A Numerical Simulation of Convective Systems in Southeast China: A Comparison of Microphysical Schemes and Sensitivity Experiments on Raindrop Break and Evaporation
Abstract
1. Introduction
2. Materials and Methods
2.1. Radar Data
2.2. Simulation Settings
2.3. Radar Simulator
3. Results Analysis
3.1. Comparison Analysis of Observational and Simulated Results
3.1.1. Assessment of Convective System Simulations
3.1.2. Analysis of Radar Polarimetric Parameters
3.1.3. Comparison of the Accumulated Precipitation
3.2. Analysis of the Simulation Results
3.2.1. Vertical Distribution of Hydrometeors
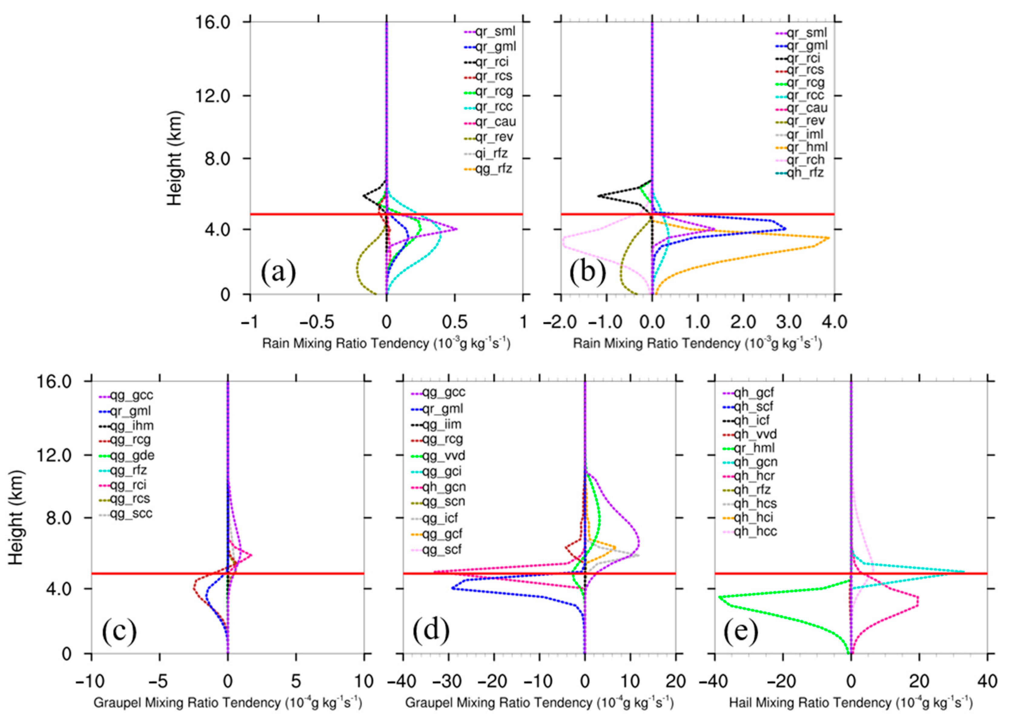
3.2.2. Analysis of the Source and Sink Term for Rainwater and Graupel/Hail Particles
3.2.3. Characteristics of Cold Pool
3.2.4. Analysis of Raindrop Mass-Weighted Diameter
4. Sensitivity Experiments
5. Discussion
6. Conclusions
Author Contributions
Funding
Data Availability Statement
Acknowledgments
Conflicts of Interest
Appendix A
| Self-Named Titles | Original Titles | Microphysical Process |
|---|---|---|
| qg_gcc | prg_gcw | Graupel collecting cloud water. |
| qr_gml | prr_gml | Graupel melting into rain. |
| qg_ihm | prg_ihm | Ice multiplication from rime-splinters. |
| qg_rcg | prg_rcg | Rain collecting graupel. |
| qg_gde | prg_gde | Deposition/sublimation of graupel. |
| qg_rfz | prg_rfz | Rain freezing into graupel. |
| qg_rci | prg_rci | Ice collecting rain into graupel. |
| qg_rcs | prg_rcs | Snow collecting rain into graupel. |
| qg_scc | prg_scw | Snow collecting cloud water into graupel. |
| qr_sml | prr_sml | Snow melting into rain. |
| qr_rci | prr_rci | Rain collecting ice. |
| qr_rcs | prr_rcs | Rain collecting snow. |
| qr_rcg | prr_rcg | Rain collecting graupel. |
| qr_rcc | prr_rcw | Rain collecting cloud water. |
| qr_cau | prr_wau | Autoconversion. |
| qr_rev | prv_rev | Rain evaporation. |
| qi_rfz | pri_rfz | Rain freezing into ice. |
| Self-Named Titles | Original Titles | Microphysical Process |
|---|---|---|
| qg_gcc | QCLcg | Graupel collecting cloud water. |
| qr_gml | QMLgr | Graupel melting into rain. |
| qg_iim | QIMgi | Ice multiplication from rime-splinters. |
| qg_rcg | QCLgr | Rain collecting graupel. |
| qg_vvd | QVDvg | Deposition/sublimation of graupel. |
| qg_gci | QCLig | Graupel collecting ice. |
| qh_gcn | QCNgh | Graupel converting to hail. |
| qg_scn | QCNsg | Snow converting to graupel. |
| qg_icf | Dirg*(QCLir+QCLri) | 3-comp.freezing into graupel. |
| qg_gcf | Dgrg*(QCLgr+QCLrg) | 3-comp.freezing into graupel. |
| qg_scf | Dsrg*(QCLsr+QCLrs) | 3-comp.freezing into graupel. |
| qh_gcf | Dgrh*(QCLgr+QCLrg) | 3-comp.freezing into hail. |
| qh_scf | Dsrh*(QCLsr+QCLrs) | 3-comp.freezing into hail. |
| qh_icf | Dirh*(QCLir+QCLri) | 3-comp.freezing into hail. |
| qh_vvd | QVDvh | Deposition/sublimation of hail. |
| qr_hml | QMLhr | Hail melting into rain. |
| qh_hcr | QCLrh | Hail collecting rain. |
| qh_rfz | QFZrh | Rain freezing into hail. |
| qh_hcs | QCLsh | Hail collecting snow. |
| qh_hci | QCLih | Hail collecting ice. |
| qh_hcc | QCLch | Hail collecting cloud water. |
| qr_sml | QMLsr | Snow melting into rain. |
| qr_gml | QMLgr | Graupel melting into rain. |
| qr_rci | QCLri | Rain collecting ice. |
| qr_icr | QCLir | Ice collecting rain. |
| qr_rcs | QCLrs | Rain collecting snow. |
| qr_scr | QCLsr | Snow collecting rain. |
| qr_rcg | QCLrg | Rain collecting graupel. |
| qr_gcr | QCLgr | Graupel collecting rain. |
| qr_rcc | RCACCR | Rain collecting cloud water. |
| qr_cau | RCAUTR | Autoconversion. |
| qr_rev | QREVP | Rain evaporation. |
| qr_iml | QMLir | Ice melting into rain. |
| qr_rch | QCLrh | Rain collecting hail. |
| qh_rfz | QFZrh | Freezing water drops into hail. |
Appendix B
References
- Luo, Y. Advances in Understanding the Early-Summer Heavy Rainfall over South China. In World Scientific Series on Asia-Pacific Weather and Climate; World Scientific: Singapore, 2017; Volume 9, pp. 215–226. ISBN 978-981-320-090-6. [Google Scholar]
- Guo, J.; Feng, T.; Cai, Z.; Lian, X.; Tang, W. Vulnerability Assessment for Power Transmission Lines under Typhoon Weather Based on a Cascading Failure State Transition Diagram. Energies 2020, 13, 3681. [Google Scholar] [CrossRef]
- Wang, L.; Dong, Y.; Zhang, C.; Heng, Z. Extreme and Severe Convective Weather Disasters: A Dual-Polarization Radar Nowcasting Method Based on Physical Constraints and a Deep Neural Network Model. Atmos. Res. 2023, 289, 106750. [Google Scholar] [CrossRef]
- Cao, X.; Qi, Y.; Ni, G. X-Band Polarimetric Radar QPE for Urban Hydrology: The Increased Contribution of High-Resolution Rainfall Capturing. J. Hydrol. 2023, 617, 128905. [Google Scholar] [CrossRef]
- Chao, L.; Zhang, K.; Yang, Z.-L.; Wang, J.; Lin, P.; Liang, J.; Li, Z.; Gu, Z. Improving Flood Simulation Capability of the WRF-Hydro-RAPID Model Using a Multi-Source Precipitation Merging Method. J. Hydrol. 2021, 592, 125814. [Google Scholar] [CrossRef]
- Wang, S.; Zhang, K.; Chao, L.; Li, D.; Tian, X.; Bao, H.; Chen, G.; Xia, Y. Exploring the Utility of Radar and Satellite-Sensed Precipitation and Their Dynamic Bias Correction for Integrated Prediction of Flood and Landslide Hazards. J. Hydrol. 2021, 603, 126964. [Google Scholar] [CrossRef]
- Luo, L.; Xue, M.; Zhu, K.; Zhou, B. Explicit Prediction of Hail Using Multimoment Microphysics Schemes for a Hailstorm of 19 March 2014 in Eastern China. JGR Atmos. 2017, 122, 7560–7581. [Google Scholar] [CrossRef]
- Morrison, H.; Van Lier-Walqui, M.; Fridlind, A.M.; Grabowski, W.W.; Harrington, J.Y.; Hoose, C.; Korolev, A.; Kumjian, M.R.; Milbrandt, J.A.; Pawlowska, H.; et al. Confronting the Challenge of Modeling Cloud and Precipitation Microphysics. J. Adv. Model. Earth Syst. 2020, 12, e2019MS001689. [Google Scholar] [CrossRef]
- Bao, J.-W.; Michelson, S.A.; Grell, E.D. Microphysical Process Comparison of Three Microphysics Parameterization Schemes in the WRF Model for an Idealized Squall-Line Case Study. Mon. Weather Rev. 2019, 147, 3093–3120. [Google Scholar] [CrossRef]
- Khain, A.P.; Beheng, K.D.; Heymsfield, A.; Korolev, A.; Krichak, S.O.; Levin, Z.; Pinsky, M.; Phillips, V.; Prabhakaran, T.; Teller, A.; et al. Representation of Microphysical Processes in Cloud-resolving Models: Spectral (Bin) Microphysics versus Bulk Parameterization. Rev. Geophys. 2015, 53, 247–322. [Google Scholar] [CrossRef]
- Wu, D.; Dong, X.; Xi, B.; Feng, Z.; Kennedy, A.; Mullendore, G.; Gilmore, M.; Tao, W. Impacts of Microphysical Scheme on Convective and Stratiform Characteristics in Two High Precipitation Squall Line Events. JGR Atmos. 2013, 118. [Google Scholar] [CrossRef]
- Wang, H.; Auligné, T.; Morrison, H. Impact of Microphysics Scheme Complexity on the Propagation of Initial Perturbations. Mon. Weather Rev. 2012, 140, 2287–2296. [Google Scholar] [CrossRef]
- Zhang, Y.; Yu, H.; Zhang, M.; Yang, Y.; Meng, Z. Uncertainties and Error Growth in Forecasting the Record-Breaking Rainfall in Zhengzhou, Henan on 19–20 July 2021. Sci. China Earth Sci. 2022, 65, 1903–1920. [Google Scholar] [CrossRef]
- Zhu, K.; Zhang, C.; Xue, M.; Yang, N. Predictability and Skill of Convection-Permitting Ensemble Forecast Systems in Predicting the Record-Breaking “21·7” Extreme Rainfall Event in Henan Province, China. Sci. China Earth Sci. 2022, 65, 1879–1902. [Google Scholar] [CrossRef]
- Simpson, J.E. A Comparison between Laboratory and Atmospheric Density Currents. Quart. J. R. Meteoro Soc. 1969, 95, 758–765. [Google Scholar] [CrossRef]
- Morrison, H.; Milbrandt, J.A. Parameterization of Cloud Microphysics Based on the Prediction of Bulk Ice Particle Properties. Part I: Scheme Description and Idealized Tests. J. Atmos. Sci. 2015, 72, 287–311. [Google Scholar] [CrossRef]
- Qian, Q.; Lin, Y.; Luo, Y.; Zhao, X.; Zhao, Z.; Luo, Y.; Liu, X. Sensitivity of a Simulated Squall Line During Southern China Monsoon Rainfall Experiment to Parameterization of Microphysics. JGR Atmos. 2018, 123, 4197–4220. [Google Scholar] [CrossRef]
- Drager, A.J.; Van Den Heever, S.C. Characterizing Convective Cold Pools. J. Adv. Model. Earth Syst. 2017, 9, 1091–1115. [Google Scholar] [CrossRef]
- Langhans, W.; Romps, D.M. The Origin of Water Vapor Rings in Tropical Oceanic Cold Pools. Geophys. Res. Lett. 2015, 42, 7825–7834. [Google Scholar] [CrossRef]
- Khairoutdinov, M.; Randall, D. High-Resolution Simulation of Shallow-to-Deep Convection Transition over Land. J. Atmos. Sci. 2006, 63, 3421–3436. [Google Scholar] [CrossRef]
- Weisman, M.L.; Rotunno, R. “A Theory for Strong Long-Lived Squall Lines” Revisited. J. Atmos. Sci. 2004, 61, 361–382. [Google Scholar] [CrossRef]
- Davis, C.A.; Lee, W.-C. Mesoscale Analysis of Heavy Rainfall Episodes from SoWMEX/TiMREX. J. Atmos. Sci. 2012, 69, 521–537. [Google Scholar] [CrossRef]
- Morrison, H.; Milbrandt, J. Comparison of Two-Moment Bulk Microphysics Schemes in Idealized Supercell Thunderstorm Simulations. Mon. Wea. Rev. 2011, 139, 1103–1130. [Google Scholar] [CrossRef]
- Tridon, F.; Planche, C.; Mroz, K.; Banson, S.; Battaglia, A.; Van Baelen, J.; Wobrock, W. On the Realism of the Rain Microphysics Representation of a Squall Line in the WRF Model. Part I: Evaluation with Multifrequency Cloud Radar Doppler Spectra Observations. Mon. Weather Rev. 2019, 147, 2787–2810. [Google Scholar] [CrossRef]
- Van Weverberg, K.; Vogelmann, A.M.; Morrison, H.; Milbrandt, J.A. Sensitivity of Idealized Squall-Line Simulations to the Level of Complexity Used in Two-Moment Bulk Microphysics Schemes. Mon. Weather Rev. 2012, 140, 1883–1907. [Google Scholar] [CrossRef]
- Zhou, A.; Zhao, K.; Lee, W.; Ding, Z.; Lu, Y.; Huang, H. Evaluation and Modification of Microphysics Schemes on the Cold Pool Evolution for a Simulated Bow Echo in Southeast China. JGR Atmos. 2022, 127, e2021JD035262. [Google Scholar] [CrossRef]
- Lompar, M.; Ćurić, M.; Romanić, D. Implementation of a Gust Front Head Collapse Scheme in the WRF Numerical Model. Atmos. Res. 2018, 203, 231–245. [Google Scholar] [CrossRef]
- Johnson, M.; Jung, Y.; Dawson, D.; Supinie, T.; Xue, M.; Park, J.; Lee, Y.-H. Evaluation of Unified Model Microphysics in High-Resolution NWP Simulations Using Polarimetric Radar Observations. Adv. Atmos. Sci. 2018, 35, 771–784. [Google Scholar] [CrossRef]
- Wang, M.; Zhao, K.; Pan, Y.; Xue, M. Evaluation of Simulated Drop Size Distributions and Microphysical Processes Using Polarimetric Radar Observations for Landfalling Typhoon Matmo (2014). JGR Atmos. 2020, 125, e2019JD031527. [Google Scholar] [CrossRef]
- Bringi, V.N.; Chandrasekar, V.; Hubbert, J.; Gorgucci, E.; Randeu, W.L.; Schoenhuber, M. Raindrop Size Distribution in Different Climatic Regimes from Disdrometer and Dual-Polarized Radar Analysis. J. Atmos. Sci. 2003, 60, 354–365. [Google Scholar] [CrossRef]
- Ryzhkov, A.V.; Zrnic, D.S. Radar Polarimetry for Weather Observations; Springer Atmospheric Sciences; Springer International Publishing: Cham, Switzerland, 2019; ISBN 978-3-030-05092-4. [Google Scholar]
- Kumjian, M. Principles and Applications of Dual-Polarization Weather Radar. Part I: Description of the Polarimetric Radar Variables. J. Oper. Meteor. 2013, 1, 226–242. [Google Scholar] [CrossRef]
- Laroche, S. Polarimetric Doppler Weather Radar: Principles and Applications. Atmos. Res. 2002, 63, 159–160. [Google Scholar] [CrossRef]
- Carr, N.; Kirstetter, P.E.; Gourley, J.J.; Hong, Y. Polarimetric Signatures of Midlatitude Warm-Rain Precipitation Events. J. Appl. Meteorol. Climatol. 2017, 56, 697–711. [Google Scholar] [CrossRef]
- Ryzhkov, A.; Pinsky, M.; Pokrovsky, A.; Khain, A. Polarimetric Radar Observation Operator for a Cloud Model with Spectral Microphysics. J. Appl. Meteorol. Climatol. 2011, 50, 873–894. [Google Scholar] [CrossRef]
- Snyder, J.C.; Bluestein, H.B.; Dawson Ii, D.T.; Jung, Y. Simulations of Polarimetric, X-Band Radar Signatures in Supercells. Part II: ZDR Columns and Rings and KDP Columns. J. Appl. Meteorol. Climatol. 2017, 56, 2001–2026. [Google Scholar] [CrossRef]
- Gao, W.; Xue, L.; Liu, L.; Lu, C.; Yun, Y.; Zhou, W. A Study of the Fraction of Warm Rain in a Pre-Summer Rainfall Event over South China. Atmos. Res. 2021, 262, 105792. [Google Scholar] [CrossRef]
- Morrison, H.; Thompson, G.; Tatarskii, V. Impact of Cloud Microphysics on the Development of Trailing Stratiform Precipitation in a Simulated Squall Line: Comparison of One- and Two-Moment Schemes. Mon. Weather Rev. 2009, 137, 991–1007. [Google Scholar] [CrossRef]
- Dawson, D.T.; Xue, M.; Milbrandt, J.A.; Yau, M.K. Comparison of Evaporation and Cold Pool Development between Single-Moment and Multimoment Bulk Microphysics Schemes in Idealized Simulations of Tornadic Thunderstorms. Mon. Weather Rev. 2010, 138, 1152–1171. [Google Scholar] [CrossRef]
- Wang, H.; Kong, F.; Wu, N.; Lan, H.; Yin, J. An Investigation into Microphysical Structure of a Squall Line in South China Observed with a Polarimetric Radar and a Disdrometer. Atmos. Res. 2019, 226, 171–180. [Google Scholar] [CrossRef]
- Thompson, G.; Field, P.R.; Rasmussen, R.M.; Hall, W.D. Explicit Forecasts of Winter Precipitation Using an Improved Bulk Microphysics Scheme. Part II: Implementation of a New Snow Parameterization. Mon. Weather Rev. 2008, 136, 5095–5115. [Google Scholar] [CrossRef]
- Milbrandt, J.A.; Yau, M.K. A Multimoment Bulk Microphysics Parameterization. Part II: A Proposed Three-Moment Closure and Scheme Description. J. Atmos. Sci. 2005, 62, 3065–3081. [Google Scholar] [CrossRef]
- Jung, Y.; Xue, M.; Zhang, G. Simulations of Polarimetric Radar Signatures of a Supercell Storm Using a Two-Moment Bulk Microphysics Scheme. J. Appl. Meteorol. Climatol. 2010, 49, 146–163. [Google Scholar] [CrossRef]
- Hubbert, J.; Bringi, V.N.; Carey, L.D.; Bolen, S. CSU-CHILL Polarimetric Radar Measurements from a Severe Hail Storm in Eastern Colorado. J. Appl. Meteor. 1998, 37, 749–775. [Google Scholar] [CrossRef]
- Loney, M.L. Enhanced Polarimetric Radar Signatures above the Melting Level in a Supercell Storm. J. Appl. Meteorol. 2002, 41, 1179–1194. [Google Scholar] [CrossRef]
- Putnam, B.J.; Xue, M.; Jung, Y.; Zhang, G.; Kong, F. Simulation of Polarimetric Radar Variables from 2013 CAPS Spring Experiment Storm-Scale Ensemble Forecasts and Evaluation of Microphysics Schemes. Mon. Weather Rev. 2017, 145, 49–73. [Google Scholar] [CrossRef]
- Han, B.; Fan, J.; Varble, A.; Morrison, H.; Williams, C.R.; Chen, B.; Dong, X.; Giangrande, S.E.; Khain, A.; Mansell, E.; et al. Cloud-Resolving Model Intercomparison of an MC3E Squall Line Case: Part II. Stratiform Precipitation Properties. JGR Atmos. 2019, 124, 1090–1117. [Google Scholar] [CrossRef]
- Han, M.; Braun, S.A.; Matsui, T.; Williams, C.R. Evaluation of Cloud Microphysics Schemes in Simulations of a Winter Storm Using Radar and Radiometer Measurements. JGR Atmos. 2013, 118, 1401–1419. [Google Scholar] [CrossRef]
- Wheatley, D.M.; Yussouf, N.; Stensrud, D.J. Ensemble Kalman Filter Analyses and Forecasts of a Severe Mesoscale Convective System Using Different Choices of Microphysics Schemes. Mon. Weather Rev. 2014, 142, 3243–3263. [Google Scholar] [CrossRef]
- Fan, J.; Han, B.; Varble, A.; Morrison, H.; North, K.; Kollias, P.; Chen, B.; Dong, X.; Giangrande, S.E.; Khain, A.; et al. Cloud-resolving Model Intercomparison of an MC3E Squall Line Case: Part I—Convective Updrafts. JGR Atmos. 2017, 122, 9351–9378. [Google Scholar] [CrossRef]
- Zhou, A.; Zhao, K.; Lee, W.; Huang, H.; Hu, D.; Fu, P. VDRAS and Polarimetric Radar Investigation of a Bow Echo Formation After a Squall Line Merged With a Preline Convective Cell. JGR Atmos. 2020, 125, e2019JD031719. [Google Scholar] [CrossRef]
- Kumjian, M.R.; Lebo, Z.J.; Morrison, H.C. On the Mechanisms of Rain Formation in an Idealized Supercell Storm. Mon. Weather Rev. 2015, 143, 2754–2773. [Google Scholar] [CrossRef]
- Barnes, H.C.; Houze, R.A. Comparison of Observed and Simulated Spatial Patterns of Ice Microphysical Processes in Tropical Oceanic Mesoscale Convective Systems. JGR Atmos. 2016, 121, 8269–8296. [Google Scholar] [CrossRef]
- Kumjian, M.R.; Mishra, S.; Giangrande, S.E.; Toto, T.; Ryzhkov, A.V.; Bansemer, A. Polarimetric Radar and Aircraft Observations of Saggy Bright Bands during MC3E. J. Geophys. Res. Atmos. 2016, 121, 3584–3607. [Google Scholar] [CrossRef]
- Putnam, B.J.; Xue, M.; Jung, Y.; Snook, N.; Zhang, G. The Analysis and Prediction of Microphysical States and Polarimetric Radar Variables in a Mesoscale Convective System Using Double-Moment Microphysics, Multinetwork Radar Data, and the Ensemble Kalman Filter. Mon. Weather Rev. 2014, 142, 141–162. [Google Scholar] [CrossRef]
- Sun, Y.; Zhou, Z.; Gao, Q.; Li, H.; Wang, M. Evaluating Simulated Microphysics of Stratiform and Convective Precipitation in a Squall Line Event Using Polarimetric Radar Observations. Remote Sens. 2023, 15, 1507. [Google Scholar] [CrossRef]
- Zhou, Z.; Du, M.; Hu, Y.; Kang, Z.; Yu, R.; Guo, Y. An Evaluation and Improvement of Microphysical Parameterization for a Heavy Rainfall Process during the Meiyu Season. Remote Sens. 2024, 16, 1636. [Google Scholar] [CrossRef]
- Wan, Q.; Wang, B.; Wong, W.K.; Hu, Z.; Jou, B.J.-D.; Lin, Y.; Johnson, R.H.; Chang, C.-P.; Zhu, Y.; Zhang, X.; et al. The Southern China Monsoon Rainfall Experiment (SCMREX). Bull. Am. Meteorol. Soc. 2017, 98, 999–1013. [Google Scholar] [CrossRef]
- Meng, Z.; Yan, D.; Zhang, Y. General Features of Squall Lines in East China. Mon. Weather Rev. 2013, 141, 1629–1647. [Google Scholar] [CrossRef]
- Xu, X.; Xue, M.; Wang, Y. Mesovortices within the 8 May 2009 Bow Echo over the Central United States: Analyses of the Characteristics and Evolution Based on Doppler Radar Observations and a High-Resolution Model Simulation. Mon. Weather Rev. 2015, 143, 2266–2290. [Google Scholar] [CrossRef]
- Verlinde, J.; Cotton, W.R. Fitting Microphysical Observations of Nonsteady Convective Clouds to a Numerical Model: An Application of the Adjoint Technique of Data Assimilation to a Kinematic Model. Mon. Wea. Rev. 1993, 121, 2776–2793. [Google Scholar] [CrossRef]
- Srivastava, R.C.; Coen, J.L. New Explicit Equations for the Accurate Calculation of the Growth and Evaporation of Hydrometeors by the Diffusion of Water Vapor. J. Atmos. Sci. 1992, 49, 1643–1651. [Google Scholar] [CrossRef]












| Scheme | Mass Ratio | Number Concentration |
|---|---|---|
| THOM | qc, qr, qi, qs, qg | Nr, Ni |
| MY | qc, qr, qi, qs, qg, qh | Nc, Nr, Ni, Ns, Ng, Nh |
| Modified Variables | The Name of Sensitivity Experiments |
|---|---|
| Db (1.95 mm) | THOM_BKP1000, THOM_BKP1200, THOM_BKP1400, THOM_BKP1600, THOM_BKP1800, THOM_BKP2200 |
| EE | THOM_EVP0.5, THOM_EVP1.5, THOM_EVP3.0, THOM_EVP5.0, THOM_EVP10.0 |
Disclaimer/Publisher’s Note: The statements, opinions and data contained in all publications are solely those of the individual author(s) and contributor(s) and not of MDPI and/or the editor(s). MDPI and/or the editor(s) disclaim responsibility for any injury to people or property resulting from any ideas, methods, instructions or products referred to in the content. |
© 2024 by the authors. Licensee MDPI, Basel, Switzerland. This article is an open access article distributed under the terms and conditions of the Creative Commons Attribution (CC BY) license (https://creativecommons.org/licenses/by/4.0/).
Share and Cite
Cheng, Z.; Liu, X. A Numerical Simulation of Convective Systems in Southeast China: A Comparison of Microphysical Schemes and Sensitivity Experiments on Raindrop Break and Evaporation. Remote Sens. 2024, 16, 4297. https://doi.org/10.3390/rs16224297
Cheng Z, Liu X. A Numerical Simulation of Convective Systems in Southeast China: A Comparison of Microphysical Schemes and Sensitivity Experiments on Raindrop Break and Evaporation. Remote Sensing. 2024; 16(22):4297. https://doi.org/10.3390/rs16224297
Chicago/Turabian StyleCheng, Zhaoqing, and Xiaoli Liu. 2024. "A Numerical Simulation of Convective Systems in Southeast China: A Comparison of Microphysical Schemes and Sensitivity Experiments on Raindrop Break and Evaporation" Remote Sensing 16, no. 22: 4297. https://doi.org/10.3390/rs16224297
APA StyleCheng, Z., & Liu, X. (2024). A Numerical Simulation of Convective Systems in Southeast China: A Comparison of Microphysical Schemes and Sensitivity Experiments on Raindrop Break and Evaporation. Remote Sensing, 16(22), 4297. https://doi.org/10.3390/rs16224297

