Abstract
Natural resource managers may utilize remotely sensed data to monitor vegetation within their decision-making frameworks for improving habitats. Under binational agreements between the United States and Mexico, seven reaches were targeted for riparian habitat enhancement. Monitoring was carried out using Landsat 8 16-day intervals of the two-band enhanced vegetation index 2 (EVI2) for greenness and actual evapotranspiration (ETa). In-channel water was delivered in 2021 and 2022 at four places in Reach 4. Three reaches (Reaches 4, 5 and 7) showed no discernable difference in EVI2 from reaches that did not receive in-channel water (Reaches 1, 2, 3 and 6). EVI2 in 2021 was higher than 2020 in all reaches except Reach 3, and EVI2 in 2022 was lower than 2021 in all reaches except Reach 7. ET(EVI2) was higher in 2020 than in 2021 and 2022 in all seven reaches; it was highest in Reach 4 (containing restoration sites) in all years. Excluding restoration sites, compared with 2020, unrestored reaches showed that EVI2 minimally increased in 2021 and 2022, while ET(EVI2) minimally decreased despite added water in 2021–2022. Difference maps comparing 2020 (no-flow year) to 2021 and 2022 (in-channel flows) reveal areas in Reaches 5 and 7 where the in-channel flows increased greenness and ET(EVI2).
1. Introduction
The monitoring of riparian corridors at Landsat spatial scales of 30 m resolution, or finer, is imperative to comprehend the multifaceted impacts of climate variability [1,2,3], species invasions, habitat fragmentation, and acute disturbances such as wildfires and flooding. This is particularly critical in the arid and semi-arid regions of northwestern Mexico and the southwestern United States, where riparian vegetation is declining due to both anthropogenic pressures and natural stressors, such as increased temperatures and water scarcity [4]. These changes not only threaten biodiversity and ecosystem services but also have economic implications, affecting local economies that benefit from green spaces and recreational activities [5,6,7].
Remote sensing technology, exemplified by Landsat imagery which is orthorectified [8], free [9], and continuous over decades [10], provides an invaluable means of monitoring these ecosystems. With its 16-day revisit cycle, Landsat imagery serves as an efficient, cost-effective method for observing land cover changes over extensive and often inaccessible areas [11]. Landsat has been employed to analyze the health of riparian vegetation within the Colorado River Delta through vegetation indexes (VIs) used as proxies of vegetation greenness and water use [12]. The use of remote sensing to estimate riparian vegetation extent, greenness, phenological changes, and water use is especially pertinent in the Delta’s narrow and largely inaccessible riparian corridor [13]. The riparian ecosystem in this arid transborder region produces a unique hydrological setting which supports high biodiversity and primary productivity compared with adjacent uplands [14]. For these reasons, this riparian corridor is a key flyway for migrating neotropical songbirds [15,16].
Altered flow regimes due to impoundments and diversion, along with the overallocation of water resources [17,18,19,20], have required extraordinary efforts through United States–Mexico collaboration, which is facilitated by the 1944 United States–Mexico Water Treaty [21] and Minutes 319 and 323 [22,23]. The riparian area boundaries were defined in seven reaches (Figure 1) in Minute 319 (2013–2017) [22] of the treaty, and the need for measuring and monitoring two key remotely sensed variables, vegetation greenness and water use, was defined under Minute 323 (2018–2026) [23]. Minute 323 focuses on restoration activities [23]. Both the United States and Mexico, as well as non-governmental organizations (NGOs) from both sides of the border, contribute one-third each to the water delivery mandated by the minutes [22,23]. The minutes provide water management guidelines, and among these is the delivery of water to the Colorado River Delta with the primary aim of restoring a healthy riparian ecosystem within seven reaches of the Delta corridor (ca. 130 km (km) long) and restoring the estuarine ecosystem [22,23]. These minutes provide occasional environmental flows and additional water deliveries to improve the declining condition of this Colorado River Delta binational riparian ecosystem [22,23]. Minute 319 provided the framework for delivering 130 million cubic meters (mcm) over the Morelos Dam as in-channel water delivery into Reach 1 during the months of March through May in 2014 as an environmental “Pulse Flow.” The amount of water that infiltrated and contributed to groundwater flow into the Delta was estimated to be 103 mcm in a 2017 study [14]. The hydrological conditions in the study area are demonstrated by the disparity between surface flows and plant water use, creating a niche for predominantly phreatophytic plants which draw water from the aquifer [14]. These species are primarily riparian trees in the narrow Reach 4, where more than a dozen restoration sites are monitored [4,12,24,25], but in Reach 5 where the Delta truly begins to form and in Reach 7 where the river further meanders and spreads, the predominant species are no longer native riparian trees but rather shrubs such as Tamarix spp., with high fractions of low vegetation cover including saltgrass (Distichlis spicata) [24,25]. Minute 323 provided the framework for the restoration site infrastructure, the physical infrastructure for delivering water through weirs at four locations to deliver water (e.g., 2021–2022) into Reach 4, and the monitoring of riparian health outcomes compared with the unrestored riparian corridor [23]. The remotely sensed data produced include the years 2013–2022, although most of our figures report data only starting from 2014, the environmental pulse flow, covering 2014–2022 [26].
Prior research has synthesized ground and remote sensing data to monitor the ecology and conservation biology of the Colorado River Delta’s riparian corridor using the Moderate Resolution Imaging Spectroradiometer (MODIS) and Landsat since around the year 2000 [27,28,29,30]. The response of the VI, which indicates plant greenness, and riparian water use or actual evapotranspiration (ETa) to environmental flow in 2014 under Minute 319 was studied using the Landsat normalized difference vegetation index (NDVI) [12,13,14], which has been crucial for cross-sensor calibration with other remote sensing platforms [31]. Furthermore, under Minute 319, time-series monitoring has suggested that declines in greenness and water use were temporarily slowed by the additional water provided during the environmental flow of 2014, though this effect persisted for only a couple of years [12,13].
Remote sensing provides an invaluable means of monitoring the Colorado River and its Delta. Therefore, Landsat 8 is utilized here to analyze the health of riparian vegetation within the Colorado River Delta, gaging this through proxies of vegetation greenness and plant water use. We extend the ecohydrological research in the Delta by examining the scaled NDVI (NDVI*), enhanced vegetation index (EVI), and the two-band enhanced vegetation index (EVI2) [32,33,34,35], following established techniques for evaluating changes in riparian corridor greenness in this region [13]. We aim to estimate the actual evapotranspiration (ETa), which is the amount of water plants use in a specific landscape. To achieve this, we used an ETa equation that relies on EVI2 estimates. This equation was formulated using established ground measurements of riparian species by sap flux and atmospheric moisture flux data from both the Bowen ratio and eddy covariance towers, neutron probe water balance data, groundwater information, and soil moisture probes [36,37,38,39]. We have used allometric leaf, stem, and canopy data to scale EVI2-based water use to the reach level [38,39,40]. These techniques have been validated in various dryland regions including the Navajo Nation [41,42] and the Murray–Darling River Basin [43,44]. We assess the impact of water deliveries on the riparian vegetation’s health in the unrestored reaches, where landcover in the riparian corridor and further south to the estuary is classified by the National Institute of Statistics and Geography/Instituto Nacional de Estadística, Geografía e Informática (INEGI) [45]. The remotely sensed estimates provided could contribute to the understanding of how drought and other factors influence vegetation greenness and water use.
Even prior to the Treaty’s recent minutes (319 and 323) for the requirements of research and monitoring, the Colorado River Delta’s riparian corridor was fairly well documented last century in Sykes (1937), Leopold (1946), Fradkin (1996), and Glenn et al. (1996) [46,47,48,49]. Contributions to the literature after 2000 in the Delta comprehensively covers interdisciplinary research in the fields of climate, hydrology, ecology, conservation biology, ecosystem functions, and ecophysiology of the species in the study area and are detailed in both research papers belonging to three special issues [50,51,52] and reviews [53,54]. Although some areas are lacking many studies, such as research with climate and drought projections [40], other areas are well documented, including conservation and ecophysiology [41,42], flow regimes and environmental flows [43,44,45], hydrology [45,46,47,48,49], ecosystem research summaries [50,51,52,53], and vegetation–avian community interactions for restoration success [54], which are among myriad studies that contribute largely to understanding the geographic scope of the study region [55,56,57,58,59,60,61,62,63,64,65,66,67,68,69].
Figure 1.
Colorado River and Delta depicting Reaches 1–7 as defined under Minute 319 and four water delivery sites used during the 2021 and 2022 in-channel water deliveries. The water delivery sites from north to south are Chausse, Km 18, Km 21, and Cori. The Yuma Valley AZMET [70] station is not shown; it is located north of the Northerly International Border (NIB) in Yuma, Arizona.
Figure 1.
Colorado River and Delta depicting Reaches 1–7 as defined under Minute 319 and four water delivery sites used during the 2021 and 2022 in-channel water deliveries. The water delivery sites from north to south are Chausse, Km 18, Km 21, and Cori. The Yuma Valley AZMET [70] station is not shown; it is located north of the Northerly International Border (NIB) in Yuma, Arizona.

The novelty of the study is to investigate the effectiveness of in-channel water deliveries in 2021 and 2022 to Reach 4 on riparian vegetation cover and advance the understanding of the health of riparian vegetation as determined by Landsat 8 estimates of plant greenness and measurements of water use. Although not a novel contribution, we also have included the monitoring of these estimates and calculations for vegetation responses after the pulse flow from 2014, with an additional two years of descriptive information for 2021–2022. These newly produced data are part of a longer-term binational project with myriad partners [26]. This research informs the decision making for the timing of the water deliveries regardless of whether the areas are restored or unrestored riparian reaches. These data are new information for managers who are interested in gaging the outcome of in-stream water delivered for restoring the ecohydrological processes of the riparian corridor in the Colorado River Delta in Mexico.
The overarching objective of this research is to describe the response of riparian vegetation to the first in-channel water deliveries in 2021 and 2022 to the lower Delta riparian corridor in the natural, unlined river channel using remote monitoring. Our findings support ongoing research and monitoring efforts under Minute 323, enhance the understanding of the impacts of environmental flows on riparian health under Minute 319, and provide data over the last decade that support critical ecohydrological research assessments and monitoring efforts in the region, aiding government agencies, NGOs, tribal nations, and various stakeholders involved in conservation efforts with both economic and ecological benefits.
2. Study Area, Data and Methods
2.1. Study Area
The findings are presented from a nine-year period, spanning from 2014 to 2022, for all seven reaches (Reaches 1–7), which captures three sources of in-channel water, the pulse flow in 2014 and water delivered into Reach 4 in 2021 and 2022. Reaches 1–7 did receive water from the 2014 pulse flow, but Reaches 1–3 did not receive directed in-channel water deliveries in 2021 and 2022. The southern reaches, Reaches 4–7, received water delivered for the first time as in-channel contributions and were the primary focus (Figure 1). In two of the seven reaches, Reach 2 and Reach 4, a small portion of the riparian corridor contains established restoration sites that were planted between 2010 and 2017. The unrestored area of the seven reaches constitutes 97.5% of the corridor, while the restored area is only 2.5% [4]. There are four water delivery sites depicted in Reach 4, and other geographic features are shown such as the Rio Hardy in Reach 6 and the confluence of the Colorado River with the Rio Hardy in Reach 7. Landcover in the southern portion of the Delta, below the narrow riparian corridor, is classified as halophytic vegetation surrounded by either no vegetation or sandy desert vegetation using the classifications by INEGI [45].
The peak maximum air temperature ranges between 40 and 45 °C (Arizona Meteorological Network (AZMET) station in Yuma Valley, http://cals.arizona.edu/azmet/, last accessed 24 April 2024) [70]. The precipitation from the AZMET station reached over 80 mm/month (150–160 mm/year) on a few occasions, e.g., 2004, 2010, and 2020; it is more typically in the range of 0–20 mm/month and can be found plotted over many years in Nagler et al. [13]. Potential evapotranspiration (ETo) values, described as the maximum plant water use, are provided as hourly, daily and monthly values by AZMET’s Yuma Valley station using the Penman–Monteith equation [70]. For a comparison of ETo values in this Delta region, which lacks ground stations, ETo is also calculated by the Blaney–Criddle formula [71] and is further explained in the updated literature [72,73] as being particularly useful in areas with limited weather data [74]. In this study, the data are from AZMET ETo, which follows a modified American Society of Civil Engineers (ASCE) Penman–Monteith method (https://extension.arizona.edu/sites/extension.arizona.edu/files/pubs/az1324.pdf, last accessed 24 April 2024) [70]. For the region upstream of our study, discharge above the Morelos Dam on the Northerly International Border (NIB) ranges between ca. 575 and 625 m3/s [13], while ETo ranges between 250 and 300 mm/month [75].
The added in-channel water in 2021–2022 was delivered only within Reach 4. In 2020, there were no in-channel flows delivered, and the first in-stream water delivered occurred in 2021 as 35.3 hm3 (28,618 acre-feet or ac-ft) and in 2022 as 36.0 hm3 (29,186 ac-ft), respectively. In 2021, the water was delivered from 1 May through 11 October from four delivery points in Reach 4 where Km is a proper name: Chausse, Kilometer 18 (Km 18), Kilometer 21 (Km 21), and Cori (Figure 1). The water delivered at Reach 4 flowed toward Reach 5 and Reach 7. In 2022, the water was delivered from 1 May through 19 September, from three delivery points (Chausse; Km 18, and Km 21).
We document plant greenness using Landsat 8 EVI2 estimations and calculate ET(EVI2) in Reaches 1–7 (Figure 1). All seven reaches of the Colorado Delta are associated with the Colorado River mainstem, but one of the reaches (Reach 6) captures the Rio Hardy and its convergence with the Colorado River. In Reach 7, the Rio Hardy joins the Colorado River (Figure 1). Reaches 4, 5, and 7 are scrutinized for EVI2 and ET(EVI2) changes due to the presence/absence of water deliveries in 2020 (no in-channel flows) and 2021–2022 (in-channel flows); however, Reach 6 is included as a control for a comparison with the other three reaches. Additional context is provided by examining temporal trends and comparing reaches that receive in-channel water deliveries during 2021–2022 (Reaches 4, 5, and 7) to those that do not receive in-channel flows (Reaches 1, 2, 3, and 6). Reaches that did not receive in-channel flows serve as “controls” for attributing changes and trends in the reaches to the effects of the flows.
Reaches 2 and 4 have active restoration sites, where undesirable plant species have been removed; the land has been contoured and planted with riparian, mesquite bosque, upland, and marsh vegetation. These active restoration sites receive water from irrigation systems. To focus specifically on the changes within the unrestored areas of the riparian corridor, geographic information system software, ArcGIS 10.8.2 was used to mask out restoration sites from Reaches 2 and 4. Unless noted otherwise, reference to Reach 2 or 4 excludes restoration sites. This enabled a more accurate evaluation of the changes that occurred only in the unrestored areas in the reaches without consideration of the restoration sites in Reaches 2 and 4 (Table 1 for the area and number of pixels).
Table 1.
Landsat 8 area (ha, ac) and number of pixels for Reaches 1–7 excluding restoration sites (top panel) and for each restoration site in Reach 2 and 4 (lower panel). Each pixel is 30 m × 30 m (98 ft × 98 ft) for an area of 900 square meters (9688 sq ft). Symbols are defined as (*) in-channel water deliveries, 2021 and 2022, and (#) restoration sites. Data generated during this study are published and available [26].
2.2. Calculation of Riparian Plant Greenness (EVI2) from Landsat 8 (OLI)
Landsat 8 Operational Land Imager (OLI) Collection 2 (C2) imagery (30 m/98 ft resolution) was acquired every 16 days as a time series from 2014 (the Minute 319 pulse flow year) to 2022. Measurements of EVI2 follow methods in Jiang et al. [33] and are detailed in Didan et al. [34,35]. In the 3-band MODIS EVI algorithm [32], assuming the relationship that the red band (R) is equal to c × blue (or relating the blue band to the red band), then a 2-band EVI can be utilized, where these coefficients can be adopted in the two-band MODIS EVI2 algorithm [33] which follows (1a):
where N is the reflectance value in the near-infrared waveband and R is the reflectance value in the red band, L = 1, G is to be determined according to c, and the c value is derived by fitting the blue reflectance to the red reflectance (red = c × blue). The final accepted EVI2 equation in Didan et al. [34] is as follows (1b):
EVI2: G × ((N − R)/(N + (6 − 7.5/c)R + L))
EVI2: 2.5(N − R)/(N + 2.4R + 1)
2.3. Calculation of Riparian Plant Water Use or Actual Evapotranspiration (ETa)
We used remotely sensed VI from satellite and weather data from the Yuma Valley, Arizona station of AZMET [70], which is the nearest long-term data station to the Delta. ETo is calculated using a modified ASCE Penman–Monteith provided by AZMET, which utilizes the standardized procedure for a short reference crop computed using a daily computational time step [70]. The equation for the standardized procedure (Equation (3)) is provided as follows:
where
ETos: (0.408ΔRn + γ(900/T + 273) u2(es − ea))/Δ + γ (1 + 0.34u2)
- ETos = standardized reference crop evapotranspiration for a short crop in mmd−1;
- Δ = slope of the saturation vapor pressure–temperature curve (kPa °C−1);
- Rn = calculated net radiation at the crop surface in MJ m−2d−1;
- γ = psychrometer constant (kPa °C−1);
- T = mean daily air temperature measured at 1.5 m above ground level (°C);
- u2 = mean daily wind speed measured at 2 m above ground level (ms−1);
- es = saturation vapor pressure measured at 1.5 m above ground level (kPa);
- ea = mean actual vapor pressure measured at 1.5 m above ground level (kPa).
ETo is critically important to accurately measure for reasons detailed in Albano et al. [76], but in many inaccessible regions, there is no instrumentation [74]. Local weather stations have not been in place in the riparian corridor in Mexico to measure the parameters needed for ETo calculations for the period of our study, so using the nearest and longest running weather station information from AZMET is the best option despite being located north of the Delta in Yuma Valley, Arizona. This AZMET station computes ETo daily [70]. We then average ETo over 16 days using the 8 days before and after the Landsat overpass date. AZMET also provides ETo daily data calculated using Blaney–Criddle [70].
The distance the AZMET station is from the lower river reaches is one limitation of the study. We have explored comparing these AZMET ETo values with other calculations of ETo, such as from Daymet [77,78]. Gridded information from Daymet has a spatial resolution of 1 km and could be used in future Colorado River Delta research, as was conducted in the riparian areas of the Little Colorado River tributaries and streams [42]. ETo from gridded weather data is calculated from the mean daily percentage of annual daytime hours (p), and mean temperature (Tmean) data using the Blaney–Criddle formula [71,72,73] (Equation (4)). This original formula of ETo relied on monthly temperature data, which, for improved accuracy, should be corrected for wind, solar radiation, and relative humidity, especially in windy, dry, and sunny areas [72,73]. Daily ETo using gridded Daymet is computed as follows:
where Tmean is the mean daily temperature [°C] given as Tmean = (Tmax + Tmin)/2 and p is the mean daily percentage of annual daytime hours [71,72,73].
ETo (Blaney – Criddle, mm, daily): p ∗ (0.46 ∗ Tmean + 8.13)
ET(EVI2) was first calculated using ETo from weather station data (AZMET, a “point” location) [70] and MODIS EVI [32] or EVI2 [33]. Originally formulated in 2013 [40], this MODIS ET(EVI) equation follows calibrated and validated methods, which uses atmospheric moisture flux data from both the Bowen ratio and eddy covariance towers and lysimeters in uncultivated riparian areas and water balance in alfalfa fields [36,37,38,39,40,41,42]. This current study utilizes the AZMET point-based, daily ETo from Equation (2) with Landsat 8 EVI2 and is the verified formulation of ETa published in a Colorado River Delta 2020 study [13,68]. ETa is computed from Landsat 8 EVI2 and AZMET ETo as described in Equation (5).
ET (ET(EVI2) “Nagler ETa” Landsat, mm): ET (daily) ∗ 1.65(1 − e−2.25EVI2) − 0.169
The measurement of 16-day EVI2 and ETa, which is here referred to as “Nagler ETa” for the first time, is defined as ET(EVI2) to distinguish which ETa method was used in this study compared with recent publications leading to the development of this equation. Because AZMET daily ETo is averaged over 16 days using the 8 days before and after the Landsat overpass date, the Nagler ETa is a 16-day measurement that can be averaged over periods of one month, the peak growing season, and annually to document vegetation health and its response to in-channel flows in the riparian corridor [13]. Methods for processing are described in Nagler et al. [13] and include quality assurance (QA) standardization and filtering, continuity (not applied here due to only using Landsat 8), and gap-filling which is applied when Landsat 8 images are not atmospherically clear and cannot be utilized [13]. Measurements of ETa annually capture the full year and are identified as the Phenology Assessment Metric or PAM ET [13]. EVI2 and ET(EVI2) were averaged annually during the peak growing season (1 May–30 October) and as monthly values throughout the year for use in comparisons for the years 2014–2022, similar to methods used in the Little Colorado River [42], Delta [68], and the Lower Colorado River [75].
2.4. Analyses
Mean peak growing season (1 May to 30 October) data from the seven reaches were used to analyze and compare vegetation greenness and water use changes from 2014 to 2022. Furthermore, we detrended EVI2 and ET(EVI2) to detect year-to-year changes during the 2014–2022 period. Simple linear regression was used to derive predictive values of EVI2 and ET(EVI2) in each of the nine years of data. Residuals were used to detect and highlight positive (higher values than expected) and negative (lower values than expected) outcomes based on the linear trend during 2014–2022. By detrending the data, we can analyze the short-term dynamics of EVI2 and ET(EVI2) more thoroughly and uncover valuable insights that may have been obscured by the long-term trend.
3. Results
3.1. Landsat 8 OLI (Greenness)
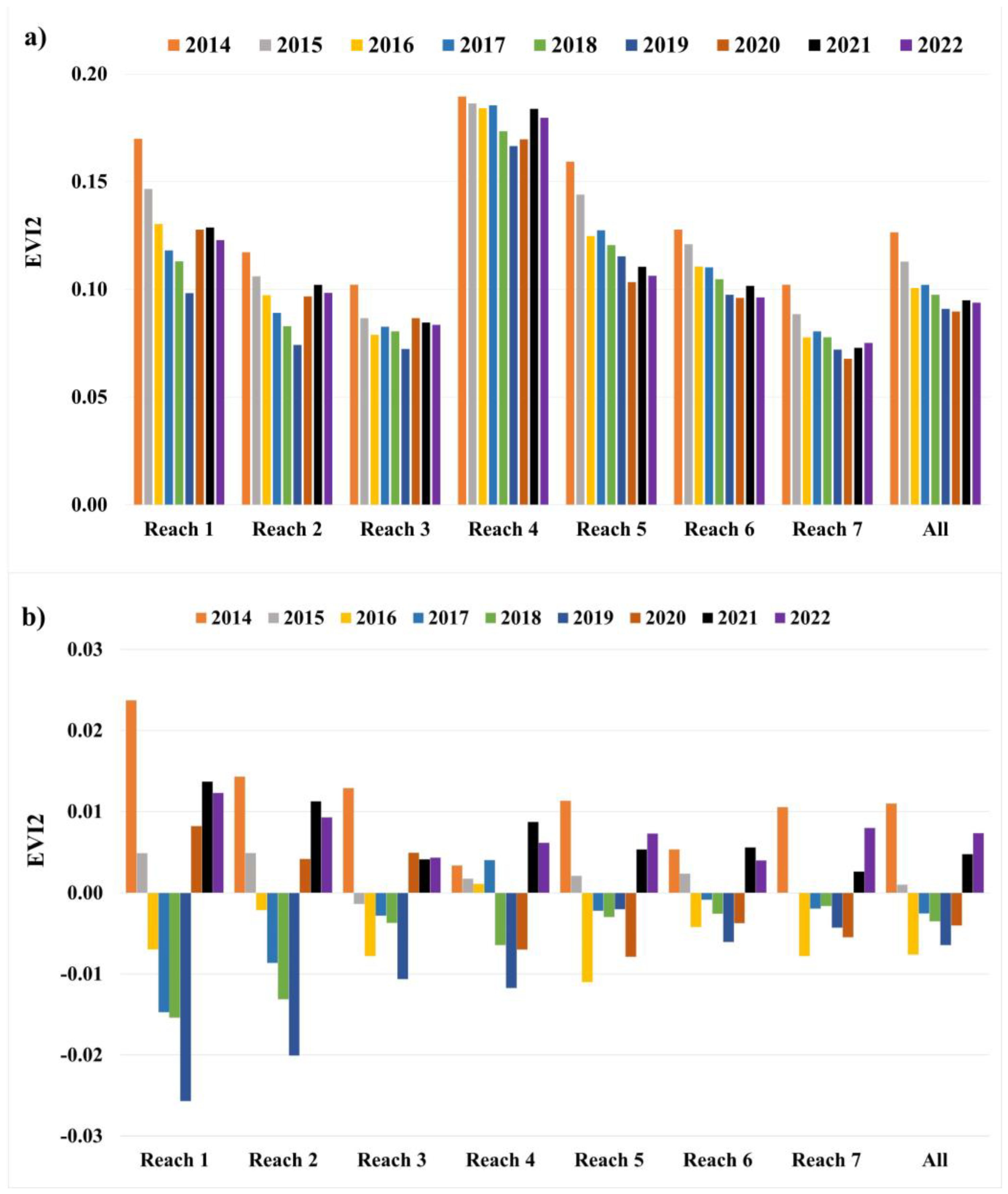
Two masks, one without restoration and one with restoration sites, resulted in approximately a 2.7% larger area in landcover used for that including restoration sites. The results in Figure 2a are for Reaches 1–7 and are described for the unrestored reaches, which for Reaches 2 and 4 include restoration sites (Appendix A, Table A1, EVI2 including restoration sites). Despite there being a small difference in the area due to restored sites in Reaches 2 and 4 being included or excluded, the values of the EVI2 data are provided in Appendix A two ways: (1) as calculated with restoration sites (Appendix A, Table A1) and (2) with only unrestored areas (Appendix A, Table A2, EVI2 excluding restoration sites). Differences in EVI2 in Reach 4 between these two masked areas ranged from −2.1% to 6.8% (2014 to 2019) and then varied from 11.9% (2020) to 11% (2021) to 10.7% (2022).
Figure 2.
Peak growing season (1 May to 30 October) EVI2 (greenness) from Landsat 8 OLI imagery (30 m/98 ft resolution) for years 2014–2022 for the riparian corridor by river reach (Reach 1–7 includes restored areas in Reaches 2 and 4) and the weighted average by area of these seven reaches for all reaches (all) ((a) top bar plot) and the detrended EVI2 data ((b) bottom bar plot). Data generated during this study are published and available [26].
All reaches that received in-channel water deliveries (Reaches 4, 5, and 7) in 2021 and 2022 showed small increases (a difference of 0.01) in EVI2 (0.12) in those years over EVI2 (0.11) in 2020 that resulted in an average recent two-year increase of 6.8% (Figure 2a, Appendix A, Table A2 (EVI2 excluding restoration sites)). Between 2020 and 2022, EVI2 increased 5.9% in Reach 4, 2.8% in Reach 5, and 10.8% in Reach 7 (Figure 2a, Appendix A, Table A2). In reaches used as controls, where no in-channel flows were delivered (Reaches 1, 2, 3, and 6), changes in EVI2 between 2020 and 2022 ranged from decreases of 3.8% (Reach 1) to increases of 1.7% (Reach 2) (Appendix A, Table A2). Reach 3 was the only reach showing a decrease (2.4%) from 2020 to 2021; however, Reaches 1–6 decreased from 2021 to 2022 and ranged from decreases of 5.3% to 1.2% (Appendix A, Table A2). EVI2 in 2022 was lower than in 2021 for all reaches (Reaches 1–6), except Reach 7, which only increased by 0.002 between 2021 and 2022 (Appendix A, Table A2). Additionally, in 2021–2022, the average EVI2 in the control sites (Reaches 1, 2, 3, and 6) was 0.10 versus 0.12 in water delivery reaches (Reaches 4, 5, and 7) (Appendix A, Table A2).
Detrended EVI2 data are shown in Figure 2b. Values above zero indicate years and magnitudes in which EVI2 was above the long-term declining trend; values below zero indicate years and magnitudes when EVI2 was below the long-term declining trend. The detrended EVI2 for all reaches show higher-than-expected values in 2014 and 2015, except for Reach 3 in 2015. The detrended EVI2 for the in-stream water delivery reaches (Reaches 4, 5, and 7) show less than expected values from 2016 to 2019, except for Reach 4 which was lower from 2018 to 2019. Reaches 4, 5, 6, and 7 showed less-than-expected EVI2 values for 2020 and higher-than-expected EVI2 values for 2021–2022 (Figure 2b). Detrended Landsat 8 EVI2 residuals showed a departure from the long-term decline in 2021 and 2022 in all reaches, regardless of the delivery of in-channel flows (Figure 2b).
Restoration sites within Reach 4 were masked out and not used in Figure 3. Monthly EVI2 (Figure 3) for these unrestored reaches was higher in Reach 4 compared to Reaches 5–7. In Reach 4, the maximum monthly values occurred in August of 2020 (0.17), in September of 2021 (0.20), and October of 2022 (0.20). Peak growing season values were slightly higher in 2021 (0.17) and 2022 (0.16) compared to 2020 (0.15) (Figure 3).
Figure 3.
Monthly variation in EVI2 (greenness) from Landsat 8 OLI (30 m/98 ft resolution) in Reach 4 (blue line) (excluding restorations sites) and in the unrestored reaches, (5, 6, and 7, green, red, and yellow lines, respectively), and the average of the unrestored Reaches 4–7 (dashed black line) for years 2014–2022. Data generated during this study are published and available [26].
3.2. Actual Evapotranspiration (ETa) Estimates from Landsat 8 OLI
For ETa in the Results section, we use ET(EVI2) for clarity as to which ETa data method was used. Also, the errors in the remotely sensed calculations exceed the changes in the metrics we report. The results in Figure 4a are for Reaches 1–7 and are described for both the unrestored reaches which include restoration sites in Reaches 2 and 4 (Appendix A, Table A3, ET(EVI2) including restoration sites) and only unrestored reaches (Appendix A, Table A4, ET(EVI2) excluding restoration sites). Differences in ET(EVI2) in Reach 4 between the two masked areas (including and excluding the 2.7% area increase due to restoration) ranged from −2.1% to 5.0% (2014 to 2019) and varied from 9.3% (2020) to 8.4% (2021) to 8.2% (2022).
Figure 4.
Peak growing season (1 May to 30 October) ET(EVI2) (mm/day) from Landsat 8 OLI imagery (30 m/98 ft resolution) for years 2014–2022 for the riparian corridor for the seven Colorado River Delta reaches and the average of all reaches (all) with ET(EVI2) calculated with ETo calculated from AZMET [70] ((a) top bar plot) and detrended ET(EVI2) data ((b) bottom bar plot). Data generated during this study are published and available [26].
The average ET(EVI2) during the peak growing season was higher in 2020 than in 2021 and 2022 for all reaches (Figure 4a). The ET(EVI2) values in 2021 were higher than in 2022 for Reaches 1–6 (Appendix A, Table A3 and Table A4) due to there being a small difference in the values due the small area of restored sites included in Appendix A, Table A3. For Reach 7, the values were slightly greater in 2022 (1.59 mmd−1) than 2021 (1.58 mmd−1), with an increase of 0.6% (Figure 4a, Appendix A, Table A3 and Table A4). In reaches that received in-channel water deliveries (Reach 4, 5, and 7) the difference in ET(EVI2) between 2020 and 2022 ranged from a decrease of 0.25 mmd−1 (8.5%) to a decrease of 0.03 mmd−1 (2.1%) (Appendix A, Table A4). In the control reaches (Reaches 1, 2, 3, and 6), decreases in ET(EVI2) were observed since 2014, with a boost in ET(EVI2) in 2020 followed by decreases in 2021 and 2022. This was also observed for Reach 4. In Reaches 1–3, the difference in ET(EVI2) between 2020 and 2022 ranged from a decrease of 0.39 mmd−1 (14.1%) to a decrease of 0.21 mmd−1 (9.5%) (Appendix A, Table A4). In Reach 6, ET(EVI2) decreased 0.23 mmd−1 (10.6%) from 2020 to 2022 (Appendix A, Table A4).
ET(EVI2) continued to decrease in 2022 and was lower than 2021 in all reaches except Reach 7, which only increased by 0.5% or 0.008 mmd−1 (Appendix A, Table A4). ET(EVI2) was higher in reaches that received in-channel water deliveries (Reaches 4, 5, and 7) than in the control reaches (Reaches 1, 2, 3, and 6) in 2020 (higher by 4.1% or 0.26 mmd−1) and the in-channel water delivery years of 2021 and 2022 (higher by 6.2% or 0.36 mmd−1) (Appendix A, Table A4). The data in Appendix A, Table A4, show that in the control reaches (Reaches 1, 2, 3, and 6), ET(EVI2) decreased since 2014, with a boost in ET(EVI2) in 2020 followed by decreases in 2021 and 2022. This was also observed in Reach 4.
Detrended ET(EVI2) from Reach 4 (Figure 4b) shows positive values or increases during 2020 and 2021 and positive values during 2021 and 2022 in Reaches 5 and 7. The increases were also higher in control Reaches 1–3, which ranged from 0.1 mmd−1 to 0.4 mmd−1, than in the reaches that received water deliveries (Reaches 4, 5 and 7), which range from 0.02 mmd−1 to 0.16 mmd−1. Reach 6, a control site, also had positive residuals for 2020–2022, but these were less than in control Reaches 1–3, with the exception of Reach 3 in 2021 which showed a smaller residual than in Reach 6. Figure 4b depicts the water delivery years as positive, with the Minute 319 pulse flow in 2014 being the largest of the detrended ET(EVI2) residuals, followed by 2020, then 2021, and 2022, which are especially prominent in Reaches 1–3.
The monthly variation in ET(EVI2) (Figure 5) shows declines since 2017 for unrestored Reaches 5, 6, and 7. However, Reach 4 values increased from 2019 (3.8 mmd−1) to 2021 (4.1 mmd−1), although these values were still lower than in 2014 (the pulse flow year) when they nearly reached 4.9 mmd−1 in June. Reach 4 peaked at 4.7 mmd−1 in July of 2017 but has not been this high since then. Reach 7 recorded the lowest summer peak ET(EVI2) in 2019 (1.9 mmd−1), 2021 (1.9 mmd−1), and 2022 (1.9 mmd−1), with 2020 being slightly higher (2.0 mmd−1). For comparison, the years after 2014 ranged between 4.9 mmd−1 (Reach 4) and 2.8 mmd−1 (Reach 7) (Figure 5).
Figure 5.
Monthly variation in ET(EVI2) (mm/day) in unrestored reaches for years 2014–2022. The data correspond with Reach 4, which excludes restoration sites (blue line), Reaches 5, 6, and 7 (green, red, and yellow lines, respectively) and the average of Reaches 4–7 (dashed black line). Data generated during this study are published and available [26].
3.3. Changes in EVI2 and ET(EVI2) Using Difference Maps
Difference maps of the peak growing season (1 May to 30 October) EVI2 (Figure 6a–d) and ET(EVI2) (Figure 7a–d) in Reaches 4–7 of the Colorado River Delta reveal geographic areas in which landscape vegetation greenness (based on EVI2) and water use (based on ET(EVI2)) have changed between years. The years are labeled as the most recent minus a previous year (e.g., “2022–2021”). In each of these eight maps, the histograms display the frequency distribution of pixels, demonstrating either EVI2 or ET(EVI2) increases when values are higher than zero and decreases when values are less than zero.



Figure 6.
(a) Peak growing season (1 May to 30 October) EVI2 change over one year (2021–2020) in Reaches 4–7 of the Colorado River Delta. Change maps show differences between 2021 (first in-channel flow year) and 2020 (non-flow year). Boxes show histograms based on the frequency distribution of pixels demonstrating EVI2 change in the reaches that received in-channel water deliveries (Reach 4, 5 and 7) and values less than zero indicate a decrease in EVI2. (b) Peak growing season (1 May to 30 October) EVI2 change over two years (2021–2019) in Reaches 4–7 of the Colorado River Delta. Note: map legend and descriptions are the same as in the heading of Figure 6a. (c) Peak growing season (1 May to 30 October) EVI2 change over two years (2022–2020) in Reaches 4–7 of the Colorado River Delta. Note: map legend and descriptions are the same as in the heading of Figure 6a. (d) Peak growing season (1 May to 30 October) EVI2 change over one year (2022–2021) in Reaches 4–7 of the Colorado River Delta. Note: map legend and descriptions are the same as in the heading of Figure 6a. Data generated during this study are published and available [26].



Figure 7.
(a) Peak growing season (1 May to 30 October) ET(EVI2) change over one year (2021–2020) in Reaches 4–7 of the Colorado River Delta. Note: map legend and descriptions are the same as in the heading of Figure 6a. (b) Peak growing season (1 May to 30 October) ET(EVI2) change over two years (2021–2019) in Reaches 4–7 of the Colorado River Delta. Note: map legend and descriptions are the same as in the heading of Figure 6a. (c) Peak growing season (1 May to 30 October) ET(EVI2) change over two years (2022–2020) in Reaches 4–7 of the Colorado River Delta. Note: map legend and descriptions are the same as in the heading of Figure 6a. (d) Peak growing season (1 May to 30 October) ET(EVI2) change over one year (2022–2021) in Reaches 4–7 of the Colorado River Delta. Note: map legend and descriptions are the same as in the heading of Figure 6a. Data generated during this study are published and available [26].
Difference maps show geographic areas within the reaches that increased, decreased, or were unchanged in the pair of years compared. They also illustrate the substantial geographic variation in EVI2 and ET(EVI2) within reaches. The difference maps are especially useful in the larger reaches (Reaches 5 and 7), where averages can mask meaningful changes evident at finer geographic scales.
Figure 6a compares EVI2 over one year between 2021 (first in-channel flow year) and 2020 (non-flow year). Increases in greenness in 2021 were observed on the unrestored riparian corridor throughout Reach 4, both in the northern as well as the southern portion of Reach 4, and upstream of the Chausse water delivery site. Increases were also observed at the beginning of Reach 5, where the riparian vegetation is within a narrow boundary, the northern portion of Reach 6, where the Rio Hardy joins the Colorado River, at the northern part of Reach 7 in an area, where the flow spreads beyond the shallow channel, and in the area known as the kidney of Reach 7 (labeled in Figure 1). In this one-year interval, the southern portion of Reach 7 showed decreases in EVI2 (depicted as brown on the map) and some areas within the reaches did not change (depicted as yellow on the map) (Figure 6a). In this broader area, where the riparian corridor spreads out with the meandering river corridor, the dominant vegetation types are a mixture of arrowweed (Pluchea sericea) and tamarisk or saltcedar (Tamarix spp.). However, for most of the narrow riparian corridor (Reaches 4, 5, 6, and the upper portion of 7), the one-year (2020–2021) change indicates that 2021 has higher EVI2 values relative to 2020, which indicates a general increase in vegetation greenness (Figure 6a, Appendix A, Table A3).
Figure 6b compares EVI2 over two years between 2021 (first in-channel flow year) and 2019 (non-flow year). The 2021–2019 change map (Figure 6b) indicates that 2021 had similar EVI2 values to 2019 for most of the area within Reaches 5, 6, and 7, which indicates no change in vegetation greenness, although brownish regions indicate where greenness declined in some areas over this two-year period. The primary areas that increased in greenness were in the northern portions of Reaches 4, 5, 6, and 7 (Figure 6b), with Reach 7 depicting greenness increases in the kidney-shaped and spillover areas as also described in the one-year (2021–2020) change map. The end of the narrow portion of Reach 5 and the southern end of Reach 7 has visible brown, indicating pixels with decreases in greenness, and in the case of Reach 7, the pattern of decreases appears to be similar to the one-year (2021–2020) change map (Figure 6a).
Figure 6c compares EVI2 over two years between 2022 (second in-channel flow year) and 2020 (non-flow year). The 2022–2020 change map (Figure 6c) indicates that 2022 had similar EVI2 values to 2020 for most of the area within Reaches 4, 5, 6, and 7, which indicates no change in vegetation greenness (yellow color) over this two-year period. The end of the narrow portion of Reach 5 and the southern end of Reach 7 have less visible brown regions than in Figure 6b, indicating fewer pixels with decreases. This two-year change map demonstrates that this area is not decreasing in greenness as much as the prior two years between 2021 and 2019 (Figure 6b).
Figure 6d compares EVI2 over one year of change between 2022 (second in-channel flow year) and 2021 (first in-channel flow year). The 2022–2021 change map (Figure 6d) indicates that 2022 had similar EVI2 values to 2021 for most of the area within Reaches 5, 6, and 7, which indicates no change in vegetation greenness, although brownish regions indicate where greenness declined in some areas, including Reach 4 and the northern part of Reach 5 over this one-year period. The southern end of Reach 7 has more visible green areas, indicating more pixels with increases in this one-year period of change. This recent period of one-year change demonstrates that this area is no longer decreasing but increasing in greenness (Figure 6d).
Figure 7a compares ET(EVI2) over one year between 2021 (first in-channel flow year) and 2020 (non-flow year). Both restored sites and the unrestored riparian corridor within the lower portion of Reach 4 have similar values of ET(EVI2) in 2021 relative to 2020. From the histogram, Reach 4 has evenly distributed ET(ETI2) but, in Reaches 5 and 7, ET(EVI2) increases during this period. Reach 6 also has increases in plant water use near the northern portion. There are distinct decreases in water use in Reach 7, where dark-brown areas in the center of the “kidney” and the most southeastern portion of the reach show decreases in ET(EVI2). In this one-year interval, a large portion of Reach 7 shows increases in ET(EVI2) (depicted as green on the map), and some areas within the reaches do not change (depicted as yellow on the map) (Figure 7a).
Figure 7b compares ET(EVI2) over two years between 2021 (first in-channel flow year) and 2019 (non-flow year). The 2021–2019 change map (Figure 7b) indicates that 2021 had much greener regions with high water use and increases in ET(EVI2) values relative to 2019 for most of the area within Reach 4. Reaches 5, 6, and 7 have increases in ET(EVI2) as indicated by the histograms and by the increase in the green color on the map. There are only a few areas of decreased water use, in the end of the narrow portion of Reach 5 and in Reach 7, where lighter brown areas in the center of the “kidney” and the most southeastern portion of the reach show some decreases in ET(EVI2). Reach 7 also depicts greener areas in the spillover (beginning of Reach 7) and northern portion of the “kidney” areas, as also described in the one-year (2021–2020) change map (Figure 7a).
Figure 7c compares ET(EVI2) over two years between 2022 (second in-channel flow year) and 2020 (non-flow year). The 2022–2020 change map (Figure 7c) indicates that 2022 had decreases in ET(EVI2) for most of the area within Reach 4. ET(EVI2) values within the end of the narrow portion of Reach 5 increased in ET(EVI2) (green color) over this two-year period, which was the opposite of what Figure 7b showed for Reaches 4 and 5 for the other two-year period (2021–2019). Reach 7 is green and indicates more pixels with increased ET(EVI2), with the exception of some brown areas that have decreases in water use. This two-year change map demonstrates that this area is increasing in ET(EVI2) in different areas than as observed in the prior two years between 2021 and 2019 (Figure 7b).
Figure 7d compares ET(EVI2) over one year of change between 2022 (second in-channel flow year) and 2021 (first in-channel flow year). The 2022–2021 change map (Figure 7d) indicates that 2022 had increases in ET(EVI2) values compared to 2021 for most of the area within Reaches 5, 6, and 7. Reach 4 had some positive increases in ET(EVI2) but not throughout the whole reach; many pixels in Reach 4 were brown and indicated where water use declined over this one-year period. The southern end of Reach 7 had a more visible green color on the change map than the northern end of Reach 7, indicating more pixels with increases in ET(EVI2). This recent period of one-year change demonstrates that this area is no longer decreasing but instead increasing in vegetation water use (Figure 7d).
Table 2 shows the one-year increase in EVI2 of 9.2% observed in Reach 4, exclusive of the restoration sites (Appendix A, Table A3), which could indicate a local effect. When comparing Reaches 4, 5, and 7 to Reach 6 (control), the percent increase from the three reaches that received water deliveries in 2021 and 2022 was 7.9%, higher than the 5.8% in Reach 6. The two-year increase in EVI2 of 10.9% in Reach 7 was higher than the 7.1% in Reach 4; the average of the reaches receiving the in-stream water deliveries was 6.9% compared with 0.2% in Reach 6 (Table 2).
Table 2.
Percent change in Landsat NDVI, EVI, and EVI2 after the 2014 pulse flow and the 2021 in-channel water deliveries in the reaches. Note that the percent increases in the NDVI* are greater than the percent increases in EVI2 because the two methods differ in how they measure and mathematically scale greenness; therefore, they should not be directly compared and only one index/method should be used for time series analyses or change detection. Data generated during this study are published and available [26].
Figure 8 demonstrates the averaged EVI2 and Nagler ETa from 2014 to 2022 for restored sites (diamonds) and unrestored (triangles) reaches (averaged for all seven reaches, Reaches 1–7). Both metrics decrease over time in the unrestored reaches between 2014 and 2022, while the restored sites, averaged together, show increases in both vegetation greenness and the Nagler ETa, especially from 2018 to 2020. However, even the restored sites show declines in ETa in 2021 and 2022. In the restored sites, only vegetation greenness increases between 2018 and 2021, but declines slightly in 2022. This figure provides a summary of EVI2 and ETa annually and highlights the gap in these metrics between restored and unrestored sites.
Figure 8.
Nine years (2014–2022) of weighted average vegetation greenness (EVI2) and water use (Nagler ETa) for both restored sites in Reaches 2 and 4 and unrestored reaches (Reaches 1–7) in the Colorado River Delta. Data generated during this study are published and available [26].
4. Discussion
4.1. Response of EVI2 and ET(EVI2) to Water Deliveries in 2021 and 2022
The response of riparian vegetation to in-channel water deliveries in the Colorado River Delta was assessed using Landsat EVI2 data across different reaches. Our analysis revealed no significant variation in EVI2 values between the reaches that received water deliveries (Reaches 4, 5, and 7) and the control reaches (Reaches 1, 2, 3, and 6). Interestingly, all reaches, except for Reach 3, demonstrated positive EVI2 trends from 2020 to 2022, deviating from the declining trend observed from 2014 to 2019. This suggests a region-wide environmental influence [68], possibly independent of the water deliveries.
ET(EVI2), during the 2022 and 2021 peak growing seasons, was lower than the 2020 values in all seven reaches. The peak growing season ET(EVI2) was higher in Reach 4 than all other reaches in all years, ranging from ca. 3.5 to 3.9 mmd−1.
Detrended ET(EVI2) values for the control reaches that did not receive in-channel water deliveries (Reaches 1, 2, 3, and 6) were positive in 2020, 2021, and 2022. In 2020 (a non-flow year), ET(EVI2) residual values were positive in most reaches (Reaches 1, 2, 3, 4, and 6) and negative in Reaches 5 and 7. Detrended ET(EVI2) in 2021 and 2022 was positive only in two of the three reaches that received the water deliveries (Reaches 5 and 7) and was higher than in 2020, in which year the values were near zero. Reach 4 was negative in 2022 and was the only detrended ET(EVI2) negative value that year. Albano et al. [76] noted that recent trends in ETo within the Lower Colorado River region exhibit some of the most significant increases across the U.S., with deviations ranging from 135 to 235 mm from the 1980 to 2000 baseline [76]. These notable rises in ETo are attributed to a combination of increased temperatures, shifts towards a higher vapor pressure deficit (VPD), and alterations in land management practices. The changes have led to an estimated 15–35% increase in crop water requirements, a significant concern for agricultural water management [76]. These changes in ETo are primarily driven by temperature increases and atmospheric demand changes, which are reshaping hydroclimatic conditions in the Lower Colorado River Basin [55].
Using the years 2019 to 2022 to map one- and two-year changes in both EVI2 and ET(EVI2), a zone in Reach 7 where the in-channel flow spilled over the shallow channel’s banks increased in 2021 and 2022.
The Reach 7 patch of increased greenness is in an area where the main channel is shallow, and the flows spill over the low banks of the river. This spillover provided additional water to the arrowweed (Pluchea sericea), tamarisk (Tamarix spp.), mesquite (Prosopis spp.), remnant willow (Salix spp.), and cottonwoods (Populus spp.) of the area. The greener patch in the upper portion of Reach 5 is due to the channel being shallow and similar to a braided reach. Reach 7 is mainly a mix of tamarisk, arroweed, and a few mesquite shrubs.
4.2. Comparison with the 2014 Pulse Flow
The use of EVI2 over NDVI* aligns with recent advancements in remote sensing applications for arid ecosystems [12,13,14]. The NDVI* was used for the Minute 319 science and monitoring report following the 2014 pulse flow [12,13,14] because the enhanced indices (EVI and EVI2) were used only with MODIS [32,33] and for VI-based ETa [38,39,40]; NDVI* followed methods for correcting satellite data for change analyses typically used for ecohydrology [79]. Shanafield et al. [30] used MODIS to study the effects of the pulse flow on ETa. A comparative study in 2020 used both Landsat and MODIS and EVI and EVI2 in the Colorado River Delta [13]. These studies made using the enhanced indices practical for use in the Delta studies that use Landsat [13,31]. Nevertheless, using these enhanced indices in arid systems with low vegetation density has liabilities because EVI generally performs better in densely vegetated areas [31,38,39,40]. The basis for using EVI2 over a sparsely vegetated area is countered by the EVI2 strength at addressing soil color/background signal/noise [31,32,33,34,35]. NDVI* addresses the effects of soil and other factors by mathematically stretching values between in-scene bare soil and saturation, making it less practical for automation [31]. EVI2 is more stable over open canopies and differing soil colors and has a smaller dynamic range, which means it can underestimate responses [31].
Although our data are from 2014 to 2022, the percent change between NDVI and EVI2 between the years were used to compare the 2013 (no pulse flow) to the 2014 pulse flow year and the changes between 2020 (no in-channel flows) and 2021 (with in-channel flows) (Table 2). Although there was a 1.3% increase in greenness from 2020 to 2021 in Reaches 1–3, an even larger increase happened a year earlier in 2020 (Figure 2a, Table 1). This increase could have been a response to in-channel deliveries that occurred during the Main Outlet Drain Extension (MODE) canal repairs in the fall of 2019 and early during the spring of 2020 when excess flows were delivered through the Morelos Dam at the Northerly International Border (at the start of Reach 1) and at km 27 (at the start of Reach 3) [80]. Importantly, a decrease of 1.5% in EVI2 was observed over the two-year period 2022–2020.
These EVI2 data in Table 2, and the summary of NDVI* and EVI values from other studies [12,14], suggest the vegetation response to in-channel water deliveries can vary depending on the location of the delivery points, the volume, and the timing of the deliveries. Compared to the 2021 and 2022 in-channel deliveries within Reach 4, the 2014 pulse flow delivered a larger volume over the Morelos Dam into Reach 1 during the early growing season. This delivery benefited mostly Reaches 1–3 according to both studies from 2013 (before the pulse flow), which reported NDVI* and EVI data (Table 2). By contrast, the 2021 and 2022 water deliveries were smaller in volume (35.3 hm3 or 28.641 ac-ft), longer in duration, and later in the growing season; they were delivered to Reach 4 (Figure 1). Some of these factors may have resulted in the modest response from the vegetation in Reaches 4, 5, and 7 in comparison with the NDVI* and EVI2 responses in Reaches 1–3 to the 2014 pulse flow.
In 2014, greenness increased in Reaches 1, 2, 3, 6, and 7. Reaches 1, 2, and 3 received most of the water released from the Morelos Dam in 2014. Note that the percent increases in the NDVI* are greater than the percent increases in EVI2 because the two methods differ in how they measure and mathematically scale greenness; therefore, they should not be directly compared, and only one index/method should be used for time series analyses or change detection. A comprehensive description of the NDVI* scaling technique is found in Groeneveld and Baugh [79]. NDVI* applies a post hoc calculation that mathematically re-scales NDVI values between a scene-based baseline value of 0 (corresponding to bare soil) and 1 (saturation; corresponding to verdant agricultural fields), thereby removing inter-scene variability thought to be due to differences in atmospheric opacity, soil, and other factors; however, this technique is difficult to automate because it requires identifying bare soil and saturated pixels in each scene, which may not be available. EVI2 does not undergo a similar post hoc scaling process, making it more conducive to automation, while correcting for effects of soil background. Because EVI2 is not scaled, it is generally expected to be lower than NDVI*. The transition to using EVI2, as opposed to NDVI*, aligns with the evolution of remote sensing applications, leveraging the strengths of EVI2 in distinguishing vegetative signals from background noise, especially in arid landscapes with sparse vegetation [16]. While NDVI* has been proven effective in its specific scaling method to address soil and atmospheric variability, EVI2 offers a more automated and consistent approach for remote sensing studies in the Colorado River Delta [34,35].
Our comparative analysis of vegetation response using EVI2 indicates that the in-channel water deliveries in 2021 and 2022 elicited varied responses based on delivery points and timing, one of the goals of this novel study. These findings contrast with the more pronounced greenness increase observed during the 2014 pulse flow, which benefited Reaches 1–3 significantly [12,13,14]. The modest responses in Reaches 4, 5, and 7 in 2021 and 2022 can be attributed to the smaller volume and later season timing of water deliveries compared to the substantial volume delivered in 2014. Despite differences in VIs, the overall trend suggests that water delivery strategies play a critical role in the response of riparian ecosystems. The observed changes in Reaches 1–3 during the 2014 pulse flow and the subsequent water deliveries underscore the potential for strategic water management in arid environments to benefit and enhance riparian vegetation health.
4.3. Methodological Considerations and Future Directions
Our study highlights the importance of selecting appropriate VIs based on the landscape and objectives. While EVI2 offers advantages in automation and stability over diverse soil backgrounds, future studies may consider the dynamic range and potential underestimation of vegetation responses as described for riparian zones [31]. Additionally, the apparent anomalies in vegetation response, such as in Reach 5, prompt further investigation into hydrological dynamics and vegetation resilience. Importantly, there is a need for additional years of data to test whether the meteorological variables from the Yuma Valley AZMET station [70], which demonstrated insignificant increases in haze and clouds, were the primary reason for diminished ETo, and therefore an opposing trend in the Nagler ETa compared with EVI2, was observed. Further research could also explore the long-term ecological impacts of water delivery regimes, incorporating more comprehensive datasets and robust methodological frameworks. The integration of Landsat EVI2 with other satellite data, such as Sentinel-2, could provide a richer understanding of the spatial and temporal dynamics of riparian ecosystems in response to water management practices.
There are a few important considerations regarding the development and application of the Nagler ETa or ET(EVI2) in riparian corridors. First, ET(EVI2) comparisons have been made in nearby riparian reaches on the U.S. portion of the Lower Colorado River using the Nagler ETa and one of the thermal infrared (TIR)/energy balance ETa models on OpenET [81] which is the Operational Simplified Surface Energy Balance (SSEBop) model [82]. In a comparison study of VI-based ET and thermal infrared (TIR)-based ET in the Lower Colorado River riparian corridor, the SSEBop data for each of five riparian reaches, including restoration sites, but with the majority of the river reach being unrestored riparian cover, was consistently lower than the Nagler ETa method [83]. Second, a test of the SSEBop [82], the Nagler ETa, and ET(EVI2) on Google Earth Engine (GEE) [80] later defined in Abbasi et al. (2023) [84], was also conducted for the riparian zones, with ET(EVI2) on GEE [84] results midway between SSEBop (lowest) and the Nagler ETa (highest) [83]. One reason for these data may possibly be due to the 100 m thermal band resolution of SSEBop which may not capture the higher resolution of Landsat within the riparian corridor [83]. Third, the adjacent agricultural lands within the bottomlands on the U.S. side of the Lower Colorado River were extracted along these same five riparian reaches and compared with a gridded version of the Nagler ETa, which was developed using moisture flux towers in several countries, and now contains a correction coefficient = 1.5125 [84]; the new equation is called METEVI2 [84]. The METEVI2 for the adjacent agricultural lands was then compared with all six models on the OpenET platform (Melton et al. [81]), which primarily utilizes TIR/energy balance models, as well as an ensemble of the six options. This flux tower verified the ETa version, METEVI2, which was also tested against the observed ETa of wheat for the growing season of 2017–2018, which showed rates that were comparable to ETa estimated by OpenET methods (2017–2021) and had similar monthly ETa patterns with varying magnitudes [84]. Thus, there is a higher-resolution ETa method comparable with the ensemble and individual models provided on OpenET. Given this, a primary future direction could be to compute METEVI2 using GEE for the riparian reaches in the Delta.
5. Conclusions
This was the first remotely sensed study in the unrestored riparian corridor of the Colorado River Delta for the period 2014–2022 that describes the response of riparian vegetation greenness and water use to added water as both the environmental pulse flow into Reach 1 and the in-channel water deliveries at four locations in Reach 4. In summary, the 2021 and 2022 water deliveries, when compared with the 2014 pulse flow, highlight the nuanced and complex nature of riparian ecosystem responses to water management. These findings underscore the potential usefulness of comprehensive approaches that consider the diverse factors influencing these ecosystems.
Since we only focused on nine years of remotely sensed monitoring data and explored just the initial responses to the recent two years (2021–2022) of in-stream water delivered to Reach 4, it is important to make the readers aware that riparian restoration could require a longer implementation phase before managers can conclude that efforts are worthwhile and/or have a positive effect, so monitoring in the Colorado River Delta riparian corridor will continue through 2026 under Minute 323. This assessment is a critical step in the long-term monitoring process because it demonstrates that although minor, increases in greenness were observed in six reaches (not Reach 3) in 2021 and in five reaches (Reaches 2, 4, 5, 6, and 7) in 2022; however, water use decreased in all reaches in 2021 and further decreased in 2022, which may be due to the calculations of ETo, or specifically, the location of the AZMET Yuma Valley station relative to the seven reaches south of it.
These are the first findings of vegetation response in the unrestored riparian corridor to the in-channel water that was delivered to Reach 4 in 2021 and 2022, which are results that critically influence timing, amount, and delivery point future decisions for resource managers invested in the restoration of this riparian ecosystem. Reaches that received water deliveries in 2021 and 2022 (Reaches 4, 5, and 7) did not differ in their EVI2 and ET(EVI2) responses from the reaches (Reaches 1, 2, 3, and 6) that did not receive in-channel flows. Increases in greenness were not restricted to those reaches that received water deliveries. Decreases in plant water use occurred throughout the floodplain. Detrended ET(EVI2) values were positive in both 2020 and 2021 in all the reaches and were higher during 2020, a non-flow year. Observations of vegetation greenness in the unrestored riparian corridor increased in 2021–2022, which were higher than the previous year (2020); decreases in water use were observed in 2021 and 2022 compared with 2020. The greenness minimally increased and the water use decreased in 2021–2022 for all reaches compared with 2020. Water use was surprisingly greater in the year prior to the first in-stream release (in 2020), possibly due to the added water in the last months of 2019 in the MODE canal. The EVI2 and ET(EVI2) difference maps that compare the 2020 no-flow year to the 2021 or 2022 in-channel flow years indicate that the in-channel flows increased greenness and ET(EVI2) in two small areas: in the upper portion of Reach 5 and in the upper portion of Reach 7.
The primary contributions to this well-studied region are the new results regarding the effectiveness of in-stream water deliveries to Reach 4 in 2021 and 2022 on restoring the ecohydrology of the riparian corridor, both the restored sites and the unrestored corridor. However, despite the findings that restoration is working in the Delta in terms of plant growth, canopy greenness, longer phenological seasons, and increasing plant water use associated with healthy shrub and tree canopies [7,8,9], there are research limitations. One limitation is the lack of clarity regarding why ET(EVI2) in 2021 and 2022 in all reaches is not greater than in 2020, despite increases in greenness being observed during these in-stream water deliveries in four locations of Reach 4. A future investigation into ways of improving ETo estimations could be beneficial to the research in this region; perhaps the use of gridded meteorological data, such as from Daymet, for inputs into the ET(EVI2) equation or other sources of ETo would improve the estimation of ET(EVI2). Also, one drawback of estimating ET(EVI2) in Mexico is the current use of ETo from AZMET, a meteorological station in Yuma Valley, Arizona, and the nearest one measuring the needed variables for the full time period. Future research would benefit from the inclusion of projections for EVI2 and ET(EVI2) in relation to climate change (i.e., using drought indices or weather data) similar to previously published information [4]. Only the measurements of these metrics and the monitoring of their progress over time is reported, not the scientific reasons for changes that could be due to the defoliation of green leaves from beetles, salinity limitations, and the increasing number of high-temperature days, for example. Vegetation response is influenced by various factors such as groundwater, precipitation, and adjacent irrigation. However, these factors are beyond the scope of this study and are therefore not evaluated. This study is based on data production and monitoring alone and does not yet provide any statistical analyses or information about causes for the observations. The error related to the two metrics we estimated and calculated, EVI2 and ET(EVI2), respectively, generally is in the order of 15–25% error from ground measurements [85], and this fraction of error is decreasing with the onset of new instrumentation, methods, and tools. Furthermore, we did not use either type of atmospheric moisture flux towers in this research, but the ET(EVI2) equation we developed and applied to this research was based on the accuracy of the ETa predictions and was within the error and uncertainty range inherent in the flux tower measurements of ETa from which the equation used was based [85]. One limitation is not using prediction datasets. In future research using the Delta remotely sensed datasets, a study could include predictions for EVI2 and ET(EVI2).
These findings support ongoing research and monitoring efforts under Minute 323, which enhance the understanding of the impacts of environmental flows on riparian health. New data are provided which support critical ecohydrological research assessments and monitoring efforts in the region, aiding government agencies, NGOs, tribal nations, and various stakeholders involved in conservation efforts with both economic and ecological benefits.
Author Contributions
Conceptualization, P.L.N.; methodology, K.D., A.B.-M., C.J.J. and P.L.N.; software, K.D., A.B.-M. and I.S.; validation, P.L.N.; formal analysis, P.L.N., A.B.-M., I.S. and M.G.-S.; investigation, P.L.N.; resources, P.L.N.; data curation, A.B.-M. and I.S.; writing—original draft preparation, P.L.N.; writing—review and editing, P.L.N., I.S., M.G.-S., K.F. and C.J.J.; visualization, I.S., A.B.-M., C.J.J., M.G.-S. and P.L.N.; supervision, P.L.N. and K.D.; project administration, P.L.N. and K.D.; funding acquisition, P.L.N. All authors have read and agreed to the published version of the manuscript.
Funding
Funding was provided by the U.S. Geological Survey (USGS) under Ecosystems Invasive Species Program and the Desert Southwest Cooperative Ecosystem Studies Unit agreement #G18AC00321 (P.I. Nagler and P.I. Didan) and National Aeronautics and Space Administration agreement #80NSSC18K0617 (P.I. Didan).
Data Availability Statement
Data generated during this study are published and available from Nagler et al. (2023) [26].
Acknowledgments
This research is dedicated to Edward Glenn, who guided Pamela Nagler through the Colorado River Delta on many trips and mentored her for two decades (1998 to 2017). The authors continue to be inspired by this delightful region and it is our pleasure to continue providing analysis of the ongoing research and monitoring activities in these riparian zones. We are grateful to Alissa White from the U.S. Geological Survey, Arizona Water Science Center, and to other reviewers for suggesting important changes to the organization of this manuscript that improved its readability. Any use of trade, firm, or product names is for descriptive purposes only and does not imply endorsement by the U.S. Government.
Conflicts of Interest
Pamela Nagler is an Associate Editor for the Remote Sensing journal, the Biogeosciences Remote Sensing section. All other authors declare no conflicts of interest. The funders had no role in the design of the study; in the collection, analyses, or interpretation of data; in the writing of the manuscript; or in the decision to publish the results.
Appendix A
Table A1.
Plant greenness (EVI2) peak growing season (1 May–30 October) numerical data for the Colorado River Delta by year (2014–2022), standard error, and percent change between years (eight 1 year and two 2 year periods) for the riparian corridor, including restored sites in Reaches 2 and 4, by reach area (Reaches 1–7) and the weighted average of all reaches (All). Data generated during this study are published and available [26].
Table A1.
Plant greenness (EVI2) peak growing season (1 May–30 October) numerical data for the Colorado River Delta by year (2014–2022), standard error, and percent change between years (eight 1 year and two 2 year periods) for the riparian corridor, including restored sites in Reaches 2 and 4, by reach area (Reaches 1–7) and the weighted average of all reaches (All). Data generated during this study are published and available [26].
| EVI2 for the Colorado River Delta (Including Restoration Sites) | ||||||||
|---|---|---|---|---|---|---|---|---|
| EVI2 | ||||||||
| Year | Reach 1 | Reach 2 | Reach 3 | Reach 4 | Reach 5 | Reach 6 | Reach 7 | All |
| 2014 | 0.170 | 0.117 | 0.102 | 0.190 | 0.159 | 0.128 | 0.102 | 0.126 |
| 2015 | 0.147 | 0.106 | 0.087 | 0.186 | 0.144 | 0.121 | 0.089 | 0.113 |
| 2016 | 0.130 | 0.097 | 0.079 | 0.184 | 0.125 | 0.111 | 0.078 | 0.101 |
| 2017 | 0.118 | 0.089 | 0.083 | 0.185 | 0.127 | 0.110 | 0.080 | 0.102 |
| 2018 | 0.113 | 0.083 | 0.081 | 0.173 | 0.121 | 0.105 | 0.078 | 0.098 |
| 2019 | 0.098 | 0.074 | 0.072 | 0.167 | 0.115 | 0.097 | 0.072 | 0.091 |
| 2020 | 0.128 | 0.097 | 0.087 | 0.170 | 0.103 | 0.096 | 0.068 | 0.090 |
| 2021 | 0.129 | 0.102 | 0.085 | 0.184 | 0.110 | 0.102 | 0.073 | 0.095 |
| 2022 | 0.123 | 0.098 | 0.084 | 0.180 | 0.106 | 0.096 | 0.075 | 0.094 |
| Std. Error | ||||||||
| Year | Reach 1 | Reach 2 | Reach 3 | Reach 4 | Reach 5 | Reach 6 | Reach 7 | All |
| 2014 | 0.003 | 0.002 | 0.003 | 0.004 | 0.003 | 0.004 | 0.003 | 0.003 |
| 2015 | 0.003 | 0.003 | 0.001 | 0.001 | 0.002 | 0.001 | 0.001 | 0.001 |
| 2016 | 0.002 | 0.002 | 0.001 | 0.001 | 0.002 | 0.002 | 0.001 | 0.001 |
| 2017 | 0.003 | 0.003 | 0.002 | 0.002 | 0.002 | 0.002 | 0.001 | 0.001 |
| 2018 | 0.002 | 0.002 | 0.002 | 0.002 | 0.002 | 0.002 | 0.002 | 0.002 |
| 2019 | 0.002 | 0.001 | 0.001 | 0.002 | 0.001 | 0.001 | 0.002 | 0.001 |
| 2020 | 0.002 | 0.002 | 0.002 | 0.001 | 0.001 | 0.001 | 0.001 | 0.001 |
| 2021 | 0.002 | 0.003 | 0.002 | 0.004 | 0.002 | 0.002 | 0.002 | 0.002 |
| 2022 | 0.002 | 0.001 | 0.001 | 0.004 | 0.002 | 0.002 | 0.001 | 0.002 |
| EVI2 % Change | ||||||||
| Reach 1 | Reach 2 | Reach 3 | Reach 4 | Reach 5 | Reach 6 | Reach 7 | All | |
| A Year Change | ||||||||
| 2015–2014 | −13.68% | −9.48% | −15.18% | −1.69% | −9.62% | −5.28% | −13.36% | −10.74% |
| 2016–2015 | −11.13% | −8.28% | −8.88% | −1.19% | −13.36% | −8.55% | −12.20% | −10.85% |
| 2017–2016 | −9.37% | −8.47% | 4.72% | 0.73% | 2.16% | −0.35% | 3.57% | 1.44% |
| 2018–2017 | −4.31% | −6.94% | −2.59% | −6.50% | −5.43% | −4.97% | −3.39% | −4.51% |
| 2019–2018 | −13.05% | −10.49% | −10.15% | −3.97% | −4.27% | −6.93% | −7.35% | −6.73% |
| 2020–2019 | 29.96% | 30.37% | 19.77% | 1.90% | −10.39% | −1.47% | −5.90% | −1.33% |
| 2021–2020 | 0.81% | 5.54% | −2.38% | 8.32% | 6.86% | 5.80% | 7.45% | 5.77% |
| 2022–2021 | −4.54% | −3.63% | −1.23% | −2.26% | −3.79% | −5.27% | 3.15% | −1.15% |
| Two-Tear Change | ||||||||
| 2021–2019 | 31.01% | 37.59% | 16.93% | 10.38% | −4.24% | 4.24% | 1.11% | 4.37% |
| 2022–2020 | −3.76% | 1.70% | −3.58% | 5.88% | 2.80% | 0.23% | 10.84% | 4.56% |
Table A2.
Plant greenness (EVI2) peak growing season (1 May–30 October) numerical data for the Colorado River Delta by year (2014–2022), standard error, and percent change between years (eight 1 year and two 2 year periods) for reach area (Reaches 1–7), excluding restoration sites in Reaches 2 and 4, and the weighted average of all reaches (all). Data generated during this study are published and available [26].
Table A2.
Plant greenness (EVI2) peak growing season (1 May–30 October) numerical data for the Colorado River Delta by year (2014–2022), standard error, and percent change between years (eight 1 year and two 2 year periods) for reach area (Reaches 1–7), excluding restoration sites in Reaches 2 and 4, and the weighted average of all reaches (all). Data generated during this study are published and available [26].
| EVI2 for the Colorado River Delta (Only Unrestored/Excluding Restoration Sites) | ||||||||
|---|---|---|---|---|---|---|---|---|
| EVI2 | ||||||||
| Year | Reach 1 | Reach 2 | Reach 3 | Reach 4 | Reach 5 | Reach 6 | Reach 7 | All |
| 2014 | 0.170 | 0.122 | 0.102 | 0.194 | 0.159 | 0.128 | 0.102 | 0.125 |
| 2015 | 0.147 | 0.111 | 0.087 | 0.183 | 0.144 | 0.121 | 0.089 | 0.111 |
| 2016 | 0.130 | 0.100 | 0.079 | 0.177 | 0.125 | 0.111 | 0.078 | 0.099 |
| 2017 | 0.118 | 0.090 | 0.083 | 0.177 | 0.127 | 0.110 | 0.080 | 0.100 |
| 2018 | 0.113 | 0.083 | 0.081 | 0.168 | 0.121 | 0.105 | 0.078 | 0.096 |
| 2019 | 0.098 | 0.072 | 0.072 | 0.156 | 0.115 | 0.097 | 0.072 | 0.089 |
| 2020 | 0.128 | 0.089 | 0.087 | 0.152 | 0.103 | 0.096 | 0.068 | 0.087 |
| 2021 | 0.129 | 0.094 | 0.085 | 0.166 | 0.110 | 0.102 | 0.073 | 0.092 |
| 2022 | 0.123 | 0.091 | 0.084 | 0.162 | 0.106 | 0.096 | 0.075 | 0.091 |
| Std. Error | ||||||||
| Year | Reach 1 | Reach 2 | Reach 3 | Reach 4 | Reach 5 | Reach 6 | Reach 7 | All |
| 2014 | 0.003 | 0.002 | 0.003 | 0.004 | 0.003 | 0.004 | 0.003 | 0.003 |
| 2015 | 0.003 | 0.003 | 0.001 | 0.001 | 0.002 | 0.001 | 0.001 | 0.001 |
| 2016 | 0.002 | 0.002 | 0.001 | 0.002 | 0.002 | 0.002 | 0.001 | 0.001 |
| 2017 | 0.003 | 0.002 | 0.002 | 0.002 | 0.002 | 0.002 | 0.001 | 0.001 |
| 2018 | 0.002 | 0.002 | 0.002 | 0.002 | 0.002 | 0.002 | 0.002 | 0.002 |
| 2019 | 0.002 | 0.001 | 0.001 | 0.002 | 0.001 | 0.001 | 0.002 | 0.001 |
| 2020 | 0.002 | 0.002 | 0.002 | 0.001 | 0.001 | 0.001 | 0.001 | 0.001 |
| 2021 | 0.002 | 0.003 | 0.002 | 0.003 | 0.002 | 0.002 | 0.002 | 0.002 |
| 2022 | 0.002 | 0.001 | 0.001 | 0.004 | 0.002 | 0.002 | 0.001 | 0.001 |
| EVI2 % Change | ||||||||
| Reach 1 | Reach 2 | Reach 3 | Reach 4 | Reach 5 | Reach 6 | Reach 7 | All | |
| A Year Change | ||||||||
| 2015–2014 | −13.68% | −9.20% | −15.18% | −5.70% | −9.62% | −5.28% | −13.36% | −11.23% |
| 2016–2015 | −11.13% | −9.42% | −8.88% | −2.81% | −13.36% | −8.55% | −12.20% | −11.32% |
| 2017–2016 | −9.37% | −9.85% | 4.72% | −0.19% | 2.16% | −0.35% | 3.57% | 1.42% |
| 2018–2017 | −4.31% | −7.55% | −2.59% | −5.35% | −5.43% | −4.97% | −3.39% | −4.36% |
| 2019–2018 | −13.05% | −13.68% | −10.15% | −6.94% | −4.27% | −6.93% | −7.35% | −7.06% |
| 2020–2019 | 29.96% | 23.35% | 19.77% | −2.80% | −10.39% | −1.47% | −5.90% | −2.01% |
| 2021–2020 | 0.81% | 5.71% | −2.38% | 9.22% | 6.86% | 5.80% | 7.45% | 5.71% |
| 2022–2021 | −4.54% | −2.65% | −1.23% | −1.97% | −3.79% | −5.27% | 3.15% | −1.04% |
| Two-Year Change | ||||||||
| 2021–2019 | 31.01% | 30.39% | 16.93% | 6.17% | −4.24% | 4.24% | 1.11% | 3.59% |
| 2022–2020 | −3.76% | 2.90% | −3.58% | 7.07% | 2.80% | 0.23% | 10.84% | 4.62% |
Table A3.
Plant water use (ET(EVI2)) peak growing season (1 May–30 October) numerical data for the Colorado River Delta by year (2014–2022), standard error, and percent change between years (eight 1 year and two 2 year periods) for the riparian corridor, including restored sites in Reaches 2 and 4, by reach area (Reaches 1–7) and the weighted average of all reaches (all). Data generated during this study are published and available [26].
Table A3.
Plant water use (ET(EVI2)) peak growing season (1 May–30 October) numerical data for the Colorado River Delta by year (2014–2022), standard error, and percent change between years (eight 1 year and two 2 year periods) for the riparian corridor, including restored sites in Reaches 2 and 4, by reach area (Reaches 1–7) and the weighted average of all reaches (all). Data generated during this study are published and available [26].
| ET(EVI2) for the Colorado River Delta (Including Restoration Sites) | ||||||||
|---|---|---|---|---|---|---|---|---|
| ET(EVI2) | ||||||||
| Year | Reach 1 | Reach 2 | Reach 3 | Reach 4 | Reach 5 | Reach 6 | Reach 7 | All |
| 2014 | 3.490 | 2.524 | 2.225 | 3.899 | 3.367 | 2.751 | 2.266 | 2.722 |
| 2015 | 2.833 | 2.104 | 1.775 | 3.542 | 2.871 | 2.441 | 1.871 | 2.292 |
| 2016 | 2.775 | 2.139 | 1.765 | 3.825 | 2.745 | 2.409 | 1.815 | 2.246 |
| 2017 | 2.542 | 1.976 | 1.839 | 3.711 | 2.722 | 2.342 | 1.797 | 2.212 |
| 2018 | 2.391 | 1.786 | 1.749 | 3.449 | 2.520 | 2.187 | 1.713 | 2.078 |
| 2019 | 2.139 | 1.633 | 1.610 | 3.457 | 2.525 | 2.135 | 1.643 | 2.013 |
| 2020 | 2.783 | 2.166 | 1.975 | 3.636 | 2.364 | 2.183 | 1.619 | 2.060 |
| 2021 | 2.550 | 2.076 | 1.761 | 3.524 | 2.289 | 2.081 | 1.577 | 1.973 |
| 2022 | 2.392 | 1.961 | 1.705 | 3.387 | 2.164 | 1.951 | 1.586 | 1.914 |
| Std. Error | ||||||||
| Year | Reach 1 | Reach 2 | Reach 3 | Reach 4 | Reach 5 | Reach 6 | Reach 7 | All |
| 2014 | 0.266 | 0.194 | 0.165 | 0.268 | 0.219 | 0.170 | 0.162 | 0.187 |
| 2015 | 0.160 | 0.106 | 0.124 | 0.212 | 0.188 | 0.159 | 0.127 | 0.148 |
| 2016 | 0.245 | 0.196 | 0.163 | 0.284 | 0.206 | 0.163 | 0.150 | 0.177 |
| 2017 | 0.134 | 0.125 | 0.117 | 0.249 | 0.201 | 0.165 | 0.134 | 0.155 |
| 2018 | 0.145 | 0.113 | 0.126 | 0.220 | 0.168 | 0.146 | 0.124 | 0.140 |
| 2019 | 0.125 | 0.098 | 0.099 | 0.182 | 0.131 | 0.118 | 0.098 | 0.112 |
| 2020 | 0.212 | 0.161 | 0.144 | 0.231 | 0.148 | 0.147 | 0.112 | 0.137 |
| 2021 | 0.198 | 0.172 | 0.142 | 0.202 | 0.141 | 0.122 | 0.094 | 0.122 |
| 2022 | 0.151 | 0.128 | 0.117 | 0.167 | 0.107 | 0.093 | 0.088 | 0.102 |
| ET(EVI2)% Change | ||||||||
| Reach 1 | Reach 2 | Reach 3 | Reach 4 | Reach 5 | Reach 6 | Reach 7 | All | |
| A Year Change | ||||||||
| 2015–2014 | −18.84% | −16.65% | −20.21% | −9.14% | −14.73% | −11.26% | −17.44% | −15.82% |
| 2016–2015 | −2.04% | 1.66% | −0.59% | 7.98% | −4.39% | −1.31% | −2.97% | −1.99% |
| 2017–2016 | −8.40% | −7.61% | 4.17% | −2.98% | −0.82% | −2.79% | −1.01% | −1.54% |
| 2018–2017 | −5.94% | −9.60% | −4.88% | −7.06% | −7.44% | −6.60% | −4.64% | −6.05% |
| 2019–2018 | −10.54% | −8.58% | −7.96% | 0.24% | 0.21% | −2.38% | −4.09% | −3.13% |
| 2020–2019 | 30.15% | 32.63% | 22.69% | 5.18% | −6.37% | 2.25% | −1.47% | 2.34% |
| 2021–2020 | −8.38% | −4.16% | −10.85% | −3.10% | −3.21% | −4.69% | −2.59% | −4.20% |
| 2022–2021 | −6.18% | −5.54% | −3.19% | −3.89% | −5.43% | −6.22% | 0.53% | −3.03% |
| Two-Year Change | ||||||||
| 2021–2019 | 19.24% | 27.12% | 9.39% | 1.91% | −9.37% | −2.55% | −4.02% | −1.95% |
| 2022–2020 | −14.05% | −9.47% | −13.69% | −6.87% | −8.46% | −10.62% | −2.08% | −7.10% |
Table A4.
Plant water use (ET(EVI2)) peak growing season (1 May–30 October) numerical data for the Colorado River Delta by year (2014–2022), standard error, percent change between years (eight 1 year and two 2 year periods) for the riparian corridor by reach area (Reaches 1–7), excluding restoration sites in Reaches 2 and 4, and the weighted average of all reaches (all). Data generated during this study are published and available [26].
Table A4.
Plant water use (ET(EVI2)) peak growing season (1 May–30 October) numerical data for the Colorado River Delta by year (2014–2022), standard error, percent change between years (eight 1 year and two 2 year periods) for the riparian corridor by reach area (Reaches 1–7), excluding restoration sites in Reaches 2 and 4, and the weighted average of all reaches (all). Data generated during this study are published and available [26].
| ET(EVI2) for the Colorado River Delta (Only Unrestored/Excluding Restoration Sites) | ||||||||
|---|---|---|---|---|---|---|---|---|
| ET(EVI2) | ||||||||
| Year | Reach 1 | Reach 2 | Reach 3 | Reach 4 | Reach 5 | Reach 6 | Reach 7 | All |
| 2014 | 3.490 | 2.612 | 2.225 | 3.981 | 3.367 | 2.751 | 2.266 | 2.704 |
| 2015 | 2.833 | 2.189 | 1.775 | 3.503 | 2.871 | 2.441 | 1.871 | 2.267 |
| 2016 | 2.775 | 2.197 | 1.765 | 3.723 | 2.745 | 2.409 | 1.815 | 2.212 |
| 2017 | 2.542 | 1.999 | 1.839 | 3.584 | 2.722 | 2.342 | 1.797 | 2.178 |
| 2018 | 2.391 | 1.798 | 1.749 | 3.366 | 2.520 | 2.187 | 1.713 | 2.048 |
| 2019 | 2.139 | 1.584 | 1.610 | 3.293 | 2.525 | 2.135 | 1.643 | 1.978 |
| 2020 | 2.783 | 2.000 | 1.975 | 3.327 | 2.364 | 2.183 | 1.619 | 2.013 |
| 2021 | 2.550 | 1.923 | 1.761 | 3.251 | 2.289 | 2.081 | 1.577 | 1.928 |
| 2022 | 2.392 | 1.829 | 1.705 | 3.129 | 2.164 | 1.951 | 1.586 | 1.871 |
| Std. Error | ||||||||
| Year | Reach 1 | Reach 2 | Reach 3 | Reach 4 | Reach 5 | Reach 6 | Reach 7 | All |
| 2014 | 0.266 | 0.199 | 0.165 | 0.280 | 0.219 | 0.170 | 0.162 | 0.186 |
| 2015 | 0.160 | 0.112 | 0.124 | 0.215 | 0.188 | 0.159 | 0.127 | 0.147 |
| 2016 | 0.245 | 0.201 | 0.163 | 0.276 | 0.206 | 0.163 | 0.150 | 0.175 |
| 2017 | 0.134 | 0.124 | 0.117 | 0.238 | 0.201 | 0.165 | 0.134 | 0.152 |
| 2018 | 0.145 | 0.115 | 0.126 | 0.214 | 0.168 | 0.146 | 0.124 | 0.139 |
| 2019 | 0.125 | 0.098 | 0.099 | 0.174 | 0.131 | 0.118 | 0.098 | 0.110 |
| 2020 | 0.212 | 0.153 | 0.144 | 0.215 | 0.148 | 0.147 | 0.112 | 0.134 |
| 2021 | 0.198 | 0.163 | 0.142 | 0.192 | 0.141 | 0.122 | 0.094 | 0.120 |
| 2022 | 0.151 | 0.119 | 0.117 | 0.156 | 0.107 | 0.093 | 0.088 | 0.100 |
| ET(EVI2)% Change | ||||||||
| Reach 1 | Reach 2 | Reach 3 | Reach 4 | Reach 5 | Reach 6 | Reach 7 | All | |
| A Year Change | ||||||||
| 2015–2014 | −18.84% | −16.20% | −20.21% | −12.01% | −14.73% | −11.26% | −17.44% | −16.15% |
| 2016–2015 | −2.04% | 0.37% | −0.59% | 6.28% | −4.39% | −1.31% | −2.97% | −2.45% |
| 2017–2016 | −8.40% | −9.01% | 4.17% | −3.73% | −0.82% | −2.79% | −1.01% | −1.54% |
| 2018–2017 | −5.94% | −10.06% | −4.88% | −6.09% | −7.44% | −6.60% | −4.64% | −5.95% |
| 2019–2018 | −10.54% | −11.86% | −7.96% | −2.17% | 0.21% | −2.38% | −4.09% | −3.43% |
| 2020–2019 | 30.15% | 26.24% | 22.69% | 1.05% | −6.37% | 2.25% | −1.47% | 1.76% |
| 2021–2020 | −8.38% | −3.87% | −10.85% | −2.29% | −3.21% | −4.69% | −2.59% | −4.19% |
| 2022–2021 | −6.18% | −4.88% | −3.19% | −3.75% | −5.43% | −6.22% | 0.53% | −2.95% |
| Two-Year Change | ||||||||
| 2021–2019 | 19.24% | 21.36% | 9.39% | −1.26% | −9.37% | −2.55% | −4.02% | −2.51% |
| 2022–2020 | −14.05% | −8.55% | −13.69% | −5.95% | −8.46% | −10.62% | −2.08% | −7.02% |
References
- Nouri, H.; Nagler, P.; Chavoshi Borujeni, S.; Barreto Munez, A.; Alaghmand, S.; Noori, B.; Galindo, A.; Didan, K. Effect of spatial resolution of satellite images on estimating the greenness and evapotranspiration of urban green spaces. Hydrol. Process. 2020, 34, 3183–3199. [Google Scholar] [CrossRef]
- Comte, L.; Olden, J.D.; Lischka, S.; Dickson, B.G. Multi-scale threat assessment of riverine ecosystems in the Colorado River Basin. Ecol. Indic. 2022, 138, 108840. [Google Scholar] [CrossRef]
- McMahon, C.A.; Roberts, D.A.; Stella, J.C.; Trugman, A.T.; Singer, M.B.; Caylor, K.K. A river runs through it: Robust automated mapping of riparian woodlands and land surface phenology across dryland regions. Remote Sens. Environ. 2024, 305, 114056. [Google Scholar] [CrossRef]
- Nagler, P.L.; Sall, I.; Barreto-Muñoz, A.; Gómez-Sapiens, M.; Nouri, H.; Chavoshi Borujeni, S.; Didan, K. Effect of restoration on vegetation greenness and water use in relation to drought in the riparian woodlands of the Colorado River delta. J. Am. Water Resour. Assoc. 2022, 58, 746–784. [Google Scholar] [CrossRef]
- Zavaleta, E. The Economic Value of Controlling an Invasive Shrub. AMBIO J. Hum. Environ. 2000, 29, 462–467. [Google Scholar] [CrossRef]
- Hultine, K.R.; Belnap, J.; van Riper, C., III; Ehleringer, J.R.; Dennison, P.E.; Lee, M.E.; Nagler, P.L.; Snyder, K.A.; Uselman, S.M.; West, J.B. Tamarisk biocontrol in the western United States: Ecological and societal implications. Front. Ecol. Environ. 2010, 8, 467–474. [Google Scholar] [CrossRef]
- Nouri, H.; Beecham, S.; Kazemi, F.; Hassanli, A.M. A review of ET measurement techniques for estimating the water requirements of urban landscape vegetation. Urban Water J. 2013, 10, 247–259. [Google Scholar] [CrossRef]
- Tucker, C.J.; Grant, D.M.; Dykstra, J.D. NASA’s global orthorectified Landsat data set. Photogramm. Eng. Remote Sens. 2004, 70, 313–322. [Google Scholar] [CrossRef]
- Woodcock, C.E.; Allen, R.; Anderson, M.; Belward, A.; Bindschadler, R.; Cohen, W.; Gao, F.; Goward, S.N.; Helder, D.; Helmer, E.; et al. Free access to Landsat imagery. Science 2008, 320, 1011. [Google Scholar] [CrossRef]
- Irons, J.R.; Dwyer, J.L.; Barsi, J.A. The next Landsat satellite: The Landsat data continuity mission. Remote Sens. Environ. 2012, 122, 11–21. [Google Scholar] [CrossRef]
- Dashpurev, B.; Wesche, K.; Jaeschke, Y.; Oyundelger, K.; Phan, T.N.; Bendix, J.; Lehnert, L.W. A cost-effective method to monitor vegetation changes in steppes ecosystems: A case study on remote sensing of fire and infrastructure effects in eastern Mongolia. Ecol. Indic. 2021, 132, 108331. [Google Scholar]
- Jarchow, C.J.; Nagler, P.L.; Glenn, E.P. Greenup and evapotranspiration following the Minute 319 pulse flow to Mexico: An analysis using Landsat 8 Normalized Difference Vegetation Index (NDVI) data. Ecol. Eng. 2017, 106, 776–783. [Google Scholar] [CrossRef]
- Nagler, P.L.; Barreto-Muñoz, A.; Chavoshi Borujeni, S.; Jarchow, C.J.; Gómez-Sapiens, M.M.; Nouri, H.; Herrmann, S.M.; Didan, K. Ecohydrological responses to surface flow across borders: Two decades of changes in vegetation greenness and water use in the riparian corridor of the Colorado River delta. Hydrol. Process. 2020, 34, 4851–4883. [Google Scholar] [CrossRef]
- Jarchow, C.J.; Nagler, P.L.; Glenn, E.P.; Ramírez-Hernández, J.; Rodríguez-Burgueno, J.E. Evapotranspiration by remote sensing: An analysis of the Colorado River Delta before and after the Minute 319 pulse flow to Mexico. Ecol. Eng. 2017, 106, 725–732. [Google Scholar] [CrossRef]
- Hinojosa-Huerta, O.; Nagler, P.L.; Carrillo-Guererro, Y.K.; Glenn, E.P. Effects of drought on birds and riparian vegetation in the Colorado River Delta, Mexico. Ecol. Eng. 2013, 51, 275–281. [Google Scholar] [CrossRef]
- Darrah, A.; Greeney, H.F.; van Riper, C., III. Importance of the 2014 Colorado River Delta pulse flow for migratory songbirds: Insights from foraging behavior. Ecol. Eng. 2017, 106, 784–790. [Google Scholar] [CrossRef]
- Blomquist, W.; Schlager, E.; Heikkila, T. Common Waters, Diverging Streams: Linking Institutions and Water Management in Arizona, California, and Colorado; Routledge: Oxfordshire, UK, 2010. [Google Scholar]
- Brusca, R.C.; Álvarez-Borrego, S.; Hastings, P.A.; Findley, L.T. Colorado River flow and biological productivity in the Northern Gulf of California, Mexico. Earth-Sci. Rev. 2017, 164, 1–30. [Google Scholar] [CrossRef]
- Abeln, R. Instream flows, recreation as beneficial use, and the public interest in Colorado Water Law. U. Denv. Water L. Rev. 2004, 8, 517. [Google Scholar]
- Miller, O.L.; Putman, A.L.; Alder, J.; Miller, M.; Jones, D.K.; Wise, D.R. Changing climate drives future streamflow declines and challenges in meeting water demand across the southwestern United States. J. Hydrol. X 2021, 11, 100074. [Google Scholar] [CrossRef]
- International Boundary and Water Commission United States and Mexico (IBWC) (1944) Water Treaty between the U.S. and Mexico. Available online: https://www.ibwc.gov/wp-content/uploads/2022/11/1944Treaty.pdf (accessed on 24 April 2024).
- International Boundary and Water Commission United States and Mexico (IBWC), Minute 319. 2012. Available online: https://www.ibwc.gov/wp-content/uploads/2012/11/Minute_319.pdf (accessed on 24 April 2024).
- International Boundary and Water Commission United States and Mexico (IBWC), Minute 323. 2017. Available online: https://www.ibwc.gov/wp-content/uploads/2023/03/Min323.pdf (accessed on 24 April 2024).
- Gómez-Sapiens, M.M.; Jarchow, C.J.; Flessa, K.W.; Shafroth, P.B.; Glenn, E.P.; Nagler, P.L. Effect of an environmental flow on vegetation growth and health using ground and remote sensing metrics. Hydrol. Process. 2020, 34, 1682–1696. [Google Scholar] [CrossRef]
- Gómez-Sapiens, M.; Schlatter, K.J.; Meléndez, Á.; Hernández-López, D.; Salazar, H.; Kendy, E.; Flessa, K.W. Improving the Efficiency and Accuracy of Evaluating Aridland Riparian Habitat Restoration Using Unmanned Aerial Vehicles. Remote Sens. Ecol. Conserv. 2021, 7, 488–503. [Google Scholar] [CrossRef]
- Nagler, P.L.; Sall, I.; Barreto-Muñoz, A.; Didan, K. Remotely-Sensed Observations of the Unrestored Riparian Corridor of the Colorado River Delta in Mexico, 2019–2022: U.S. Geological Survey Data Release; U.S. Geological Survey: Flagstaff, AZ, USA, 2023. [CrossRef]
- Nagler, P.L.; Glenn, E.P.; Huete, A.R. Assessment of spectral vegetation indices for riparian vegetation in the Colorado River delta, Mexico. J. Arid Environ. 2001, 49, 91–110. [Google Scholar] [CrossRef]
- Nagler, P.L.; Glenn, E.P.; Hinojosa-Huerta, O.; Zamora, F.; Howard, K. Riparian vegetation dynamics and evapotranspiration in the riparian corridor in the delta of the Colorado River, Mexico. J. Environ. Manage. 2008, 88, 864–874. [Google Scholar] [CrossRef] [PubMed]
- Nagler, P.L.; Glenn, E.P.; Hinojosa-Huerta, O. Synthesis of ground and remote sensing data for monitoring ecosystem functions in the Colorado River Delta, Mexico. Remote Sens. Environ. 2009, 113, 1473–1485. [Google Scholar] [CrossRef]
- Shanafield, M.; Gutiérrez-Jurado, H.; Rodríguez-Burgueño, J.; Ramírez-Hernández, J.R.; Jarchow, C.J.; Nagler, P.L. Short- and long-term evapotranspiration rates at ecological restoration sites along a large river receiving rare flow events. Hydrol. Process. 2017, 31, 4328–4337. [Google Scholar] [CrossRef]
- Jarchow, C.J.; Didan, K.; Barreto-Muñoz, A.; Nagler, P.L.; Glenn, E.P. Application and comparison of the MODIS-derived enhanced vegetation index to VIIRS, Landsat 5 TM and Landsat 8 OLI platforms: A case study in the arid Colorado River delta, Mexico. Sensors 2018, 18, 1546. [Google Scholar] [CrossRef] [PubMed]
- Huete, A.; Didan, K.; Miura, T.; Rodriguez, E.P.; Gao, X.; Ferreira, L.G. Overview of the radiometric and biophysical performance of the MODIS vegetation indices. Remote Sens. Environ. 2002, 83, 195–213. [Google Scholar] [CrossRef]
- Jiang, Z.; Huete, A.R.; Didan, K.; Miura, T. Development of a Two-Band Enhanced Vegetation Index without a Blue Band. Remote Sens. Environ. 2008, 112, 3833–3845. [Google Scholar] [CrossRef]
- Didan, K.; Munoz, A.B.; Solano, R.; Huete, A. MODIS Vegetation Index User’s Guide (MOD13 Series); University of Arizona, Vegetation Index and Phenology Lab: Tucson, AZ, USA, 2015; pp. 1–35. [Google Scholar]
- Didan, K.; Barreto-Muñoz, A.; Tucker, C.; Pinzon, J. Suomi National Polar-Orbiting Partnership, Visible Infrared Imaging Radiometer Suite, Vegetation Index Product Suite, User Guide & Abridged Algorithm Theoretical Basis Document; Vegetation Index and Phenology Lab, The University of Arizona: Tucson, AZ, USA, 2018; pp. 1–108. Available online: https://lpdaac.usgs.gov/documents/1372/VNP13_User_Guide_ATBD_V2.1.2.pdf (accessed on 24 April 2024).
- Nagler, P.; Jetton, A.; Fleming, J.; Didan, K.; Glenn, E.; Erker, J.; Morino, K.; Milliken, J.; Gloss, S. Evapotranspiration in a cottonwood (Populus fremontii) restoration plantation estimated by sap flow and remote sensing methods. Agric. For. Meteorol. 2007, 144, 95–110. [Google Scholar] [CrossRef]
- Nagler, P.L.; Glenn, E.P.; Didan, K.; Osterberg, J.; Jordan, F.; Cunningham, J. Wide-area estimates of stand structure and water use of Tamarix spp. on the Lower Colorado River: Implications for restoration and water management projects. Restor. Ecol. 2008, 16, 136–145. [Google Scholar] [CrossRef]
- Nagler, P.L.; Morino, K.; Murray, R.S.; Osterberg, J.; Glenn, E.P. An empirical algorithm for estimating agricultural and riparian evapotranspiration using MODIS enhanced vegetation index and ground measurements of ET. I. Description of method. Remote Sens. 2009, 1, 1273–1297. [Google Scholar] [CrossRef]
- Murray, R.S.; Nagler, P.L.; Morino, K.; Glenn, E.P. An empirical algorithm for estimating agricultural and riparian evapotranspiration using MODIS Enhanced Vegetation Index and ground measurements of ET. II. Application to the Lower Colorado River, US. Remote Sens. 2009, 1, 1125–1138. [Google Scholar] [CrossRef]
- Nagler, P.L.; Glenn, E.P.; Nguyen, U.; Scott, R.L.; Doody, T. Estimating riparian and agricultural actual evapotranspiration by reference evapotranspiration and MODIS enhanced vegetation index. Remote Sens. 2013, 5, 3849–3871. [Google Scholar] [CrossRef]
- Glenn, E.P.; Morino, K.; Didan, K.; Jordan, F.; Carroll, K.C.; Nagler, P.L.; Hultine, K.; Sheader, L.; Waugh, J. Scaling sap flux measurements of grazed and ungrazed shrub communities with fine and coarse-resolution remote sensing. Ecohydrology 2008, 1, 316–329. [Google Scholar] [CrossRef]
- Nagler, P.L.; Barreto-Muñoz, A.; Sall, I.; Lurtz, M.R.; Didan, K. Riparian Plant Evapotranspiration and Consumptive Use for Selected Areas of the Little Colorado River Watershed on the Navajo Nation. Remote Sens. 2023, 15, 52. [Google Scholar] [CrossRef]
- Doody, T.M.; Colloff, M.J.; Davies, M.; Koul, V.; Benyon, R.G.; Nagler, P.L. 2015. Quantifying water requirements of riparian river red gum (Eucalyptus camaldulensis) in the Murray–Darling Basin, Australia–implications for the management of environmental flows. Ecohydrology 2015, 8, 1471–1487. [Google Scholar] [CrossRef]
- Nagler, P.L.; Doody, T.M.; Glenn, E.P.; Jarchow, C.J.; Barreto-Muñoz, A.; Didan, K. Wide-area estimates of evapotranspiration by red gum (Eucalyptus camaldulensis) and associated vegetation in the Murray–Darling River Basin, Australia. Hydrol. Process. 2016, 30, 1376–1387. [Google Scholar] [CrossRef]
- National Institute of Statistics and Geography/Instituto Nacional de Estadística, Geografía e Informática (INEGI). Available online: https://en.www.inegi.org.mx (accessed on 24 April 2024).
- Sykes, G. The Colorado River Delta; Carnegie Institution of Washington: Washington, DC, USA, 1937; pp. 1–252. [Google Scholar]
- Leopold, A. A Sand County Almanac, The Green Lagoons—Colorado River Delta; Oxford University Press: Oxford, UK, 1949; pp. 150–158. Available online: http://eebweb.arizona.edu/faculty/Bonine/Leopold1949_GreenLagoons-150-158.pdf (accessed on 24 April 2024).
- Fradkin, P.L. A river no more: The Colorado River and the West; University of California Press: Berkeley, CA, USA, 1996. [Google Scholar]
- Glenn, E.; Lee, C.; Felger, R.; Zengel, S. Effects of water management on the wetlands of the Colorado River Delta, México. Conserv. Biol. 1996, 10, 1175–1186. [Google Scholar] [CrossRef]
- Glenn, E.P.; Lee, C.; Valdes-Casillas, C. Introduction to special issue, Colorado River Delta. J. Arid Environ. 2001, 49, 1–4. [Google Scholar] [CrossRef]
- Glenn, E.P.; Flessa, K.W.; Pitt, J. Restoration potential of the aquatic ecosystems of the Colorado River Delta, Mexico: Introduction to special issue, Wetlands of the Colorado River Delta. Ecol. Eng. 2013, 59, 1–6. [Google Scholar] [CrossRef]
- Glenn, E.P.; Flessa, K.W.; Kendy, E.; Shafroth, P.B.; Ramirez-Hernandez, J.; Gomez-Sapiens, M.; Nagler, P.L.; Pitt, J. Environmental Flows for the Colorado River Delta: Results of an Experimental Pulse Release from the US to Mexico. Ecol. Eng. 2017, 106 Pt B, 629–632. [Google Scholar] [CrossRef]
- Pitt, J.; Luecke, D.F.; Cohen, M.J.; Glenn, E.P.; Valdes-Casillas, C. Two nations, one river: Managing ecosystem conservation in the Colorado River Delta. Nat. Resour. J. 2000, 40, 819–864. [Google Scholar]
- Glenn, E.P.; Zamora-Arroyo, F.; Nagler, P.L.; Briggs, M.; Shaw, W.; Flessa, K. Ecology and conservation biology of the Colorado River delta, Mexico. J. Arid Environ. 2001, 49, 5–15. [Google Scholar] [CrossRef]
- McCabe, G.J.; Wolock, D.M.; Woodhouse, C.A.; Pederson, G.T.; McAfee, S.A.; Gray, S.; Csank, A. Basinwide hydroclimatic drought in the Colorado River Basin. Earth Interact. 2020, 24, 1–20. [Google Scholar] [CrossRef]
- Glenn, E.P.; Nagler, P.L. Comparative ecophysiology of Tamarix ramosissima and native trees in western US riparian zones. J. Arid Environ. 2005, 61, 419–446. [Google Scholar] [CrossRef]
- Nagler, P.L.; Hinojosa-Huerta, O.; Glenn, E.P.; Garcia-Hernandez, J.; Romo, R.; Curtis, C.; Huete, A.R.; Nelson, S.G. Regeneration of native trees in the presence of invasive saltcedar in the Colorado River delta, Mexico. Conserv. Biol. 2005, 19, 1842–1852. [Google Scholar] [CrossRef]
- Kendy, E.; Flessa, K.W.; Schlatter, K.J.; de la Parra, C.A.; Huerta, O.M.H.; Carrillo-Guerrero, Y.K.; Guillen, E. Leveraging environmental flows to reform water management policy: Lessons learned from the 2014 Colorado River Delta pulse flow. Ecol. Eng. 2017, 106, 683–694. [Google Scholar] [CrossRef]
- Glenn, E.P.; Nagler, P.L.; Shafroth, P.B.; Jarchow, C.J. Effectiveness of environmental flows for riparian restoration in arid regions: A tale of four rivers. Ecol. Eng. 2017, 106, 695–703. [Google Scholar] [CrossRef]
- Stromberg, J.C. Restoration of riparian vegetation in the south-western United States: Importance of flow regimes and fluvial dynamism. J. Arid Environ. 2001, 49, 17–34. [Google Scholar] [CrossRef]
- Cohen, M.J.; Henges-Jeck, C.; Castillo-Moreno, G. A preliminary water balance for the Colorado River delta, 1992–1998. J. Arid Environ. 2001, 49, 35–48. [Google Scholar] [CrossRef][Green Version]
- Scott, R.L.; Cable, W.L.; Huxman, T.E.; Nagler, P.L.; Hernandez, M.; Goodrich, D.C. Multiyear riparian evapotranspiration and groundwater use for a semiarid watershed. J. Arid Environ. 2008, 72, 1232–1246. [Google Scholar] [CrossRef]
- Ramírez-Hernández, J.; Hinojosa-Huerta, O.; Peregrina-Llanes, M.; Calvo-Fonseca, A.; Carrera-Villa, E. Groundwater responses to controlled water releases in the limitrophe region of the Colorado River: Implications for management and restoration. Ecol. Eng. 2013, 59, 93–103. [Google Scholar] [CrossRef]
- Ramírez-Hernández, J.; Rodríguez-Burgueño, J.E.; Kendy, E.; Salcedo-Peredia, A.; Lomeli, M.A. Hydrological response to an environmental flood: Pulse flow 2014 on the Colorado River Delta. Ecol. Eng. 2017, 106, 633–644. [Google Scholar] [CrossRef]
- Kennedy, J.; Rodriguez-Burgueno, E.; Ramirez-Hernandez, J. Groundwater response to the 2014 Minute 319 pulse flow. Ecol. Eng. 2017, 106, 715–724. [Google Scholar] [CrossRef]
- Flessa, K.W.; Kendy, E.; Schlatter, K. Minute 319 Colorado River Delta Environmental Flows Monitoring Interim Report; International Boundary and Water Commission (IBWC): El Paso, TX, USA, 2016. [Google Scholar]
- Flessa, K.W. Minute 323 Colorado River Delta Environmental Flows Monitoring Interim Report; International Boundary and Water Commission (IBWC): El Paso, TX, USA, 2018. [Google Scholar]
- Nagler, P.L.; Barreto-Muñoz, A.; Didan, K.; Gomez-Sapiens, M.M.; Flessa, K. Minute 323 Colorado River Limitrophe and Delta Environmental Flows Monitoring Interim Report; International Boundary and Water Commission United States and Mexico (IBWC): El Paso, TX, USA, 2021. [Google Scholar]
- Grand, J.; Meehan, T.D.; DeLuca, W.V.; Morton, J.; Pitt, J.; Calvo-Fonseca, A.; Dodge, C.; Gómez-Sapiens, M.; González-Sargas, E.; Hinojosa-Huerta, O.; et al. Strategic restoration planning for land birds in the Colorado River Delta, Mexico. J. Environ. Manag. 2024, 351, 119755. [Google Scholar] [CrossRef] [PubMed]
- AZMET. Arizona Meteorological Network. Available online: https://ag.arizona.edu/azmet/az-docs.htm (accessed on 24 April 2024).
- Blaney, H.F.; Criddle, W.D. Determining Water Requirements in Irrigated Areas from Climatological and Irrigation Data; SCS-TP 96; U.S. Department Agriculture Soil Conservation Service: Somerset, NJ, USA, 1950; pp. 1–44.
- Allen, R.G.; Pruitt, W.O. Rational use of the FAO Blaney-Criddle formula. J. Irrig. Drain. Eng. 1986, 112, 139–155. [Google Scholar] [CrossRef]
- United Nations Food and Agricultural Organization (FAO). Irrigation Water Management: Irrigation Water Needs. Chapter 3 Crop Water Needs. 1986. Available online: https://www.fao.org/3/s2022e/s2022e07.htm#3.1.3%20blaney%20criddle%20method (accessed on 24 April 2024).
- Trajkovic, S.; Kolakovic, S. Estimating Reference Evapotranspiration Using Limited Weather Data. J. Irrig. Drain. Eng. 2009, 135, 139–155. [Google Scholar] [CrossRef]
- Nagler, P.L.; Barreto-Muñoz, A.; Chavoshi Borujeni, S.; Nouri, H.; Jarchow, C.J.; Didan, K. Riparian area changes in greenness and water use on the lower Colorado river in the USA from 2000 to 2020. Remote Sens. 2021, 13, 1332. [Google Scholar] [CrossRef]
- Albano, C.M.; Abatzoglou, J.T.; McEvoy, D.J.; Huntington, J.L.; Morton, C.G.; Dettinger, M.D.; Ott, T.J. A Multidataset Assessment of Climate Drivers and Uncertainties of Recent Trends in Evaporative Demand across the Continental United States. J. Hydrometeorol. 2022, 4, 505–519. [Google Scholar] [CrossRef]
- Thornton, P.E.; Thornton, M.M.; Mayer, B.W.; Wilhelmi, N.; Wei, Y.; Devarakonda, R.; Cook, R.B. Daymet: Daily Surface Weather Data on a 1-km Grid for North America, Version 2; Oak Ridge National Lab (ORNL): Oak Ridge, TN, USA, 2014. [Google Scholar]
- Daymet: Daily Surface Weather Data on a 1-km Grid for North America, Version 4 R1. Available online: https://www.ornl.gov (accessed on 23 February 2024).
- Groeneveld, D.P.; Baugh, W.M. Correcting satellite data to detect vegetation signal for eco-hydrologic analyses. J. Hydrol. 2007, 344, 135–145. [Google Scholar]
- Google Earth Engine. 2012. Available online: https://earthengine.google.org/#intro (accessed on 24 April 2024).
- Melton, F.S.; Huntington, J.; Grimm, R.; Herring, J.; Hall, M.; Rollison, D.; Erickson, T.; Allen, R.; Anderson, M.; Fisher, J.B. OpenET: Filling a critical data gap in water management for the western united states. J. Am. Water Resour. Assoc. 2021, 58, 971–994. [Google Scholar] [CrossRef]
- Senay, G.B.; Parrish, G.E.L.; Schauer, M.; Friedrichs, M.; Khand, K.; Boiko, O.; Kagone, S.; Dittmeier, R.; Arab, S.; Ji, L. Improving the Operational Simplified Surface Energy Balance Evapotranspiration Model Using the Forcing and Normalizing Operation. Remote Sens. 2023, 15, 260. [Google Scholar] [CrossRef]
- Nagler, P.L.; Sall, I.; Barreto-Munoz, A.; Didan, K.; Abbasi, N.; Nouri, H.; Schauer, M.; Senay, G.B. Evaluation of two types of evapotranspiration methods in riparian vegetation with the two-band Enhanced Vegetation Index and SSEBop in restored and unrestored reaches of the Lower Colorado River in the USA. In Proceedings of the AGU Fall Meeting Abstracts, Chicago, IL, USA, 12–16 December 2022; p. H54C-02. [Google Scholar]
- Abbasi, N.; Nouri, H.; Nagler, P.; Didan, K.; Chavoshi Borujeni, S.; Barreto-Muñoz, A.; Opp, C.; Siebert, S. Crop water use dynamics over arid and semi-arid croplands in the lower Colorado River Basin. Eur. J. Remote Sens. 2023, 56, 2259244. [Google Scholar] [CrossRef]
- Glenn, E.P.; Huete, A.R.; Nagler, P.L.; Nelson, S.G. Relationship between remotely-sensed vegetation indices, canopy attributes and plant physiological processes: What vegetation indices can and cannot tell us about the landscape. Sensors 2008, 8, 2136–2160. [Google Scholar] [CrossRef] [PubMed]
Disclaimer/Publisher’s Note: The statements, opinions and data contained in all publications are solely those of the individual author(s) and contributor(s) and not of MDPI and/or the editor(s). MDPI and/or the editor(s) disclaim responsibility for any injury to people or property resulting from any ideas, methods, instructions or products referred to in the content. |
© 2024 by the authors. Licensee MDPI, Basel, Switzerland. This article is an open access article distributed under the terms and conditions of the Creative Commons Attribution (CC BY) license (https://creativecommons.org/licenses/by/4.0/).












