Hydration Status of Elite Youth Soccer Players: Training Versus FIFA Competition
Abstract
1. Introduction
2. Materials and Methods
2.1. Participants
2.2. Study Design
2.3. Procedure
2.3.1. Anthropometric Assessment
2.3.2. Hydration Status
2.4. Statistical Analysis
3. Results
4. Discussion
5. Conclusions
5.1. Limitations
5.2. Clinical Applications
5.3. Recomendaciones Para Future Research
Author Contributions
Funding
Institutional Review Board Statement
Informed Consent Statement
Data Availability Statement
Acknowledgments
Conflicts of Interest
References
- Fiorilli, G.; Mariano, I.; Iuliano, E.; Giombini, A.; Ciccarelli, A.; Buonsenso, A.; Calcagno, G.; di Cagno, A. Isoinertial Eccentric-Overload Training in Young Soccer Players: Effects on Strength, Sprint, Change of Direction, Agility and Soccer Shooting Precision. J. Sports Sci. Med. 2020, 19, 213–223. [Google Scholar] [PubMed]
- Périard, J.D.; Eijsvogels, T.M.H.; Daanen, H.A.M. Exercise under heat stress: Thermoregulation, hydration, performance implications, and mitigation strategies. Physiol. Rev. 2021, 101, 1873–1979. [Google Scholar] [CrossRef]
- Bangsbo, J.; Iaia, F.M.; Krustrup, P. Metabolic Response and Fatigue in Soccer. Int. J. Sports Physiol. Perform. 2007, 2, 111–127. [Google Scholar] [CrossRef] [PubMed]
- Shirreffs, S.M.; Sawka, M.N.; Stone, M. Water and electrolyte needs for football training and match-play. J. Sports Sci. 2006, 24, 699–707. [Google Scholar] [CrossRef] [PubMed]
- Lovell, R.J.; Kirke, I.; Siegler, J.; McNaughton, L.R.; Greig, M.P. Soccer half-time strategy influences thermoregulation and endurance performance. J. Sports Med. Phys. Fit. 2007, 47, 263–269. [Google Scholar] [PubMed]
- Frikha, M.; Chaâri, N.; Ben Said, N.; Alibrahim, M.S. Warm-up durations in a hot-dry climate affect thermoregulation, mean power-output and fatigue, but not peak power in specific soccer repeated-sprint ability. BMC Sports Sci. Med. Rehabil. 2020, 12, 76. [Google Scholar] [CrossRef]
- Siegler, J.C.; Mermier, C.M.; Amorim, F.T.; Lovell, R.J.; McNaughton, L.R.; A Robergs, R. Hydration, thermoregulation, and performance effects of two sport drinks during soccer training sessions. J. Strength Cond. Res. 2008, 22, 1394–1401. [Google Scholar] [CrossRef]
- Leão, C.; González-Fernández, F.T.; Ceylan, H.I.; Clemente, F.M.; Nobari, H.; Camões, M.; Carral, J.M.C. Dehydration, Wellness, and Training Demands of Professional Soccer Players during Preseason. BioMed Res. Int. 2022, 2022, 8054449. [Google Scholar] [CrossRef]
- McCartney, D.; Desbrow, B.; Irwin, C. The Effect of Fluid Intake Following Dehydration on Subsequent Athletic and Cognitive Performance: A Systematic Review and Meta-analysis. Sports Med. Open 2017, 3, 13. [Google Scholar] [CrossRef]
- Maughan, R.J.; Meyer, N.L. Hydration during Intense Exercise Training. Nestle Nutr. Inst. Workshop Ser. 2013, 76, 25–37. [Google Scholar] [CrossRef]
- Arnaoutis, G.; Kavouras, S.A.; Angelopoulou, A.; Skoulariki, C.; Bismpikou, S.; Mourtakos, S.; Sidossis, L.S. Fluid Balance During Training in Elite Young Athletes of Different Sports. J. Strength Cond. Res. 2015, 29, 3447–3452. [Google Scholar] [CrossRef] [PubMed]
- Fernández-Álvarez, M.d.M.; Cachero-Rodríguez, J.; Leirós-Díaz, C.; Carrasco-Santos, S.; Martín-Payo, R. Evaluation of Water Intake in Spanish Adolescent Soccer Players during a Competition. J. Hum. Kinet. 2022, 83, 59–66. [Google Scholar] [CrossRef] [PubMed]
- Vieira, L.H.P.; Carling, C.; Barbieri, F.A.; Aquino, R.; Santiago, P.R.P. Match Running Performance in Young Soccer Players: A Systematic Review. Sports Med. 2019, 49, 289–318. [Google Scholar] [CrossRef] [PubMed]
- Grabia, M.; Markiewicz-Żukowska, R.; Bielecka, J.; Puścion-Jakubik, A.; Socha, K. Effects of Dietary Intervention and Education on Selected Biochemical Parameters and Nutritional Habits of Young Soccer Players. Nutrients 2022, 14, 3681. [Google Scholar] [CrossRef]
- Sebastiá-Rico, J.; Soriano, J.M.; Sanchis-Chordà, J.; Alonso-Calvar, M.; López-Mateu, P.; Romero-García, D.; Martínez-Sanz, J.M. Dietary habits of elite soccer players: Variations according to competitive level, playing position and sex. Nutrients 2023, 15, 4323. [Google Scholar] [CrossRef]
- Nishi, S.K.; Babio, N.; Paz-Graniel, I.; Serra-Majem, L.; Vioque, J.; Fitó, M.; Corella, D.; Pintó, X.; Bueno-Cavanillas, A.; Tur, J.A.; et al. Water intake, hydration status and 2-year changes in cognitive performance: A prospective cohort study. BMC Med. 2023, 21, 21–82. [Google Scholar] [CrossRef]
- Park, T.; Choi, Y.; Kwon, H.-J.; Lee, M.B.; Rhee, H.Y.; Park, S.; Ryu, C.-W.; Jahng, G.-H. Exploring the relationship between larmor-frequency electrical conductivity, diffusivity, and tissue volume in the aging brain. Quant. Imaging Med. Surg. 2025, 15, 4669–4688. [Google Scholar] [CrossRef]
- Jahng, G.-H.; Lee, M.B.; Kim, H.J.; Woo, E.J.; Kwon, O.-I. Imágenes de conductividad eléctrica dominante de baja frecuencia del cerebro humano in vivo utilizando conduc-tividad de alta frecuencia a frecuencia de Larmor y difusividad media esférica sin corriente de inyección externa. NeuroImage 2021, 225, 117466. [Google Scholar] [CrossRef]
- Morgans, R.; Oliveira, R.; Rhodes, D.; Orme, P.; Ceylan, H.I.; González-Fernández, F.T.; Linán-González, A.; Moreira, A. Does elite European match-play affect salivary immunoglobulin-A and cortisol in soccer players? The influence of playing status and match outcome. Front. Physiol. 2024, 15, 1253417. [Google Scholar] [CrossRef]
- Dobrowolski, H.; Karczemna, A.; Włodarek, D. Nutrition for female soccer players—Recommendations. Medicina 2020, 56, 28. [Google Scholar] [CrossRef]
- Deely, C.; Tallent, J.; Bennett, R.; Woodhead, A.; Goodall, S.; Thomas, K.; Howatson, G. Etiology and recovery of neuromuscular function following academy soccer training. Front. Physiol. 2022, 13, 911009. [Google Scholar] [CrossRef]
- Alexander, J.; Keegan, J.; Reedy, A.; Rhodes, D. Effects of contemporary cryo-compression on post-training performance in elite academy footballers. Biol. Sport 2022, 39, 11–17. [Google Scholar] [CrossRef] [PubMed]
- Papaoikonomou, G.; Apergi, K.; Malisova, O. Children, Adolescents and Urine Hydration Indices—A Systematic Literature Review on Athletes and Non-Athletes. Children 2025, 12, 171. [Google Scholar] [CrossRef] [PubMed]
- King, M.; Kimble, R.; Brown, M.; McCafferty, S.; Lithgow, H. Perceptual Health and Wellbeing, Self-Reported Sleep, and Hydration Status in Youth Soccer Players During Competition. J. Nutr. Metab. 2024, 2024, 5086660. [Google Scholar] [CrossRef] [PubMed]
- Lee, M.Y.; Khong, T.K.; Ramliy, N.; Yusof, A. Relationship between objective and subjective hydration measures on sprint performance among soccer players during actual matches in hot and humid environment. J. Sports Med. Phys. Fit. 2022, 62, 1560–1567. [Google Scholar] [CrossRef]
- Bergeron, M.F. Hydration in the Pediatric Athlete—How to Guide Your Patients. Optom. Vis. Sci. 2015, 14, 288–293. [Google Scholar] [CrossRef]
- Abreu, R.; Figueiredo, P.; Beckert, P.; Marques, J.P.; Amorim, S.; Caetano, C.; Carvalho, P.; Sá, C.; Cotovio, R.; Cruz, J.; et al. Portuguese Football Federation consensus statement 2020: Nutrition and performance in football. BMJ Open Sport Exerc. Med. 2021, 7, e001082. [Google Scholar] [CrossRef]
- Suppiah, H.T.; Ng, E.L.; Wee, J.; Taim, B.C.; Huynh, M.; Gastin, P.B.; Chia, M.; Low, C.Y.; Lee, J.K.W. Hydration Status and Fluid Replacement Strategies of High-Performance Adolescent Athletes: An Application of Machine Learning to Distinguish Hydration Characteristics. Nutrients 2021, 13, 4073. [Google Scholar] [CrossRef]
- Collins, J.; Maughan, R.J.; Gleeson, M.; Bilsborough, J.; Jeukendrup, A.; Morton, J.P.; Phillips, S.M.; Armstrong, L.; Burke, L.M.; Close, G.L.; et al. UEFA expert group statement on nutrition in elite football. Current evidence to inform practical recommendations and guide future research. Br. J. Sports Med. 2020, 55, 416. [Google Scholar] [CrossRef]
- Phillips, S.M.; Sykes, D.; Gibson, N. Hydration Status and Fluid Balance of Elite European Youth Soccer Players during Consecutive Training Sessions. J. Sports Sci. Med. 2014, 13, 817–822. [Google Scholar] [PubMed]
- Da Silva, R.P.; Mündel, T.; Natali, A.J.; Filho, M.G.B.; Alfenas, R.C.G.; Lima, J.R.P.; Belfort, F.G.; Lopes, P.R.N.R.; Marins, J.C.B. Pre-game hydration status, sweat loss, and fluid intake in elite Brazilian young male soccer players during competition. J. Sports Sci. 2012, 30, 37–42. [Google Scholar] [CrossRef]
- Chapelle, L.; Tassignon, B.; Rommers, N.; Mertens, E.; Mullie, P.; Clarys, P. Pre-exercise hypohydration prevalence in soccer players: A quantitative systematic review. Eur. J. Sport Sci. 2019, 20, 744–755. [Google Scholar] [CrossRef] [PubMed]
- Santos-Sánchez, G.; Cruz-Chamorro, I.; Perza-Castillo, J.L.; Vicente-Salar, N. Body Composition Assessment and Mediterranean Diet Adherence in U12 Spanish Male Professional Soccer Players: Cross-Sectional Study. Nutrients 2021, 13, 4045. [Google Scholar] [CrossRef] [PubMed]
- Gnanasigamani, M.; Arslan, E.; Soylu, Y.; Kilit, B.; Chmura, P. Mapping multi-modal fatigue in elite soccer through sweat-omics perspectives: A narrative review. Biology 2025, 14, 1069. [Google Scholar] [CrossRef] [PubMed]
- Klimesova, I.; Krejci, J.; Botek, M.; McKune, A.J.; Jakubec, A.; Neuls, F.; Sladeckova, B.; Valenta, M. Prevalence of Dehydration and the Relationship with Fluid Intake and Self-Assessment of Hydration Status in Czech First League Soccer Players. J. Hum. Kinet. 2022, 82, 101–110. [Google Scholar] [CrossRef]
- Magee, P.J.; Gallagher, A.M.; McCormack, J.M. High Prevalence of Dehydration and Inadequate Nutritional Knowledge Among University and Club Level Athletes. Int. J. Sport Nutr. Exerc. Metab. 2017, 27, 158–168. [Google Scholar] [CrossRef]
- World Medical Association. WMA Declaration of Helsinki—Ethical Principles for Medical Research Involving Human Participants. 2024. Available online: https://www.wma.net/policies-post/wma-declaration-of-helsinki (accessed on 29 August 2025).
- Casa, D.J.; Armstrong, L.E.; Hillman, S.K.; Montain, S.J.; Reiff, R.V.; Rich, B.S.E.; Roberts, W.O.; Stone, J.A. National athletic trainers’ association position statement: Fluid replacement for athletes. J. Athl. Train. 2000, 35, 212–224. [Google Scholar] [PubMed]
- Martinho, D.V.; Field, A.; Naughton, R.; Ribeiro, A.S.; Rebelo, A.; Gouveia, É.R.; Sarmento, H. Nutritional perspectives in female soccer: A scoping review. J. Int. Soc. Sports Nutr. 2024, 21, 2366427. [Google Scholar] [CrossRef]
- Smallcombe, J.W.; Topham, T.H.; Brown, H.A.; Tiong, M.; Clark, B.; Broderick, C.; Chalmers, S.; Orchard, J.; Mavros, Y.; Périard, J.D.; et al. Thermoregulation and dehydration in children and youth exercising in extreme heat compared with adults. Br. J. Sports Med. 2025, 59, 1151–1159. [Google Scholar] [CrossRef]
- Amaerjiang, N.; Li, M.; Xiao, H.; Zunong, J.; Li, Z.; Huang, D.; Vermund, S.H.; Pérez-Escamilla, R.; Jiang, X.; Hu, Y. Dehydration Status Aggravates Early Renal Impairment in Children: A Longitudinal Study. Nutrients 2022, 14, 335. [Google Scholar] [CrossRef]
- Li, M.; Shu, W.; Amaerjiang, N.; Xiao, H.; Zunong, J.; Vermund, S.H.; Huang, D.; Hu, Y. Interaction of Hydration Status and Physical Activity Level on Early Renal Damage in Children: A Longitudinal Study. Front. Nutr. 2022, 9, 910291. [Google Scholar] [CrossRef]
- Le Page, A.K.; Johnson, E.C.; Greenberg, J.H. Is Mild Dehydration a Risk for Progression of Childhood Chronic Kidney Disease? Pediatr. Nephrol. 2024, 39, 3177–3191. [Google Scholar] [CrossRef]
- Berry, C.W.; Wolf, S.T.; Cottle, R.M.; Kenney, W.L. Hydration Is More Important Than Exogenous Carbohydrate Intake During Push-to-the-Finish Cycle Exercise in the Heat. Front. Sports Act. Living 2021, 3, 742710. [Google Scholar] [CrossRef]
- López-Torres, O.; Rodríguez-Longobardo, C.; Escribano-Tabernero, R.; Fernández-Elías, V.E. Hydration, hyperthermia, glycogen, and recovery: Crucial factors in exercise performance—A systematic review and meta-analysis. Nutrients 2023, 15, 4442. [Google Scholar] [CrossRef] [PubMed]
- Maughan, R.J.; Shirreffs, S.M. Dehydration and rehydration in competative sport. Scand. J. Med. Sci. Sports 2010, 20, 40–47. [Google Scholar] [CrossRef] [PubMed]
- Maughan, R.J.; Shirreffs, S.M. Development of hydration strategies to optimize performance for athletes in high-intensity sports and in sports with repeated intense efforts. Scand. J. Med. Sci. Sports 2010, 20, 59–69. [Google Scholar] [CrossRef] [PubMed]
- American College of Sports Medicine; Sawka, M.N.; Burke, L.M.; Eichner, E.R.; Maughan, R.J.; Montain, S.J.; Stachenfeld, N.S. American College of Sports Medicine position stand. Exercise and fluid replacement. Med. Sci. Sports Exerc. 2007, 39, 377–390. [Google Scholar] [CrossRef]
- Sekiguchi, Y.; Giersch, G.E.; Jordan, D.R.; Dunn, L.; Fiol, A.; Lopez, V.; Armstrong, L.E.; Casa, D.J.; Lee, E.C. Countermovement jump, handgrip, and balance performance change during euhydration, mild-dehydration, rehydration, and ad libitum drinking. J. Exerc. Sci. Fit. 2022, 20, 335–339. [Google Scholar] [CrossRef]
- Zhang, J.; Zhang, N.; Li, Y.; He, H.; Song, G.; Chen, J.; Yan, Y.; Ma, G. Habitual water intake impacted the body composition of young male athletes in free-living conditions: A cross-sectional study. Front. Sports Act. Living 2024, 6, 1458242. [Google Scholar] [CrossRef]
- Ceylan, B. Hydration Status and Fluid Intake of Adolescent Athletes From Different Sports During Training. Turk. J. Sport Exerc. 2021, 23, 165–170. [Google Scholar]
- Armstrong, L.; Stearns, R.L.; Huggins, R.; Sekiguchi, Y.; Mershon, A.J.; Casa, D.J. Reference Values for Hydration Biomarkers: Optimizing Athletic Performance and Recovery. Open Access J. Sports Med. 2025, 16, 31–50. [Google Scholar] [CrossRef]



| Mean ± DS | Maximos–Minimal | |
|---|---|---|
| BM (kg) | 72.1 ± 6.95 | 84.00–62.30 |
| Size (cm) | 1.80 ± 0.05 | 1.84–1.68 |
| BMI | 23.5 ± 1.88 | 28.3–21.1 |
| FM (kg) | 21.7 ± 2.77 | 22.6–10.9 |
| % FM | 15.5 ± 2.89 | 26.0–17.0 |
| MM (kg) | 48.8 ± 2.51 | 41.1–27.1 |
| % MM | 34.4 ± 3.78 | 54.0–43.0 |
| ∑ 4 folds (mm) | 30.8 ± 10.52 | 64.5–15.5 |
| ∑ 6 folds (mm) | 49.0 ± 13.97 | 92.5–31.5 |
| MBI | 4.10 ± 0.41 | 5.0–3.5 |
| Day | T° | RH | Wind Speed |
|---|---|---|---|
| Session 1 | 3 °C | 9.00% | 5.6 km/h |
| Session 2 | 8 °C | 81.30% | 7.4 km/h |
| Session 3 | 3 °C | 93.10% | 3.7 km/h |
| Competition | 22 °C | 38.00% | 24 km/h |
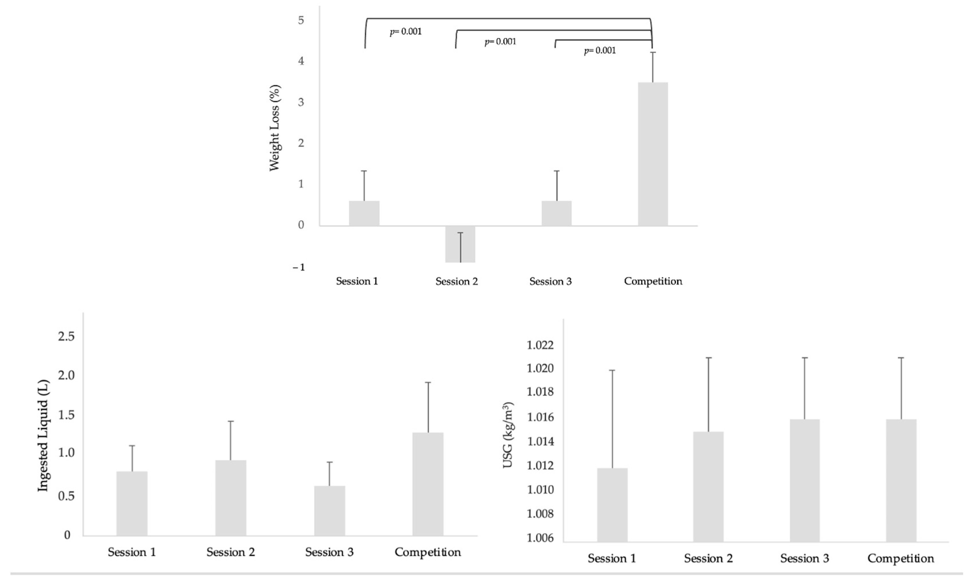
| Day | Weight Loss (%) | Ingested Liquid (L) | USG (kg/m3) | |||||||||||||||
|---|---|---|---|---|---|---|---|---|---|---|---|---|---|---|---|---|---|---|
| Mean | ± | SD | IC95% | Mean | ± | SD | IC95% | Mean | ± | SD | IC95% | |||||||
| Session 1 | 0.61 | ± | 0.60 | 0.32 | – | 0.87 | 0.80 | ± | 0.32 | 0.66 | – | 0.96 | 1.012 | ± | 0.008 | 1.00 | – | 1.01 |
| Session 2 | −0.13 | ± | 0.70 | −0.44 | – | 0.19 | 0.94 | ± | 0.49 | 0.71 | – | 1.16 | 1.015 | ± | 0.006 | 1.01 | – | 1.01 |
| Session 3 | 0.89 | ± | 0.76 | 0.53 | – | 1.22 | 0.62 | ± | 0.30 | 0.47 | – | 0.75 | 1.016 | ± | 0.005 | 1.01 | – | 1.01 |
| Competition | 3.47 | ± | 1.05 | 3.00 | – | 3.95 | 1.29 | ± | 0.62 | 1.00 | – | 1.56 | 1.016 | ± | 0.005 | 1.01 | 1.01 | |
| Variable | Condition | β | SE | p |
|---|---|---|---|---|
| Initial Body Mass (kg) | Session 1 | −3.960 | 1.590 | 0.012 † |
| Session 2 | 0.749 | 1.318 | 0.570 | |
| Session 3 | 0.395 | 1.010 | 0.695 | |
| Competition | −4.199 | 1.931 | 0.029 † | |
| Final Body Mass (kg) | Session 1 | 4.009 | 1.601 | 0.012 † |
| Session 2 | −0.656 | 1.325 | 0.621 | |
| Session 3 | −0.478 | 1.024 | 0.641 | |
| Competition | 4.142 | 1.945 | 0.033 † | |
| Liquid intake (L) | Session 1 | −1.780 | 1.874 | 0.342 |
| Session 2 | −0.092 | 1.441 | 0.949 | |
| Session 3 | 0.589 | 1.897 | 0.756 | |
| Competition | 1.981 | 1.193 | 0.097 † |
Disclaimer/Publisher’s Note: The statements, opinions and data contained in all publications are solely those of the individual author(s) and contributor(s) and not of MDPI and/or the editor(s). MDPI and/or the editor(s) disclaim responsibility for any injury to people or property resulting from any ideas, methods, instructions or products referred to in the content. |
© 2025 by the authors. Licensee MDPI, Basel, Switzerland. This article is an open access article distributed under the terms and conditions of the Creative Commons Attribution (CC BY) license (https://creativecommons.org/licenses/by/4.0/).
Share and Cite
Jorquera-Aguilera, C.; Droppelmann-Díaz, G.; Romero-Vera, L.; Andrades-Ramírez, O.; Barrientos-Bustamante, C.; Cofré-Acevedo, C.; Silva-Rojas, J.; Araya-Sierralta, S.; Ulloa-Díaz, D. Hydration Status of Elite Youth Soccer Players: Training Versus FIFA Competition. Life 2025, 15, 1546. https://doi.org/10.3390/life15101546
Jorquera-Aguilera C, Droppelmann-Díaz G, Romero-Vera L, Andrades-Ramírez O, Barrientos-Bustamante C, Cofré-Acevedo C, Silva-Rojas J, Araya-Sierralta S, Ulloa-Díaz D. Hydration Status of Elite Youth Soccer Players: Training Versus FIFA Competition. Life. 2025; 15(10):1546. https://doi.org/10.3390/life15101546
Chicago/Turabian StyleJorquera-Aguilera, Carlos, Guillermo Droppelmann-Díaz, Luis Romero-Vera, Oscar Andrades-Ramírez, César Barrientos-Bustamante, Carlos Cofré-Acevedo, Jaime Silva-Rojas, Sergio Araya-Sierralta, and David Ulloa-Díaz. 2025. "Hydration Status of Elite Youth Soccer Players: Training Versus FIFA Competition" Life 15, no. 10: 1546. https://doi.org/10.3390/life15101546
APA StyleJorquera-Aguilera, C., Droppelmann-Díaz, G., Romero-Vera, L., Andrades-Ramírez, O., Barrientos-Bustamante, C., Cofré-Acevedo, C., Silva-Rojas, J., Araya-Sierralta, S., & Ulloa-Díaz, D. (2025). Hydration Status of Elite Youth Soccer Players: Training Versus FIFA Competition. Life, 15(10), 1546. https://doi.org/10.3390/life15101546

