Simulation Study of CH4 and N2O Emission Fluxes from Rice Fields in Northeast China under Different Straw-Returning and Irrigation Methods Based on the DNDC Model
Abstract
1. Introduction
2. Materials and Methods
2.1. Overview of the Experimental Area
2.2. Design of Experiments
2.3. Gas Sampling and Analysis
2.4. DNDC Model
2.4.1. Introduction
2.4.2. Parameter Input and Correction
2.4.3. Sensitivity Analysis
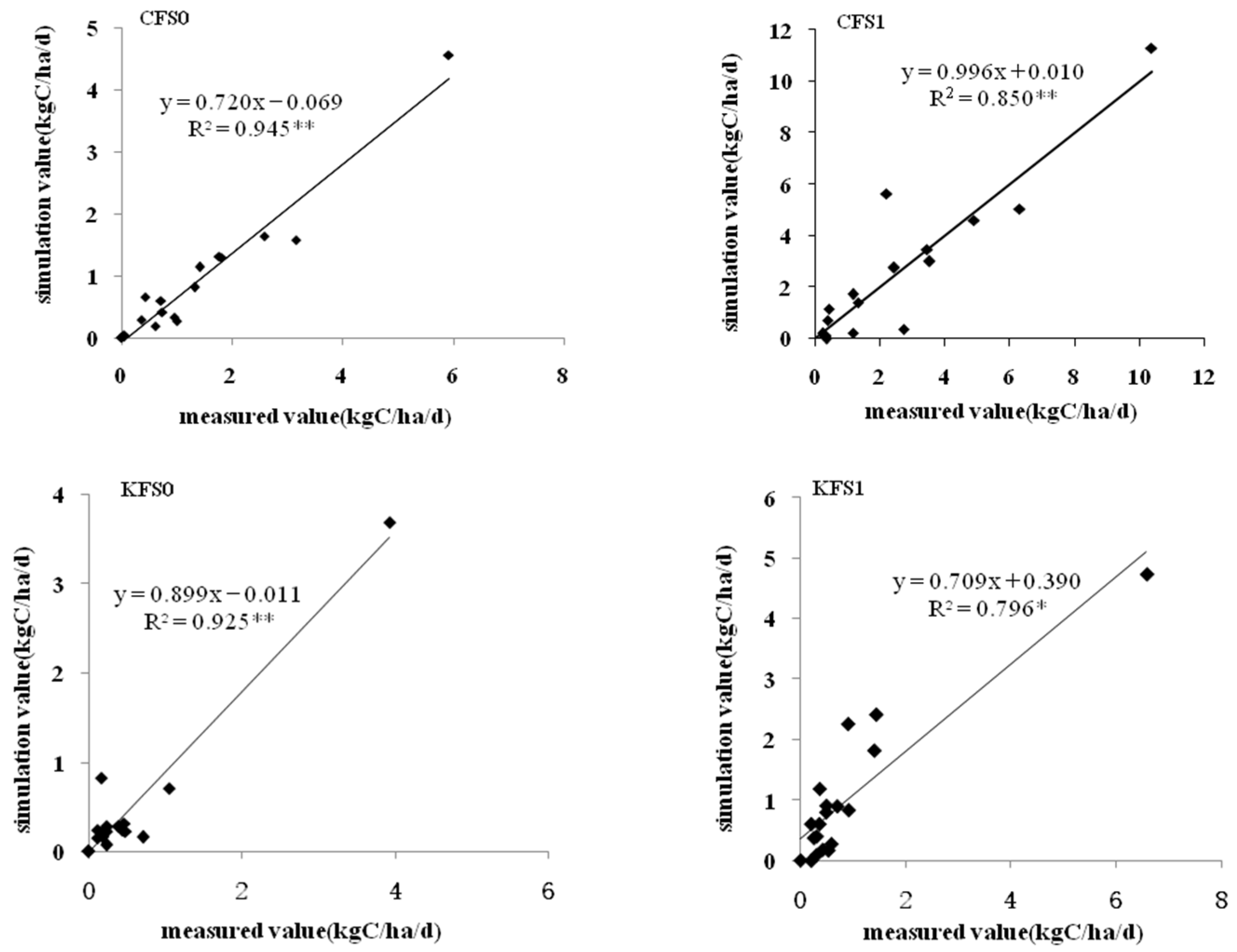
2.4.4. Model Validation
2.5. Data Processing
3. Results
3.1. Analysis of Sensitivity Factors
3.2. Site Simulation of CH4 Emissions from Rice Fields
3.3. Site Simulation of N2O Emissions from Rice Fields
3.4. Simulation of Greenhouse Gas Changes in Rice Fields under Long-Term Straw Returning and Controlled Irrigation
3.4.1. Simulation of Changes in CH4 in Rice Fields under Long-Term Straw Returning and Controlled Irrigation
3.4.2. Simulation of Changes in N2O in Rice Fields under Long-Term Straw Returning and Controlled Irrigation
3.4.3. Simulation of Changes in GWP and SOC in Rice Fields under Long-Term Straw Returning and Controlled Irrigation
4. Discussion
4.1. Sensitivity Analysis of Parameters
4.2. Site Simulation Effect of DNDC Model
4.3. Comparison of Long-Term Simulation of Greenhouse Gas Emissions in Rice Fields with Straw Returning under Different Irrigation Methods
5. Conclusions
Author Contributions
Funding
Data Availability Statement
Acknowledgments
Conflicts of Interest
References
- Smith, P.; Martino, D.; Cai, Z.; Gwary, D.; Janzen, H.; Kumar, P.; McCarl, B.; Ogle, S.; O’Mara, F.; Rice, C.; et al. Greenhouse gas mitigation in agriculture. Philos. Trans. Biol. Sci. 2008, 363, 789–813. [Google Scholar] [CrossRef] [PubMed]
- National Bureau of Statistics. China Statistical Yearbook 2019; China Statistics Press: Beijing, China, 2019; pp. 516–524. (In Chinese)
- Zhang, X.Y.; Li, S.Y.; Yu, F.; Cheng, D.Y.; Gao, J.; Gu, X.; Liu, L.J. Research progresses on the effects of crop straw returning on greenhouse gas emission in paddy field. Hybrid Rice 2021, 36, 1–7. [Google Scholar]
- Zhang, L.; Zheng, J.C.; Chen, L.G.; Shen, M.X.; Zhang, X.; Zhang, M.Q.; Bian, X.M.; Zhang, J.; Zhang, W.J. Integrative effects of soil tillage and straw management on crop yields and greenhouse gas emissions in a rice-wheat cropping system. Eur. J. Agron. 2015, 63, 47–54. [Google Scholar] [CrossRef]
- Nie, T.Z.; Chen, P.; Zhang, Z.X.; Qi, Z.J.; Zhao, J.; Jiang, L.L.; Lin, Y.Y. Effects of irrigation method and rice straw incorporation on CH4 emissions of paddy fields in Northeast China. Paddy Water Environ. 2020, 18, 111–120. [Google Scholar] [CrossRef]
- Ahn, J.H.; Choi, M.Y.; Kim, B.Y.; Lee, J.S.; Song, J.; Kim, G.Y.; Weon, H.Y. Effects of water-saving irrigation on emissions of greenhouse gases and prokaryotic communities in rice paddy soil. Microb. Ecol. 2014, 68, 271–283. [Google Scholar] [CrossRef]
- Li, C.S.; Salas, W.; Deangelo, B.; DeAngel, B.; Rose, S. Assessing alternatives for mitigating net greenhouse gas emissions and increasing yields from rice production in China over the next twenty years. J. Environ. Qual. 2006, 35, 1554–1565. [Google Scholar] [CrossRef]
- Zhang, W.; Huang, Y.; Zheng, X.H.; Li, J.; Yu, Y.Q. Modeling methane emission form rice paddies: Model validation. Acta Ecol. Sin. 2004, 24, 2679–2685. [Google Scholar]
- Li, C.S. Biogeochemistry: Scientific Fundamentals and Modeling Approach; Tsinghua University Press: Beijing, China, 2016; pp. 303–315. (In Chinese) [Google Scholar]
- Brown, L.; Syed, B.; Jarvis, S.C.; Sneath, R.W.; Phillips, V.R.; Goulding, K.W.T.; Li, C. Development andapplication of a mechanistic model to estimate emission of nitrous oxide from UK agriculture. Atmos. Environ. 2002, 36, 917–928. [Google Scholar] [CrossRef]
- Fumoto, T.; Kobayashi, K.; Li, C.S.; Yagi, K.; Hasegawa, T. Revising aprocess-based biogeochemistry model (DNDC) to simulate methane emission from rice paddy fields under various residue management and fertilizer regimes. Glob. Chang. Biol. 2008, 14, 382–402. [Google Scholar] [CrossRef]
- Cui, G.T.; Wang, J.Y. Improving the DNDC biogeochemistry model to simulate soil temperature and emissions of nitrous oxide and carbon dioxide in cold regions. Sci. Total Environ. 2019, 687, 61–70. [Google Scholar] [CrossRef]
- Qian, H.Y.; Yu, T.T.; Zhou, Y.M.; Wang, W.; Chen, S.S. Progress on cabon dynamics simulation of paddy ecosystem based on DNDC model. J. Huazhong Agric. Univ. 2022, 41, 59–70. [Google Scholar]
- Chen, R.S.; Kang, E.; Ji, X.B.; Yang, J.P.; Yang, Y. Cold regions in china. Cold Reg. Sci. Technol. 2006, 45, 95–102. [Google Scholar] [CrossRef]
- GB 5084-2021; Standard for Irrigation Water Quality. Ministry of Ecology and Environment&State Administration for Market Regulation: Beijing, China, 2021; pp. 3–5.
- Du, R.; Wang, G.C.; Lv, D.R.; Kong, Q.X.; Liu, G.R.; Wan, X.W.; Zhang, B.; Wang, Y.F.; Ji, B.M. Application of box method in field experimental observation of greenhouse gas flux in grassland. Atmos. Sci. 2001, 1, 61–70. (In Chinese) [Google Scholar]
- Frei, M.; Razzak, M.; Hossain, M.A.; Hossain, M.M.; Oehme, M.; Dewan, S.; Becker, K. Methane emissions and related physicochemical soil and water parameters in rice-fish systems in Bangladesh. Agric. Ecosyst. Environ. 2007, 120, 391–398. [Google Scholar] [CrossRef]
- Tian, W.; Wu, Y.Z.; Tang, S.R.; Hu, Y.L.; Lai, Q.Q.; Wen, D.N.; Meng, L.; Wu, C.D. Effects of different fertilization modes on CH4 and N2O emissions in late rice paddy fields in hot areas. Environ. Sci. 2019, 40, 2426–2434. (In Chinese) [Google Scholar]
- Ma, Y.C.; Kong, X.W.; Yang, B.; Zhang, X.L.; Yan, X.Y.; Yang, J.C.; Xiong, Z.Q. Net globle warming potential and greenhouse gas intensity of annual rice-wheat rotations with integrated soil-crop system management. Agric. Ecosyst. Environ. 2013, 164, 209–219. [Google Scholar] [CrossRef]
- Li, C.S. Biogeochemical concepts and methodologies: Development of the DNDC model. Quat. Sci. 2001, 21, 89–99. (In Chinese) [Google Scholar]
- Wang, B.; De, L.L.; Assend, S.; Macadam, I.; Yu, Q. Impact of climate change on wheat flowering time in eastern Australia. Agric. For. Meteorol. 2015, 209–210, 11–21. [Google Scholar] [CrossRef]
- Nie, T.Z.; Chen, P.; Zhang, Z.X.; Qi, Z.J.; Sun, Z.Y.; Liu, X.C. Characterizing spatiotemporal dynamics of CH4 fluxes from rice paddies of cold region in Heilongjiang Province under climate change. Int. J. Environ. Res. Public Health 2019, 16, 692. [Google Scholar] [CrossRef]
- Zhao, Z.; Zhang, H.; Li, C.S.; Zhao, Q.; Cao, L.K. Quantifying nitrogen loading from a paddy field in Shanghai, China with modified DNDC model. Agric. Ecosyst. Environ. 2014, 197, 212–221. [Google Scholar] [CrossRef]
- Tonitto, C.; David, M.B.; Li, C.S.; Drinkwater, L.E. Application of the DNDC model to tile-drained Illinois agroecosystems: Model comparison of conventional and diversified rotations. Nutr. Cycl. Agroecosyst. 2007, 78, 65–81. [Google Scholar] [CrossRef]
- Yan, S.S.; Song, J.M.; Fan, J.S.; Yan, C.; Dong, S.K.; Ma, C.M.; Gong, Z.P. Changes in soil organic carbon fractions and microbial community under rice straw return in Northeast China. Glob. Ecol. Conserv. 2020, 22, e00962. [Google Scholar] [CrossRef]
- Ma, J.; Xu, H.; Yagi, K.; Cai, Z.C. Methane emission from paddy soils as affected by wheat straw returning mode. Plant Soil 2008, 313, 167–174. [Google Scholar] [CrossRef]
- Lee, C.H.; Do Park, K.; Jung, K.Y.; Ali, M.A.; Lee, D.; Gutierrez, J.; Kim, P.J. Effect of Chinese milk vetch (Astragalus sinicus L.) as a green manure on rice productivity and methane emission in paddy soil. Agric. Ecosyst. Environ. 2010, 138, 343–347. [Google Scholar] [CrossRef]
- Jiao, Y.; Huang, Y.; Zong, L.G.; Zhou, Q.S. Effect of straw incorporation to different soil in rice-growing season on N2O emission in following wheat-growing season. J. Nanjing Agric. Univ. 2004, 27, 36–40. (In Chinese) [Google Scholar]
- Zou, F.L.; Cao, C.G.; Ma, J.Y.; Li, C.F.; Cai, M.L.; Wang, J.P.; Sun, Z.C.; Jiang, Y. Greenhouse gases emission under different cropping systems in the Jianghan Plain based on DNDC model. Chin. J. Eco-Agric. 2018, 26, 1291–1301. (In Chinese) [Google Scholar]
- Xue, Y.D.; Ren, S.M.; Yang, P.L.; Niu, Y.T.; Zou, Q.H. DNDC model analysis of N2O fluxes in winter wheat/summer maize system with reclaimed water irrigation. Trans. Chin. Soc. Agric. Mach. 2013, 44, 73–78, 85. (in Chinese). [Google Scholar]
- Li, C.S.; Aber, J.; Stange, F.; Butterbach-Bahl, K.; Papen, H. A prodess-oriented model of N2O and NO emissions from forest soils: 1. Model development. J. Geophys. Res.-Atmos. 2000, 105, 4369–4384. [Google Scholar] [CrossRef]
- Li, X.L.; Xu, H.; Cao, J.L.; Cai, Z.C.; Yagi, K. Effects of water management on CH4 emission during rice growth stage. Soils 2007, 39, 238–242. (In Chinese) [Google Scholar]
- Nie, T.Z.; Huang, J.Y.; Zhang, Z.X.; Chen, P.; Li, T.C.; Dai, C.L. The inhibitory effect of a water-saving irrigation repime on CH4 emission in Mollisols under straw incorporation for 5consecutive years. Agric. Water Manag. 2023, 278, 108163. [Google Scholar] [CrossRef]
- Ma, E.D.; Ma, J.; Xu, H.; Cai, Z.C.; Yagi, K. Effects of rice straw returning methods in wheat-growing season on CH4 emissions from following rice-growing season. Ecol. Environ. Sci. 2010, 19, 729–732. (In Chinese) [Google Scholar]
- Xu, Y.C.; Shen, Q.R.; Li, M.L.; Dittert, K.; Sattelmacher, B. Effect of soil water status and mulching on N2O and CH4 emission from lowland rice field in China. Biol. Fertil. Soils 2004, 39, 215–217. [Google Scholar] [CrossRef]
- Ma, Y.F.; Cai, L.Q.; Zhang, R.S. Study on the simulation of soil organic carbon content under different tillage modes. J. Nat. Resour. 2011, 26, 1546–1554. (In Chinese) [Google Scholar]
- Huang, W.; Wu, J.F.; Pan, X.H.; Tan, X.M.; Zeng, Y.J.; Shi, Q.H.; Liu, T.J.; Zeng, Y. Effects of long-term straw return on soil organic carbon fractions and enzyme activities in a double-cropped rice paddy in South China. J. Integr. Agric. 2021, 20, 236–247. [Google Scholar] [CrossRef]









| Organic Material | Total Nitrogen | Total Phosphorus | Total Potassium | Available Nitrogen | Available Phosphorus | Available Potassium | pH |
|---|---|---|---|---|---|---|---|
| (g·kg−1) | (g·kg−1) | (g·kg−1) | (g·kg−1) | (mg·kg−1) | (mg·kg−1) | (mg·kg−1) | |
| 41.61 | 1.49 | 15.13 | 17.96 | 186.42 | 33.90 | 153.20 | 6.87 |
| Irrigation Modes | Growth Stages | |||||||
|---|---|---|---|---|---|---|---|---|
| Turning Green | Early Tillers | Mid Tillers | Late Tillers | Jointing | Heading | Milky | Yellow Ripe | |
| Controlled irrigation | 0–30 mm | 0.7 θS–0 mm | 0.7 θS–0 mm | Field drying | 0.8 θS–0 mm | 0.8 θS–0 mm | 0.7 θS–0 mm | Drying |
| Conventional flooding | 0–30 mm | 0–50 mm | 0–50 mm | Field drying | 0–50 mm | 0–50 mm | 0–50 mm | Drying |
| Treatments | Growth Stages | ||||||
|---|---|---|---|---|---|---|---|
| Turning Green | Tillering | Jointing | Heading | Milky | Yellow Ripe | Whole Growth Period | |
| CFS0 | 45.1 ± 1.21 mm | 180.9 ± 2.03 mm | 109.3 ± 1.95 mm | 131.2 ± 2.38 mm | 70.8 ± 1.38 mm | 0 mm | 537.3 ± 7.51 mm |
| CFS1 | 45.1 ± 1.06 mm | 179.1 ± 1.99 mm | 107.9 ± 2.09 mm | 126.5 ± 2.19 mm | 68.1 ± 1.53 mm | 0 mm | 526.7 ± 6.83 mm |
| KFS0 | 45.1 ± 0.53 mm | 50.7 ± 2.45 mm | 80.6 ± 2.32 mm | 75.4 ± 1.99 mm | 47.8 ± 1.23 mm | 0 mm | 299.6 ± 5.80 mm |
| KFS1 | 45.1 ± 0.45 mm | 50.1 ± 2.57 mm | 77.8 ± 2.17 mm | 74.2 ± 1.69 mm | 45.3 ± 1.35 mm | 0 mm | 292.5 ± 5.46 mm |
| Parameter Type | Parameter Name | Unit | Value |
|---|---|---|---|
| Climate parameters | Latitude | ° | 45.63 |
| Average nitrogen concentration in rainfall | mgN·L−1 | 1.3 | |
| Ammonia concentration in the air | ugN·m−3 | 0.06 | |
| CO2 concentration in the air | ppm | 350 | |
| Annual growth rate of CO2 concentration | ppm·yr−1 | 2.6 | |
| Crop parameters | Maximum biomass | kgC·ha−1 | 4600 |
| Biomass allocation of grain/leaf/stem/root | / | 0.41:0.27:0.27:0.05 | |
| Biomass C/N of grain/leaf/stem/root | / | 46:58:58:72 | |
| Soil parameters | Soil texture | / | Clay loam |
| Bulk density | g·cm−3 | 1.22 | |
| pH value | / | 6.87 | |
| Clay content | % | 41 | |
| Field water capacity | % | 54.6 | |
| Saturated hydraulic conductivity | m/h | 0.015 | |
| Organic carbon content of topsoil | kgC·kg−1 soil | 0.055 | |
| Initial nitrate nitrogen content | mgN·kg−1 | 5.0 | |
| Initial ammonium nitrogen content | mgN·kg−1 | 9.1 |
| GCMs | Research Center | Countries and Regions | Grid Resolution |
|---|---|---|---|
| EC-EARTH | EC: Earth Consortium | Europe | 1.125° × 1.125° |
| HadGEM2-ES | UK Meteorological Office | UK | 1.25° × 1.88° |
| MIROC5 | University of Tokyo, National Institute for Environmental | Japan | 1.39° × 1.41° |
| MPI-ESM-MR | Max Planck Institute for Meteorology | Germany | 1.85° × 1.88° |
| Parameters | Background Value | Test Value | SCH4 | SN2O |
|---|---|---|---|---|
| Soil quality | Clay loam | Sandy loam, loam, sandy clay loam, clay | −0.74 | 0.267 |
| Soil SOC content (%) | 5.50 | Reduce by 10%, 20%, increased by 10%, 20% | 0.55 | 0.47 |
| Soil pH value | 6.05 | Reduced by 10%, 20%, increased by 15%, 40% | 0.0049 | −0.149 |
| Annual average temperature (°C) | 2.97 °C | Reduced by 2 °C and 4 °C, increased by 2 °C and 4 °C | 0.495 | 0.182 |
| Annual rainfall (cm) | 55.0 | Reduced by 10% and 20%, increased by 10% and 20% | 0.0198 | −0.083 |
| Total nitrogen fertilizer application amount (kg N ha−1 y−1) | 110 | Reduced by 10% and 20%, increased by 10% and 20% | −0.051 | 2.14 |
| Straw return amount (kg C/hm−2) | 0 | 1350, 2700, 5400 | 0.68 | 0.006 |
| Treatments | CH4 RRMSE (%) | N2O RRMSE (%) |
|---|---|---|
| CFS0 | 17.53 | 22.56 |
| CFS1 | 21.09 | 18.81 |
| KFS0 | 18.44 | 22.98 |
| KFS1 | 26.85 | 24.26 |
| Periods (a) | SOC Content in 0–20 cm Soil Layer (104 kg C·hm−2) | |||||||
|---|---|---|---|---|---|---|---|---|
| RCP 4.5 | RCP 8.5 | |||||||
| CFS0 | CFS1 | KFS0 | KFS1 | CFS0 | CFS1 | KFS0 | KFS1 | |
| 0 | 5.063 ± 0.002 | 5.172 ± 0.003 | 5.064 ± 0.002 | 5.176 ± 0.004 | 5.062 ± 0.003 | 5.171 ± 0.002 | 5.064 ± 0.003 | 5.175 ± 0.002 |
| 10 | 4.984 ± 0.002 | 5.656 ± 0.021 | 4.988 ± 0.016 | 5.670 ± 0.018 | 4.996 ± 0.012 | 5.689 ± 0.017 | 5.000 ± 0.012 | 5.698 ± 0.017 |
| 20 | 4.902 ± 0.028 | 5.993 ± 0.037 | 4.907 ± 0.027 | 6.014 ± 0.034 | 4.937 ± 0.022 | 6.033 ± 0.029 | 4.942 ± 0.022 | 6.094 ± 0.027 |
| 30 | 4.809 ± 0.044 | 6.270 ± 0.060 | 4.815 ± 0.043 | 6.295 ± 0.056 | 4.854 ± 0.041 | 6.356 ± 0.061 | 4.860 ± 0.041 | 6.371 ± 0.058 |
| 40 | 4.727 ± 0.060 | 6.542 ± 0.088 | 4.734 ± 0.059 | 6.571 ± 0.082 | 4.793 ± 0.061 | 6.637 ± 0.091 | 4.800 ± 0.061 | 6.624 ± 0.086 |
| 50 | 4.637 ± 0.077 | 6.778 ± 0.113 | 4.645 ± 0.076 | 6.811 ± 0.106 | 4.695 ± 0.093 | 6.830 ± 0.141 | 4.701 ± 0.093 | 6.871 ± 0.135 |
| 60 | 4.565 ± 0.095 | 7.026 ± 0.145 | 4.573 ± 0.094 | 7.106 ± 0.138 | 4.621 ± 0.117 | 7.126 ± 0.181 | 4.628 ± 0.116 | 7.151 ± 0.172 |
Disclaimer/Publisher’s Note: The statements, opinions and data contained in all publications are solely those of the individual author(s) and contributor(s) and not of MDPI and/or the editor(s). MDPI and/or the editor(s) disclaim responsibility for any injury to people or property resulting from any ideas, methods, instructions or products referred to in the content. |
© 2023 by the authors. Licensee MDPI, Basel, Switzerland. This article is an open access article distributed under the terms and conditions of the Creative Commons Attribution (CC BY) license (https://creativecommons.org/licenses/by/4.0/).
Share and Cite
Xu, D.; Zhang, Z.; Nie, T.; Lin, Y.; Li, T. Simulation Study of CH4 and N2O Emission Fluxes from Rice Fields in Northeast China under Different Straw-Returning and Irrigation Methods Based on the DNDC Model. Water 2023, 15, 2633. https://doi.org/10.3390/w15142633
Xu D, Zhang Z, Nie T, Lin Y, Li T. Simulation Study of CH4 and N2O Emission Fluxes from Rice Fields in Northeast China under Different Straw-Returning and Irrigation Methods Based on the DNDC Model. Water. 2023; 15(14):2633. https://doi.org/10.3390/w15142633
Chicago/Turabian StyleXu, Dan, Zhongxue Zhang, Tangzhe Nie, Yanyu Lin, and Tiecheng Li. 2023. "Simulation Study of CH4 and N2O Emission Fluxes from Rice Fields in Northeast China under Different Straw-Returning and Irrigation Methods Based on the DNDC Model" Water 15, no. 14: 2633. https://doi.org/10.3390/w15142633
APA StyleXu, D., Zhang, Z., Nie, T., Lin, Y., & Li, T. (2023). Simulation Study of CH4 and N2O Emission Fluxes from Rice Fields in Northeast China under Different Straw-Returning and Irrigation Methods Based on the DNDC Model. Water, 15(14), 2633. https://doi.org/10.3390/w15142633
