXiv 2020, arXiv:2009.13000. [Google Scholar]
- Shao, S.; Xing, L.; Wang, Y.; Xu, R.; Zhao, C.; Wang, Y.; Liu, B. MHFC: Multi-Head Feature Collaboration for Few-Shot Learning. In Proceedings of the ACM MM, 29th ACM International Conference on Multimedia, Virtual Event, China, 20–24 October 2021; pp. 4193–4201. [Google Scholar]
- Lee, K.; Maji, S.; Ravichandran, A.; Soatto, S. Meta-learning with differentiable convex optimization. In Proceedings of the CVPR 2019 IEEE/CVF Conference on Computer Vision and Pattern Recognition (CVPR), Long Beach, CA, USA, 15–20 June 2019; pp. 10657–10665. [Google Scholar]
- Ren, M.; Ravi, S.; Triantafillou, E.; Snell, J.; Swersky, K.; Tenenbaum, J.B.; Larochelle, H.; Zemel, R.S. Meta-Learning for Semi-Supervised Few-Shot Classification. In Proceedings of the International Conference on Learning Representations, Vancouver, BC, Canada, 30 April–3 May 2018. [Google Scholar]
- Cheng, G.; Han, J.; Lu, X. Remote Sensing Image Scene Classification: Benchmark and State of the Art. Proc. IEEE 2017, 105, 1865–1883. [Google Scholar] [CrossRef]
- Long, Y.; Gong, Y.; Xiao, Z.; Liu, Q. Accurate Object Localization in Remote Sensing Images Based on Convolutional Neural Networks. IEEE Trans. Geosci. Remote Sens. 2017, 55, 2486–2498. [Google Scholar] [CrossRef]
- Xiao, Z.; Long, Y.; Li, D.; Wei, C.; Tang, G.; Liu, J. High-Resolution Remote Sensing Image Retrieval Based on CNNs from a Dimensional Perspective. Remote Sens. 2017, 9, 725. [Google Scholar] [CrossRef]
- Xia, G.S.; Yang, W.; Delon, J.; Gousseau, Y.; Sun, H.; Maitre, H. Structural high-resolution satellite image indexing. In Proceedings of the ISPRS TC VII Symposium—100 Years ISPRS, Vienna, Austria, 5–7 July 2010. [Google Scholar]
- Dai, D.; Yang, W. Satellite Image Classification via Two-Layer Sparse Coding With Biased Image Representation. IEEE Trans. Geosci. Remote Sens. 2011, 8, 173–176. [Google Scholar] [CrossRef]
- Zhai, M.; Liu, H.; Sun, F. Lifelong Learning for Scene Recognition in Remote Sensing Images. IEEE Geosci. Remote Sens. Lett. 2019, 16, 1472–1476. [Google Scholar] [CrossRef]
- Li, Z.; Zhou, F.; Chen, F.; Li, H. Meta-sgd: Learning to learn quickly for few-shot learning. arXiv 2017, arXiv:1707.09835. [Google Scholar]
- Oreshkin, B.N.; Rodriguez, P.; Lacoste, A. TADAM: Task dependent adaptive metric for improved few-shot learning. In Proceedings of the NeurIPS, 32nd Conference on Neural Information Processing Systems (NeurIPS 2018), Montreal, QC, Canada, 2–8 December 2018; pp. 719–729. [Google Scholar]
- Zhang, P.; Fan, G.; Wu, C.; Wang, D.; Li, Y. Task-Adaptive Embedding Learning with Dynamic Kernel Fusion for Few-Shot Remote Sensing Scene Classification. Remote Sens. 2021, 13, 4200. [Google Scholar] [CrossRef]
- Cheng, G.; Yang, C.; Yao, X.; Guo, L.; Han, J. When deep learning meets metric learning: Remote sensing image scene classification via learning discriminative CNNs. IEEE Trans. Geosci. Remote Sens. 2018, 56, 2811–2821. [Google Scholar] [CrossRef]
- Simon, C.; Koniusz, P.; Nock, R.; Harandi, M. Adaptive subspaces for few-shot learning. In Proceedings of the CVPR, 2020 IEEE/CVF Conference on Computer Vision and Pattern Recognition (CVPR), Seattle, WA, USA, 13–19 June 2020; pp. 4136–4145. [Google Scholar]
- Liu, Y.; Lee, J.; Park, M.; Kim, S.; Yang, E.; Hwang, S.J.; Yang, J. Learning to propagate labels: Transductive propagation network for few-shot learning. arXiv 2018, arXiv:1805.10002. [Google Scholar]
- Zhang, P.; Li, Y.; Wang, D.; Wang, J. RS-SSKD: Self-Supervision Equipped with Knowledge Distillation for Few-Shot Remote Sensing Scene Classification. Sensors 2021, 21, 1566. [Google Scholar] [CrossRef]
- Ye, H.J.; Hu, H.; Zhan, D.C.; Sha, F. Few-shot learning via embedding adaptation with set-to-set functions. In Proceedings of the CVPR, 2020 Conference on Computer Vision and Pattern Recognition, Virtual, 14–19 June 2020; pp. 8808–8817. [Google Scholar]
- Cui, Z.; Yang, W.; Chen, L.; Li, H. MKN: Metakernel networks for few shot remote sensing scene classification. IEEE Trans. Geosci. Remote Sens. 2022, 60, 4705611. [Google Scholar] [CrossRef]
- Yuan, Z.; Huang, W. Multi-attention DeepEMD for Few-Shot Learning in Remote Sensing. In Proceedings of the ITAIC, 2020 IEEE 9th Joint International Information Technology and Artificial Intelligence Conference (ITAIC), Chongqing, China, 11–13 December 2020; IEEE: New York, NY, USA, 2020; Volume 9, pp. 1097–1102. [Google Scholar]
- Zhang, C.; Cai, Y.; Lin, G.; Shen, C. DeepEMD: Few-Shot Image Classification with Differentiable Earth Mover’s Distance and Structured Classifiers. In Proceedings of the CVPR, 2020 IEEE/CVF Conference on Computer Vision and Pattern Recognition (CVPR), Seattle, WA, USA, 13–19 June 2020 2020; pp. 12203–12213. [Google Scholar]
- Li, H.; Cui, Z.; Zhu, Z.; Chen, L.; Zhu, J.; Huang, H.; Tao, C. RS-MetaNet: Deep meta metric learning for few-shot remote sensing scene classification. arXiv 2020, arXiv:2009.13364. [Google Scholar] [CrossRef]








| Dataset | Pre-Training | Meta-Validation | Meta-Test |
|---|---|---|---|
| tiered-ImageNet | 351 | 97 | 160 |
| NWPU-RESISC45 | 25 | 8 | 12 |
| RSD46-WHU | 26 | 8 | 12 |
| UC Merced | 10 | 6 | 5 |
| WHU-RS19 | 9 | 6 | 5 |
| Method | Backbone | 5-Way 5-Shot | 5-Way 1-Shot |
|---|---|---|---|
| LLSR [41] | ConV4 | ||
| MatchingNet [26] | ConV5 | ||
| DLA-MatchNet [28] | ConV5 | ||
| Meta-SGD [42] | ConV5 | ||
| ProtoNet [10] | ResNet12 | ||
| MAML [21] | ResNet12 | ||
| TADAM [43] | ResNet12 | ||
| TAE-Net [44] | ResNet12 | ||
| D-CNN [45] | ResNet12 | ||
| DSN-MR [46] | ResNet12 | ||
| MetaOptNet [34] | ResNet12 | ||
| TPN [47] | ResNet12 | ||
| MetaLearning [30] | ResNet12 | ||
| RelationNet [27] | ResNet12 | ||
| RS-SSKD [48] | ResNet12 | ||
| FEAT [49] | ResNet12 | ||
| Ours | ResNet12 |
| Method | Backbone | 5-Way 5-Shot | 5-Way 1-Shot |
|---|---|---|---|
| RelationNet [27] | ConV4 | ||
| ProtoNet [10] | ConV4 | ||
| MAML [21] | ConV4 | ||
| RelationNet [27] | ResNet12 | ||
| MAML [21] | ResNet12 | ||
| ProtoNet [10] | ResNet12 | ||
| MetaOptNet [34] | ResNet12 | ||
| DSN-MR [46] | ResNet12 | ||
| D-CNN [45] | ResNet12 | ||
| TADAM [43] | ResNet12 | ||
| MetaLearning [30] | ResNet12 | ||
| RS-SSKD [48] | ResNet12 | ||
| FEAT [49] | ResNet12 | ||
| Ours | ResNet12 |
| Method | Backbone | 5-Way 5-Shot | 5-Way 1-Shot |
|---|---|---|---|
| LLSR [41] | ConV-4 | ||
| ProtoNet [10] | ConV-5 | ||
| MatchingNet [26] | ConV-5 | ||
| MAML [21] | ConV-5 | ||
| Meta-SGD [42] | ConV-5 | ||
| RelationNet [27] | ConV-5 | ||
| DLA-MatchNet [28] | ConV-5 | ||
| TPN [47] | ResNet-12 | ||
| TAE-Net [44] | ResNet-12 | ||
| Ours | ResNet-12 |
| Method | Backbone | 5-Way 5-Shot | 5-Way 1-Shot |
|---|---|---|---|
| MAML [21] | ConV-4 | ||
| LLSR [41] | ConV-4 | ||
| RelationNet [27] | ConV-5 | ||
| MatchingNet [26] | ConV-5 | ||
| ProtoNet [10] | ConV-5 | ||
| DLA-MatchNet [28] | ConV-5 | ||
| Meta-SGD [42] | ConV-5 | ||
| ProtoNet [29] | SqueezeNet | ||
| TPN [47] | ResNet-12 | ||
| MKN [50] | ResNet-12 | ||
| MA-deepEMD [51] | ResNet-12 | ||
| deepEMD [52] | ResNet-12 | ||
| RS-MetaNet [53] | ResNet-12 | ||
| TAE-Net [44] | ResNet-12 | ||
| Ours | ResNet-12 |
| Method | Backbone | 5-Way 1-Shot | 5-Way 5-Shot |
|---|---|---|---|
| LR | ResNet-12 | ||
| SVM | ResNet-12 | ||
| Linear | ResNet-12 | ||
| Poly | ResNet-12 | ||
| RBF | ResNet-12 |
| Method | Backbone | 5-Way 1-Shot | 5-Way 5-Shot |
|---|---|---|---|
| LR | ResNet-12 | ||
| SVM | ResNet-12 | ||
| Linear | ResNet-12 | ||
| Poly | ResNet-12 | ||
| RBF | ResNet-12 |
| Method | Backbone | 5-Way 1-Shot | 5-Way 5-Shot |
|---|---|---|---|
| LR | ResNet-12 | ||
| SVM | ResNet-12 | ||
| Linear | ResNet-12 | ||
| Poly | ResNet-12 | ||
| RBF | ResNet-12 |
| Method | Backbone | 5-Way 1-Shot | 5-Way 5-Shot |
|---|---|---|---|
| LR | ResNet-12 | ||
| SVM | ResNet-12 | ||
| Linear | ResNet-12 | ||
| Poly | ResNet-12 | ||
| RBF | ResNet-12 |
Disclaimer/Publisher’s Note: The statements, opinions and data contained in all publications are solely those of the individual author(s) and contributor(s) and not of MDPI and/or the editor(s). MDPI and/or the editor(s) disclaim responsibility for any injury to people or property resulting from any ideas, methods, instructions or products referred to in the content. |
© 2023 by the authors. Licensee MDPI, Basel, Switzerland. This article is an open access article distributed under the terms and conditions of the Creative Commons Attribution (CC BY) license (https://creativecommons.org/licenses/by/4.0/).
Share and Cite
Ma, Y.; Meng, J.; Liu, B.; Sun, L.; Zhang, H.; Ren, P. Dictionary Learning for Few-Shot Remote Sensing Scene Classification. Remote Sens. 2023, 15, 773. https://doi.org/10.3390/rs15030773
Ma Y, Meng J, Liu B, Sun L, Zhang H, Ren P. Dictionary Learning for Few-Shot Remote Sensing Scene Classification. Remote Sensing. 2023; 15(3):773. https://doi.org/10.3390/rs15030773
Chicago/Turabian StyleMa, Yuteng, Junmin Meng, Baodi Liu, Lina Sun, Hao Zhang, and Peng Ren. 2023. "Dictionary Learning for Few-Shot Remote Sensing Scene Classification" Remote Sensing 15, no. 3: 773. https://doi.org/10.3390/rs15030773
APA StyleMa, Y., Meng, J., Liu, B., Sun, L., Zhang, H., & Ren, P. (2023). Dictionary Learning for Few-Shot Remote Sensing Scene Classification. Remote Sensing, 15(3), 773. https://doi.org/10.3390/rs15030773

