The Impact of Estimated Energy and Protein Balances on Extrauterine Growth in Preterm Infants
Abstract
1. Introduction
2. Materials and Methods
2.1. Study Design and Population
2.2. Clinical Data
2.3. Anthropometry
2.4. Nutritional Data
2.5. Statistical Analysis
3. Results
3.1. Demographic, Anthropometry, and Clinical Data
3.2. Nutritional Data
3.3. Energy and Macronutrients
3.4. Estimated Energy and Protein Balance
3.5. Predictors of Estimated Energy or Protein Balance
3.5.1. Predictors of a Positive Estimated Energy Balance
3.5.2. Predictors of a Positive Estimated Protein Balance
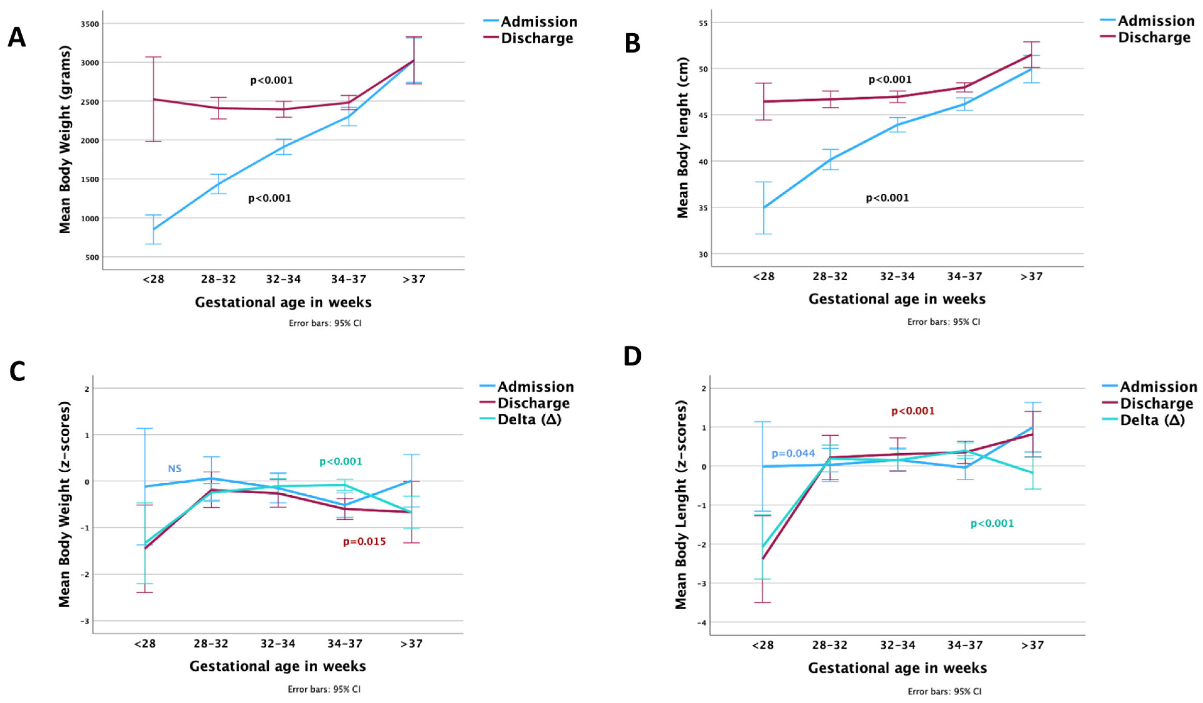
3.6. Nutrition and Growth
3.7. Predictors of Growth
3.8. Independent Associations with Catch up Growth
4. Discussion
5. Conclusions
Supplementary Materials
Author Contributions
Funding
Institutional Review Board Statement
Informed Consent Statement
Data Availability Statement
Acknowledgments
Conflicts of Interest
References
- Ilardi, L.; Proto, A.; Ceroni, F.; Morniroli, D.; Martinelli, S.; Mosca, F.; Giannì, M.L. Overview of Important Micronutrients Supplementation in Preterm Infants after Discharge: A Call for Consensus. Life 2021, 11, 331. [Google Scholar] [CrossRef]
- Harding, J.E.; Cormack, B.E.; Alexander, T.; Alsweiler, J.M.; Bloomfield, F.H. Advances in Nutrition of the Newborn Infant. Lancet 2017, 389, 1660–1668. [Google Scholar] [CrossRef] [PubMed]
- Brune, K.D.; Donn, S.M. Enteral Feeding of the Preterm Infant. NeoReviews 2018, 19, e645–e653. [Google Scholar] [CrossRef]
- Assad, M.; Jerome, M.; Olyaei, A.; Nizich, S.; Hedges, M.; Gosselin, K.; Scottoline, B. Dilemmas in Establishing Preterm Enteral Feeding: Where Do We Start and How Fast Do We Go? J. Perinatol. 2023. [Google Scholar] [CrossRef] [PubMed]
- Coverston, C.R.; Schwartz, R. Extrauterine Growth Restriction: A Continuing Problem in the NICU. MCN Am. J. Matern. Child. Nurs. 2005, 30, 101–106; quiz 107–108. [Google Scholar] [CrossRef] [PubMed]
- Committee on Nutrition. Nutritional Needs of Low-Birth-Weight Infants. Pediatrics 1977, 60, 519–530. [Google Scholar] [CrossRef]
- Villar, J.; Giuliani, F.; Barros, F.; Roggero, P.; Coronado Zarco, I.A.; Rego, M.A.S.; Ochieng, R.; Gianni, M.L.; Rao, S.; Lambert, A.; et al. Monitoring the Postnatal Growth of Preterm Infants: A Paradigm Change. Pediatrics 2018, 141, e20172467. [Google Scholar] [CrossRef]
- Villar, J.; Ismail, L.C.; Victora, C.G.; Ohuma, E.O.; Bertino, E.; Altman, D.G.; Lambert, A.; Papageorghiou, A.T.; Carvalho, M.; Jaffer, Y.A.; et al. International Standards for Newborn Weight, Length, and Head Circumference by Gestational Age and Sex: The Newborn Cross-Sectional Study of the INTERGROWTH-21st Project. Lancet 2014, 384, 857–868. [Google Scholar] [CrossRef]
- Reddy, K.V.; Sharma, D.; Vardhelli, V.; Bashir, T.; Deshbotla, S.K.; Murki, S. Comparison of Fenton 2013 Growth Curves and Intergrowth-21 Growth Standards to Assess the Incidence of Intrauterine Growth Restriction and Extrauterine Growth Restriction in Preterm Neonates ≤32 Weeks. J. Matern. Fetal Neonatal Med. 2021, 34, 2634–2641. [Google Scholar] [CrossRef] [PubMed]
- Kim, Y.-J.; Shin, S.H.; Cho, H.; Shin, S.H.; Kim, S.H.; Song, I.G.; Kim, E.-K.; Kim, H.-S. Extrauterine Growth Restriction in Extremely Preterm Infants Based on the Intergrowth-21st Project Preterm Postnatal Follow-up Study Growth Charts and the Fenton Growth Charts. Eur. J. Pediatr. 2021, 180, 817–824. [Google Scholar] [CrossRef]
- Lewis, E.D.; Richard, C.; Larsen, B.M.; Field, C.J. The Importance of Human Milk for Immunity in Preterm Infants. Clin. Perinatol. 2017, 44, 23–47. [Google Scholar] [CrossRef] [PubMed]
- Ziegler, E.E. Meeting the Nutritional Needs of the Low-Birth-Weight Infant. Ann. Nutr. Metab. 2011, 58 (Suppl. S1), 8–18. [Google Scholar] [CrossRef]
- Tozzi, M.G.; Moscuzza, F.; Michelucci, A.; Lorenzoni, F.; Cosini, C.; Ciantelli, M.; Ghirri, P. ExtraUterine Growth Restriction (EUGR) in Preterm Infants: Growth Patterns, Nutrition, and Epigenetic Markers. A Pilot Study. Front. Pediatr. 2018, 6, 408. [Google Scholar] [CrossRef] [PubMed]
- Belfort, M.B.; Ramel, S.E. NICU Diet, Physical Growth and Nutrient Accretion, and Preterm Infant Brain Development. Neoreviews 2019, 20, e385–e396. [Google Scholar] [CrossRef]
- Immeli, L.; Sankilampi, U.; Mäkelä, P.M.; Leskinen, M.; Sund, R.; Andersson, S.; Luukkainen, P. Length of Nutritional Transition Associates Negatively with Postnatal Growth in Very Low Birthweight Infants. Nutrients 2021, 13, 3961. [Google Scholar] [CrossRef]
- Pillai, A.; Albersheim, S.; Niknafs, N.; Maugo, B.; Rasmussen, B.; Lam, M.; Grewal, G.; Albert, A.; Elango, R. Human Milk Calorie Guide: A Novel Color-Based Tool to Estimate the Calorie Content of Human Milk for Preterm Infants. Nutrients 2023, 15, 1866. [Google Scholar] [CrossRef]
- Arslanoglu, S.; Boquien, C.-Y.; King, C.; Lamireau, D.; Tonetto, P.; Barnett, D.; Bertino, E.; Gaya, A.; Gebauer, C.; Grovslien, A.; et al. Fortification of Human Milk for Preterm Infants: Update and Recommendations of the European Milk Bank Association (EMBA) Working Group on Human Milk Fortification. Front. Pediatr. 2019, 7, 76. [Google Scholar] [PubMed]
- Stephens, B.E.; Walden, R.V.; Gargus, R.A.; Tucker, R.; McKinley, L.; Mance, M.; Nye, J.; Vohr, B.R. First-Week Protein and Energy Intakes Are Associated with 18-Month Developmental Outcomes in Extremely Low Birth Weight Infants. Pediatrics 2009, 123, 1337–1343. [Google Scholar] [CrossRef]
- Pfister, K.M.; Ramel, S.E. Linear Growth and Neurodevelopmental Outcomes. Clin. Perinatol. 2014, 41, 309–321. [Google Scholar] [CrossRef]
- Falciglia, G.H.; Murthy, K.; Holl, J.; Palac, H.L.; Oumarbaeva, Y.; Yadavalli, P.; Woods, D.; Robinson, D.T. Association between the 7-Day Moving Average for Nutrition and Growth in Very Low Birth Weight Infants. JPEN J. Parenter. Enter. Nutr. 2018, 42, 805–812. [Google Scholar] [CrossRef] [PubMed]
- Cardoso, M.; Virella, D.; Papoila, A.L.; Alves, M.; Macedo, I.; e Silva, D.; Pereira-da-Silva, L. Individualized Fortification Based on Measured Macronutrient Content of Human Milk Improves Growth and Body Composition in Infants Born Less than 33 Weeks: A Mixed-Cohort Study. Nutrients 2023, 15, 1533. [Google Scholar] [CrossRef]
- Matinolli, H.-M.; Hovi, P.; Levälahti, E.; Kaserva, N.; Silveira, P.P.; Hemiö, K.; Järvenpää, A.-L.; Eriksson, J.G.; Andersson, S.; Lindström, J.; et al. Neonatal Nutrition Predicts Energy Balance in Young Adults Born Preterm at Very Low Birth Weight. Nutrients 2017, 9, 1282. [Google Scholar] [CrossRef]
- Lapillonne, A.; Griffin, I.J. Feeding Preterm Infants Today for Later Metabolic and Cardiovascular Outcomes. J. Pediatr. 2013, 162, S7–S16. [Google Scholar] [CrossRef] [PubMed]
- Asbury, M.R.; Unger, S.; Kiss, A.; Ng, D.V.Y.; Luk, Y.; Bando, N.; Bishara, R.; Tomlinson, C.; O’Connor, D.L. GTA-DoMINO Feeding Group Optimizing the Growth of Very-Low-Birth-Weight Infants Requires Targeting Both Nutritional and Nonnutritional Modifiable Factors Specific to Stage of Hospitalization. Am. J. Clin. Nutr. 2019, 110, 1384–1394. [Google Scholar] [CrossRef] [PubMed]
- Embleton, N.D.; Moltu, S.J.; Lapillonne, A.; van den Akker, C.H.P.; Carnielli, V.; Fusch, C.; Gerasimidis, K.; van Goudoever, J.B.; Haiden, N.; Iacobelli, S.; et al. Enteral Nutrition in Preterm Infants (2022): A Position Paper from the ESPGHAN Committee on Nutrition and Invited Experts. J. Pediatr. Gastroenterol. Nutr. 2023, 76, 248–268. [Google Scholar] [CrossRef] [PubMed]
- Damhuis, S.E.; Ganzevoort, W.; Gordijn, S.J. Abnormal Fetal Growth: Small for Gestational Age, Fetal Growth Restriction, Large for Gestational Age: Definitions and Epidemiology. Obstet. Gynecol. Clin. N. Am. 2021, 48, 267–279. [Google Scholar] [CrossRef]
- Ezz-Eldin, Z.M.; Hamid, T.A.A.; Youssef, M.R.L.; Nabil, H.E.-D. Clinical Risk Index for Babies (CRIB II) Scoring System in Prediction of Mortality in Premature Babies. J. Clin. Diagn. Res. 2015, 9, SC08-11. [Google Scholar] [CrossRef]
- INTERGROWTH-21st. Available online: http://intergrowth21.ndog.ox.ac.uk/en/ManualEntry/Compute (accessed on 17 April 2023).
- INTERGROWTH-21st. Available online: http://intergrowth21.ndog.ox.ac.uk/preterm/en/ManualEntry (accessed on 17 April 2023).
- Patel, A.L.; Engstrom, J.L.; Meier, P.P.; Jegier, B.J.; Kimura, R.E. Calculating Postnatal Growth Velocity in Very Low Birth Weight (VLBW) Premature Infants. J. Perinatol. 2009, 29, 618–622. [Google Scholar] [CrossRef] [PubMed]
- Fenton, T.R.; Chan, H.T.; Madhu, A.; Griffin, I.J.; Hoyos, A.; Ziegler, E.E.; Groh-Wargo, S.; Carlson, S.J.; Senterre, T.; Anderson, D.; et al. Preterm Infant Growth Velocity Calculations: A Systematic Review. Pediatrics 2017, 139, e20162045. [Google Scholar] [CrossRef] [PubMed]
- Gomella, T.L.; Eyal, F.G.; Bany-Mohammed, F. Nutritional Management. In Gomella’s Neonatology: Management, Procedures, On-Call Problems, Diseases, and Drugs, 8e; McGraw-Hill Education: New York, NY, USA, 2020. [Google Scholar]
- Ballard, O.; Morrow, A.L. Human Milk Composition: Nutrients and Bioactive Factors. Pediatr. Clin. N. Am. 2013, 60, 49–74. [Google Scholar]
- Moltu, S.J.; Bronsky, J.; Embleton, N.; Gerasimidis, K.; Indrio, F.; Köglmeier, J.; de Koning, B.; Lapillonne, A.; Norsa, L.; Verduci, E.; et al. Nutritional Management of the Critically Ill Neonate: A Position Paper of the ESPGHAN Committee on Nutrition. J. Pediatr. Gastroenterol. Nutr. 2021, 73, 274–289. [Google Scholar] [CrossRef] [PubMed]
- Van Goudoever, J.B.; Carnielli, V.; Darmaun, D.; de Pipaon, M.S.; Braegger, C.; Bronsky, J.; Cai, W.; Campoy, C.; Carnielli, V.; Darmaun, D.; et al. ESPGHAN/ESPEN/ESPR/CSPEN Guidelines on Pediatric Parenteral Nutrition: Amino Acids. Clin. Nutr. 2018, 37, 2315–2323. [Google Scholar] [CrossRef] [PubMed]
- Thoene, M.; Anderson-Berry, A. Early Enteral Feeding in Preterm Infants: A Narrative Review of the Nutritional, Metabolic, and Developmental Benefits. Nutrients 2021, 13, 2289. [Google Scholar] [CrossRef] [PubMed]
- Kwok, T.C.; Dorling, J.; Gale, C. Early Enteral Feeding in Preterm Infants. Semin. Perinatol. 2019, 43, 151159. [Google Scholar] [CrossRef] [PubMed]
- Thoene, M.K.; Lyden, E.; Anderson-Berry, A. Improving Nutrition Outcomes for Infants < 1500 Grams with a Progressive, Evidenced-Based Enteral Feeding Protocol. Nutr. Clin. Prac. 2018, 33, 647–655. [Google Scholar] [CrossRef]
- Walsh, V.; Brown, J.V.E.; Copperthwaite, B.R.; Oddie, S.J.; McGuire, W. Early Full Enteral Feeding for Preterm or Low Birth Weight Infants. Cochrane Database Syst. Rev. 2020, 12, CD013542. [Google Scholar] [CrossRef] [PubMed]
- Oddie, S.J.; Young, L.; McGuire, W. Slow Advancement of Enteral Feed Volumes to Prevent Necrotising Enterocolitis in Very Low Birth Weight Infants. Cochrane Database Syst. Rev. 2021, 8, CD001241. [Google Scholar] [CrossRef]
- Lapillonne, A.; Kermorvant-Duchemin, E. A Systematic Review of Practice Surveys on Parenteral Nutrition for Preterm Infants. J. Nutr. 2013, 143, 2061S–2065S. [Google Scholar] [CrossRef]
- Boscarino, G.; Conti, M.G.; di Chiara, M.; Bianchi, M.; Onestà, E.; Faccioli, F.; Deli, G.; Repole, P.; Oliva, S.; Cresi, F.; et al. Early Enteral Feeding Improves Tolerance of Parenteral Nutrition in Preterm Newborns. Nutrients 2021, 13, 3886. [Google Scholar] [CrossRef]
- Martin, C.R.; Brown, Y.F.; Ehrenkranz, R.A.; O’Shea, T.M.; Allred, E.N.; Belfort, M.B.; McCormick, M.C.; Leviton, A. Extremely Low Gestational Age Newborns Study Investigators Nutritional Practices and Growth Velocity in the First Month of Life in Extremely Premature Infants. Pediatrics 2009, 124, 649–657. [Google Scholar] [CrossRef]
- Nagel, E.M.; Gonzalez V, J.D.; Bye, J.K.; Super, J.; Demerath, E.W.; Ramel, S.E. Enhanced Parenteral Nutrition Is Feasible and Safe in Very Low Birth Weight Preterm Infants: A Randomized Trial. Neonatology 2023, 120, 242–249. [Google Scholar] [CrossRef]
- Goldberg, D.L.; Becker, P.J.; Brigham, K.; Carlson, S.; Fleck, L.; Gollins, L.; Sandrock, M.; Fullmer, M.; van Poots, H.A. Identifying Malnutrition in Preterm and Neonatal Populations: Recommended Indicators. J. Acad. Nutr. Diet. 2018, 118, 1571–1582. [Google Scholar] [CrossRef]
- Gerritsen, L.; Lindeboom, R.; Hummel, T. Prescribed Protein Intake Does Not Meet Recommended Intake in Moderate- and Late-Preterm Infants: Contribution to Weight Gain and Head Growth. Nutr. Clin. Prac. 2020, 35, 729–737. [Google Scholar] [CrossRef]
- Engle, W.A.; Tomashek, K.M.; Wallman, C. “Late-Preterm” Infants: A Population at Risk. Pediatrics 2007, 120, 1390–1401. [Google Scholar] [CrossRef]
- Asadi, S.; Bloomfield, F.H.; Harding, J.E. Nutrition in Late Preterm Infants. Semin. Perinatol. 2019, 43, 151160. [Google Scholar] [CrossRef]
- Lin, Y.-H.; Hsu, Y.-C.; Lin, M.-C.; Chen, C.-H.; Wang, T.-M. The Association of Macronutrients in Human Milk with the Growth of Preterm Infants. PLoS ONE 2020, 15, e0230800. [Google Scholar] [CrossRef]
- Gidrewicz, D.A.; Fenton, T.R. A Systematic Review and Meta-Analysis of the Nutrient Content of Preterm and Term Breast Milk. BMC Pediatr. 2014, 14, 216. [Google Scholar] [CrossRef]
- Lapillonne, A.; Bronsky, J.; Campoy, C.; Embleton, N.; Fewtrell, M.; Fidler Mis, N.; Gerasimidis, K.; Hojsak, I.; Hulst, J.; Indrio, F.; et al. Feeding the Late and Moderately Preterm Infant: A Position Paper of the European Society for Paediatric Gastroenterology, Hepatology and Nutrition Committee on Nutrition. J. Pediatr. Gastroenterol. Nutr. 2019, 69, 259–270. [Google Scholar] [CrossRef] [PubMed]
- Baillat, M.; Pauly, V.; Dagau, G.; Berbis, J.; Boubred, F.; Fayol, L. Association of First-Week Nutrient Intake and Extrauterine Growth Restriction in Moderately Preterm Infants: A Regional Population-Based Study. Nutrients 2021, 13, 227. [Google Scholar] [CrossRef] [PubMed]
- Fenton, T.R.; Cormack, B.; Goldberg, D.; Nasser, R.; Alshaikh, B.; Eliasziw, M.; Hay, W.W.; Hoyos, A.; Anderson, D.; Bloomfield, F.; et al. “Extrauterine Growth Restriction” and “Postnatal Growth Failure” Are Misnomers for Preterm Infants. J. Perinatol. 2020, 40, 704–714. [Google Scholar] [CrossRef] [PubMed]
- Peila, C.; Spada, E.; Giuliani, F.; Maiocco, G.; Raia, M.; Cresi, F.; Bertino, E.; Coscia, A. Extrauterine Growth Restriction: Definitions and Predictability of Outcomes in a Cohort of Very Low Birth Weight Infants or Preterm Neonates. Nutrients 2020, 12, 1224. [Google Scholar] [CrossRef]
- Tuzun, F.; Yucesoy, E.; Baysal, B.; Kumral, A.; Duman, N.; Ozkan, H. Comparison of INTERGROWTH-21 and Fenton Growth Standards to Assess Size at Birth and Extrauterine Growth in Very Preterm Infants. J. Matern. Fetal Neonatal Med. 2018, 31, 2252–2257. [Google Scholar] [CrossRef]
- Wang, Y.-S.; Shen, W.; Wu, F.; Mao, J.; Liu, L.; Chang, Y.-M.; Zhang, R.; Ye, X.-Z.; Qiu, Y.-P.; Ma, L.; et al. Factors Influencing Extrauterine Growth Retardation in Singleton-Non-Small for Gestational Age Infants in China: A Prospective Multicenter Study. Pediatr. Neonatol. 2022, 63, 590–598. [Google Scholar] [CrossRef]
- Zozaya, C.; Aziz, K.; Singhal, N.; Ye, X.Y.; Drolet, C.; Emberley, J.; Lee, K.-S.; Shah, V.S.; On Behalf of the Canadian Neonatal Network Cnn Investigators. Association of Weight Changes by Three Days after Birth and Mortality and/or Severe Neurological Injury in Preterm Infants <29 Weeks Gestational Age: A Multicenter Cohort Study. Children 2022, 9, 276. [Google Scholar] [CrossRef] [PubMed]
- Gao, C.; Ehsan, L.; Jones, M.; Khan, M.; Middleton, J.; Vergales, B.; Perks, P.; Syed, S. Time to Regain Birth Weight Predicts Neonatal Growth Velocity: A Single-Center Experience. Clin. Nutr. ESPEN 2020, 38, 165–171. [Google Scholar] [CrossRef]
- Steward, D.K.; Pridham, K.F. Growth Patterns of Extremely Low-Birth-Weight Hospitalized Preterm Infants. J. Obs. Gynecol. Neonatal Nurs. 2002, 31, 57–65. [Google Scholar] [CrossRef] [PubMed]
- Walsh, V.; Brown, J.V.E.; Askie, L.M.; Embleton, N.D.; McGuire, W. Nutrient-Enriched Formula versus Standard Formula for Preterm Infants. Cochrane Database Syst. Rev. 2019, 7, CD004204. [Google Scholar] [CrossRef] [PubMed]
- Moyses, H.E.; Johnson, M.J.; Leaf, A.A.; Cornelius, V.R. Early Parenteral Nutrition and Growth Outcomes in Preterm Infants: A Systematic Review and Meta-Analysis. Am. J. Clin. Nutr. 2013, 97, 816–826. [Google Scholar] [CrossRef] [PubMed]
- Brinkis, R.; Albertsson-Wikland, K.; Tamelienė, R.; Vinskaitė, A.; Šmigelskas, K.; Verkauskienė, R. Nutrient Intake with Early Progressive Enteral Feeding and Growth of Very Low-Birth-Weight Newborns. Nutrients 2022, 14, 1181. [Google Scholar] [CrossRef]
- Wackernagel, D.; Brückner, A.; Ahlsson, F. Computer-Aided Nutrition—Effects on Nutrition and Growth in Preterm Infants <32 Weeks of Gestation. Clin. Nutr. ESPEN 2015, 10, e234–e241. [Google Scholar] [CrossRef]
- Thanh, L.Q.; Chen, Y.; Hartweg, M.; Thi Nguyen, T.A. Effects of Higher Protein Formula with Improved Fat Blend on Growth, Feeding Tolerance and Nutritional Biomarkers in Preterm Infants: A Double-Blind, Randomized, Controlled Clinical Trial. Pediatr. Neonatol. 2022, 63, 227–238. [Google Scholar] [CrossRef] [PubMed]
- Abiramalatha, T.; Thomas, N.; Thanigainathan, S. High versus Standard Volume Enteral Feeds to Promote Growth in Preterm or Low Birth Weight Infants. Cochrane Database Syst. Rev. 2021, 3, CD012413. [Google Scholar] [CrossRef]
- Reis, J.D.; Tolentino-Plata, K.; Caraig, M.; Heyne, R.; Rosenfeld, C.R.; Brown, L.S.; Brion, L.P. Double-Blinded Randomized Controlled Trial of Optimizing Nutrition in Preterm Very Low Birth Weight Infants: Bayley Scores at 18–38 Months of Age. J. Perinatol. 2023, 43, 81–85. [Google Scholar] [CrossRef]
- Macedo, I.; Pereira-da-Silva, L.; Cardoso, M. Associations of Measured Protein and Energy Intakes with Growth and Adiposity in Human Milk-Fed Preterm Infants at Term Postmenstrual Age: A Cohort Study. Am. J. Perinatol. 2018, 35, 882–891. [Google Scholar] [CrossRef]
- Alshaikh, B.N.; Festival, J.; Reyes Loredo, A.; Yusuf, K.; Towage, Z.; Fenton, T.R.; Wood, C. Hindmilk as a Rescue Therapy in Very Preterm Infants with Suboptimal Growth Velocity. Nutrients 2023, 15, 929. [Google Scholar] [CrossRef] [PubMed]
- Boscarino, G.; Carducci, C.; Conti, M.G.; Podagrosi, M.; Gigliello, A.; di Chiara, M.; Bartolucci, M.; Brunelli, R.; Parisi, P.; Angeloni, A.; et al. Early Energy Intake and Amino Acid Profile in Preterm Newborns: A Quasi-Experimental Study. Nutrients 2023, 15, 2917. [Google Scholar] [CrossRef]
- World Medical Association World Medical Association Declaration of Helsinki: Ethical Principles for Medical Research Involving Human Subjects. JAMA 2013, 310, 2191–2194. [CrossRef]







| Preterm Formula/Human Milk | Infant Formula/Mature Human Milk | |
|---|---|---|
| Energy (kcal/100 mL) [33] | 73.5 | 67.5 |
| Protein (g/100 mL) [33] | 2.05 | 1.23 |
| Preterm Infants | Term Neonates | |
|---|---|---|
| Energy (kcal/kg body weight/d) | ||
| Enteral [25] * | 115–140 (−160) ** | 90–120 |
| Parenteral [35] | 90–120 | 75–85 |
| Protein (g/kg body weight/d) | ||
| Enteral [25] | 3.5–4.5 | 2.0–3.5 |
| Parenteral [35] | 2.5–3.5 | 2.0–3.0 |
| Patients’ Data | Gestational Age Groups | ||||||
|---|---|---|---|---|---|---|---|
| <28 | 28–31+6 | 32–33+6 | 34–36+6 | >37 | Total | p-Value | |
| Neonates, n (%) | 8 (4.6) | 21 (12.1) | 52 (29.9) | 77 (44.3) | 16 (9.2) | 174 (100) | |
| Boys | 4 (50) | 10 (47.6) | 36 (69.2) | 45 (58.4) | 12 (75) | 107 (61.5) | 0.287 |
| Girls | 4 (50) | 11 (52.4) | 16 (30.8) | 32 (41.6) | 4 (25) | 67 (38.5) | |
| Anthropometry on admission, mean ± SD | |||||||
| Birthweight (kg) | 0.8 ± 0.22 | 1.43 ± 0.27 | 1.91 ± 0.36 | 2.3 ± 0.52 | 3.03 ± 0.54 | 2.08 ± 0.65 | <0.001 |
| Birthweight z-score * | −0.12 ± 1.49 | 0.05 ± 1.02 | −0.15 ± 1.13 | −0.51 ± 1.15 | 0.007 ± 1.06 | −0.27 ± 1.15 | 0.143 |
| Length (cm) | 34.9 ± 3.3 | 40.1 ± 2.4 | 43.9 ± 2.7 | 46.1 ± 2.9 | 49.9 ± 2.7 | 44.5 ± 4.3 | <0.001 |
| Length z-score * | −0.01 ± 1.37 | 0.02 ± 0.92 | 0.15 ± 1.09 | −0.04 ± 1.33 | 0.99 ± 1.19 | 0.12 ± 1.23 | 0.044 |
| Head Circumference (cm) | 23.6 ± 1.5 | 27.7 ± 1.4 | 30.4 ± 1.7 | 32.1 ± 1.7 | 34.1 ± 1.7 | 30.8 ± 2.8 | <0.001 |
| Head Circumference z-score * | −0.38 ± 0.89 | −0.10 ± 0.82 | −0.002 ± 1.16 | 0.06 ± 1.24 | 0.67 ± 1.29 | 0.05 ± 1.17 | 0.200 |
| SGA, n (%) | 2 (25) | 3 (14.3) | 6 (11.5) | 19 (24.7) | 2 (12.5) | 32 (18.4) | 0.344 |
| IUGR, n (%) | 2 (25) | 3 (14.3) | 3 (5.8) | 18 (23.4) | 2 (12.5) | 28 (16.1) | 0.099 |
| Clinical data | |||||||
| Length of stay (d), mean ± SD | 90.3 ± 30.2 | 42.2 ± 12.3 | 22.6 ± 10.9 | 13.78 ± 6.65 | 7.31 ± 3.97 | 22.78 ± 20.65 | <0.001 |
| Resuscitation, n (%) | 7 (87.5) | 13 (61.9) | 18 (34.6) | 18 (23.4) | 4 (25) | 60 (34.5%) | <0.001 |
| CRIB-II scores, mean ± SD | 11 ± 1.77 | 4.11 ± 2.24 | 3.14 ± 2 | ||||
| RDS, n (%) | 7 (87.5) | 11 (52.4) | 23 (46) | 27 (35.5) | 11 (73.3) | 79 (46.5) | 0.004 |
| Respiratory support, n (%total) | 7 (87.5) | 20 (95.2) | 32 (61.5) | 25 (32.5) | 8 (50) | 92 (52.9) | <0.001 |
| Invasive MV, n (%supp) | 7 (100) | 14 (66.7) | 13 (25) | 5(6.5) | 0 | 39 (42) | |
| NCPAP | 0 (0) | 5 (23.8) | 17 (32.7) | 19 (24.7) | 6 (37.5) | 47 (51) | |
| HFNC | 0 | 1 | 1 | 1 | 2 | 5 (5) | |
| Diffuse O2 | 0 | 0 | 1 | 0 | 0 | 1 (1) | <0.001 |
| None | 0 | 1 | 20 | 52 | 8 | 81 | |
| Days on invasive MV, mean ± SD | 17.2 ± 11 | 2.5 ± 3.6 | 1.03 ± 1.3 | 0.59 ± 1.7 | 0 | 2.45 ± 5.6 | <0.001 |
| BPD, n (%) | 4 (50) | 2 (9.5) | 0 (0) | 0 (0) | 0 (0) | 6 (3.5) | <0.001 |
| Sepsis, n (%) | 5 (71.4) | 5 (23.8) | 3 (5.8) | 4 (5.2) | 0 (0) | 17 (9.8) | <0.001 |
| PDA, n (%) | 3 (42.9) | 1 (4.8) | 2 (3.9) | 1 (1.3) | 0 (0) | 7 (4.1) | <0.001 |
| NEC, n (%) | 1 (14.3) | 0 (0) | 0 (0) | 0 (0) | 0 (0) | 1 (0.6) | <0.001 |
| Patient Data | Gestational Age Groups | ||||||
|---|---|---|---|---|---|---|---|
| <28 | 28–31+6 | 32–33+6 | 34–36+6 | >37 | Total | p Value | |
| Timing | Mean ± SD | ||||||
| Day of EN initiation | 3.5 ± 0.9 | 2.62 ± 2.08 | 1.94 ± 1.3 | 1.55 ± 1 | 1.33 ± 0.61 | 1.87 ± 1.3 | <0.001 |
| Days until full EN | 54.7 ± 28.6 | 14.1 ± 6.2 | 5.51 ± 5.1 | 2.01 ± 2.8 | 0.75 ± 1.1 | 6.91 ± 13.4 | <0.001 |
| Day of PN initiation | 1.0 ± 0.0 | 1.0 ± 0.0 | 1.6 ± 4.26 | 1.23 ± 0.74 | 1.0 ± 0 | 1.32 ± 2.6 | 0.857 |
| Duration of PN | 56.2 ± 25.1 | 13.9 ± 5.6 | 5.8 ± 4.5 | 3.54 ± 2.7 | 1.83 ± 0.98 | 9.75 ± 15.1 | <0.001 |
| Patient Data | Gestational Age Groups | ||||||
|---|---|---|---|---|---|---|---|
| <28 | 28–31+6 | 32–33+6 | 34–36+6 | >37 | Total | p Value * | |
| Total Energy (kcal/kg BW/d) | Mean ± SD | ||||||
| Day 3 | 62.8 ± 13.4 | 68.2 ± 14.36 | 75.9 ± 18.8 | 85.4 ± 20.8 | 81.2 ± 16.3 | 79.2 ± 19.9 | <0.001 |
| Day 7 | 78.2 ± 29.7 | 94.9 ± 14.4 | 110.2 ± 23.2 | 116.4 ± 19.3 | 169.2 ± 92.9 | 111.9 ± 31.4 | <0.001 |
| Day 14 | 72.2 ± 28.3 | 102.9 ± 24.1 | 120.7 ± 27.9 | 137.3 ± 25.9 | 145.2 ± 36.7 | 120.2 ± 31.8 | <0.001 |
| p value ** | 0.006 | <0.001 | <0.001 | <0.001 | 0.223 | <0.001 | |
| Total Protein (g/kg BW/d) | Mean ± SD | ||||||
| Day 3 | 3.3 ± 0.5 | 3.5 ± 0.4 | 2.7 ± 0.9 | 2.0 ± 0.8 | 1.5 ± 0.4 | 2.4 ± 0.9 | <0.001 |
| Day 7 | 3.0 ± 1.2 | 3.6 ± 0.6 | 3.2 ± 0.9 | 2.7 ± 0.9 | 3.0 ± 1.7 | 3.1 ± 1.0 | 0.003 |
| Day 14 | 3.1 ± 1.3 | 3.6 ± 0.5 | 3.6 ± 0.7 | 3.0 ± 0.8 | 2.6 ± 0.7 | 3.3 ± 0.8 | 0.012 |
| p value ** | 0.244 | 0.437 | <0.001 | <0.001 | 0.223 | <0.001 | |
| Patient Data | Gestational Age Groups | ||||||
|---|---|---|---|---|---|---|---|
| <28 | 28–31+6 | 32–33+6 | 34–36+6 | >37 | Total | p Value | |
| Administered— Recommended difference | Mean ± SD | ||||||
| Energy balance *, D7 (kcal/kg/d), mean ± SD | −1.64 ± 8.8 | 3.04 ± 12.2 | 6.05 ± 18.5 | 8.04 ± 18.7 | 79.1 ± 92.9 | 9.44 ± 29.2 | <0.001 |
| Energy balance, D14 (kcal/kg/d), mean ± SD | −26.7 ± 9.9 | 5.3 ± 20.4 | 14.5 ± 24.5 | 27.3 ± 25.8 | 55.2 ± 36.6 | 17.9 ± 27 | <0.001 |
| Protein balance **, D7 (g/kg/d), mean ± SD | 0.92 ± 0.47 | 0.96 ± 0.73 | −0.21 ± 0.86 | −0.70 ± 0.92 | 1.07 ± 1.69 | −0.10 ± 1.11 | <0.001 |
| Protein balance, D14 (g/kg/d), mean ± SD | 0.66 ± 0.57 | −0.09 ± 0.83 | 0.06 ± 0.76 | −0.45 ± 0.81 | 0.63 ± 0.66 | −0.13 ± 0.82 | 0.011 |
| Patient Data | Gestational Age Groups | ||||||
|---|---|---|---|---|---|---|---|
| <28 | 28–31+6 | 32–33+6 | 34–36+6 | >37 | Total | p Value | |
| Anthropometry on discharge * | Mean ± SD | ||||||
| Bodyweight (kg) | 2.50 ± 0.65 | 2.40 ± 0.30 | 2.39 ± 0.36 | 2.48 ± 0.40 | 3.02 ± 0.56 | 2.50 ± 0.44 | <0.001 |
| Bodyweight z-score | −1.46 ± 1.12 | −0.19 ± 0.83 | −0.27 ± 1.06 | −0.60 ± 0.99 | −0.67 ± 1.24 | −0.49 ± 1.05 | 0.015 |
| Length (cm) | 46.4 ± 2.23 | 46.7 ± 1.96 | 46.9 ± 2.23 | 47.9 ± 2.17 | 51.5 ± 2.61 | 49.8 ± 2.55 | <0.001 |
| Length z-score | −2.39 ± 1.24 | 0.22 ± 1.25 | 0.30 ± 1.51 | 0.35 ± 1.26 | 0.822 ± 1.09 | 0.25 ± 1.43 | <0.001 |
| Head Circumference (cm) | 34.4 ± 1.65 | 32.9 ± 1.58 | 32.7 ± 1.10 | 33.0 ± 1.22 | 34.4 ± 1.63 | 33.1 ± 1.36 | <0.001 |
| Head Circumference z-score | −0.78 ± 1.33 | 0.39 ± 1.30 | 0.15 ± 0.94 | −0.09 ± 1.13 | −0.01 ± 1.54 | 0.02 ± 1.16 | 0.145 |
| Delta (Δ) z-Scores ** | Mean ± SD | p value | |||||
| Weight | −1.33 ± 1.03 | −0.24 ± 0.42 | −0.11 ± 0.59 | −0.08 ± 0.51 | −0.67 ± 0.65 | −0.22 ± 0.64 | <0.001 |
| Length | −2.07 ± 0.98 | 0.18 ± 0.76 | 0.14 ± 1.0 | 0.39 ± 0.88 | −0.18 ± 0.76 | 0.12 ± 1.03 | <0.001 |
| Head Circumference | −0.29 ± 1.07 | 0.49 ± 1.13 | 0.13 ± 0.71 | −0.14 ± 0.85 | −0.68 ± 0.76 | −0.04 ± 0.9 | <0.001 |
| Weight gain velocity (g/kg BW/d) | Mean ± SD | p value | |||||
| Boys | 18.8 ± 1.29 | 23.5 ± 4.46 | 19.1 ± 13.8 | 6.85 ± 15.3 | −10.8 ± 30.0 | 10.9 ± 18.8 | <0.001 |
| Girls | 15.8 ± 6.31 | 20.9 ± 6.11 | 19.3 ± 11.7 | 11.5 ± 14.5 | 2.50 ± 12.4 | 14.6 ± 13.1 | <0.035 |
| Days to regain birth weight | 18.1 ± 4.5 | 12.6 ± 4.2 | 10.4 ± 3.7 | 8.7 ± 3.7 | 6.6 ± 3.6 | 10.3 ± 4.5 | <0.001 |
| Day of maximum weight loss | 7.5 ± 2.8 | 5.25 ± 1.5 | 4.1 ± 2.37 | 4.48 ± 2.17 | 3.93 ± 1.32 | 4.55 ± 2.2 | <0.001 |
Disclaimer/Publisher’s Note: The statements, opinions and data contained in all publications are solely those of the individual author(s) and contributor(s) and not of MDPI and/or the editor(s). MDPI and/or the editor(s) disclaim responsibility for any injury to people or property resulting from any ideas, methods, instructions or products referred to in the content. |
© 2023 by the authors. Licensee MDPI, Basel, Switzerland. This article is an open access article distributed under the terms and conditions of the Creative Commons Attribution (CC BY) license (https://creativecommons.org/licenses/by/4.0/).
Share and Cite
Lygerou, I.; Ilia, S.; Briassoulis, P.; Manousaki, A.; Koropouli, M.; Hatzidaki, E.; Briassoulis, G. The Impact of Estimated Energy and Protein Balances on Extrauterine Growth in Preterm Infants. Nutrients 2023, 15, 3556. https://doi.org/10.3390/nu15163556
Lygerou I, Ilia S, Briassoulis P, Manousaki A, Koropouli M, Hatzidaki E, Briassoulis G. The Impact of Estimated Energy and Protein Balances on Extrauterine Growth in Preterm Infants. Nutrients. 2023; 15(16):3556. https://doi.org/10.3390/nu15163556
Chicago/Turabian StyleLygerou, Ioanna, Stavroula Ilia, Panagiotis Briassoulis, Anna Manousaki, Marina Koropouli, Eleftheria Hatzidaki, and George Briassoulis. 2023. "The Impact of Estimated Energy and Protein Balances on Extrauterine Growth in Preterm Infants" Nutrients 15, no. 16: 3556. https://doi.org/10.3390/nu15163556
APA StyleLygerou, I., Ilia, S., Briassoulis, P., Manousaki, A., Koropouli, M., Hatzidaki, E., & Briassoulis, G. (2023). The Impact of Estimated Energy and Protein Balances on Extrauterine Growth in Preterm Infants. Nutrients, 15(16), 3556. https://doi.org/10.3390/nu15163556

