Measuring Nasal Patency and the Sense of Smell in CRSwNP Patients Treated with Dupilumab
Abstract
1. Introduction
2. Materials and Methods
2.1. Population
2.2. Clinical Evaluation
2.3. Statistical Analysis
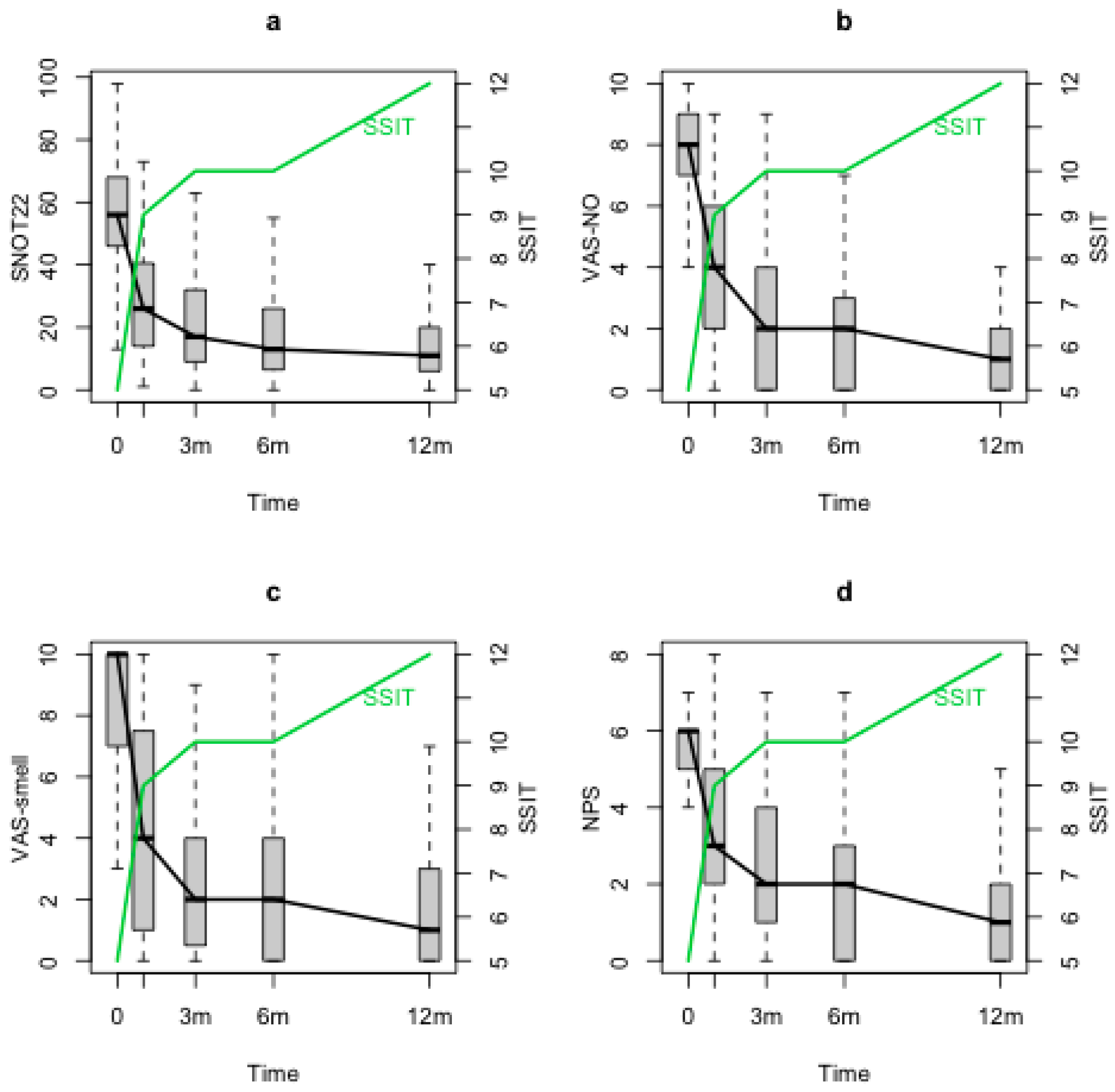
3. Results
4. Discussion
5. Conclusions
Author Contributions
Funding
Institutional Review Board Statement
Informed Consent Statement
Data Availability Statement
Conflicts of Interest
References
- Ottaviano, G.; Cappellesso, R.; Mylonakis, I.; Lionello, M.; Favaretto, N.; Giacomelli, L.; Spoladore, C.; Marchese-Ragona, R.; Marino, F.; Staffieri, A.; et al. Endoglin (CD105) Expression in Sinonasal Polyposis. Eur. Arch. Otorhinolaryngol. 2015, 272, 3367–3373. [Google Scholar] [CrossRef] [PubMed]
- Bayar Muluk, N.; Cingi, C.; Scadding, G.K.; Scadding, G. Chronic Rhinosinusitis—Could Phenotyping or Endotyping Aid Therapy? Am. J. Rhinol. Allergy 2019, 33, 83–93. [Google Scholar] [CrossRef]
- Bachert, C.; Han, J.K.; Desrosiers, M.; Hellings, P.W.; Amin, N.; Lee, S.E.; Mullol, J.; Greos, L.S.; Bosso, J.V.; Laidlaw, T.M.; et al. Efficacy and Safety of Dupilumab in Patients with Severe Chronic Rhinosinusitis with Nasal Polyps (LIBERTY NP SINUS-24 and LIBERTY NP SINUS-52): Results from Two Multicentre, Randomised, Double-Blind, Placebo-Controlled, Parallel-Group Phase 3 Trials. Lancet 2019, 394, 1638–1650. [Google Scholar] [CrossRef] [PubMed]
- De Corso, E.; Bellocchi, G.; de Benedetto, M.; Lombardo, N.; Macchi, A.; Malvezzi, L.; Motta, G.; Pagella, F.; Vicini, C.; Passali, D. Biologics for Severe Uncontrolled Chronic Rhinosinusitis with Nasal Polyps: A Change Management Approach. Consensus of the Joint Committee of Italian Society of Otorhinolaryngology on Biologics in Rhinology. Acta Otorhinolaryngol. Ital. 2022, 42, 1–16. [Google Scholar] [CrossRef] [PubMed]
- De Corso, E.; Settimi, S.; Montuori, C.; Corbò, M.; Passali, G.C.; Porru, D.P.; lo Verde, S.; Spanu, C.; Penazzi, D.; di Bella, G.A.; et al. Effectiveness of Dupilumab in the Treatment of Patients with Severe Uncontrolled CRSwNP: A “Real-Life” Observational Study in the First Year of Treatment. J. Clin. Med. 2022, 11, 2684. [Google Scholar] [CrossRef] [PubMed]
- Kilty, S.J.; Lasso, A. Canadian Real-World Study of Access and Clinical Results Using Dupilumab for Chronic Rhinosinusitis with Polyps. J. Otolaryngol. Head Neck Surg. 2022, 51, 17. [Google Scholar] [CrossRef]
- Abdalla, S.; Alreefy, H.; Hopkins, C. Prevalence of Sinonasal Outcome Test (SNOT-22) Symptoms in Patients Undergoing Surgery for Chronic Rhinosinusitis in the England and Wales National Prospective Audit. Clin. Otolaryngol. 2012, 37, 276–282. [Google Scholar] [CrossRef]
- Khan, A.; Huynh, T.M.T.; Vandeplas, G.; Joish, V.N.; Mannent, L.P.; Tomassen, P.; van Zele, T.; Cardell, L.-O.; Arebro, J.; Olze, H.; et al. The GALEN Rhinosinusitis Cohort: Chronic Rhinosinusitis with Nasal Polyps Affects Health-Related Quality of Life. Rhinology 2019, 57, 343–351. [Google Scholar] [CrossRef]
- Fokkens, W.J.; Hellings, P.W. Objective Measurements of Nasal Function: Necessary before Nasal Surgery? Rhinology 2014, 52, 289–291. [Google Scholar] [CrossRef]
- Ottaviano, G.; Pendolino, A.L.; Nardello, E.; Maculan, P.; Martini, A.; Russo, M.; Lund, V.J. Peak Nasal Inspiratory Flow Measurement and Visual Analogue Scale in a Large Adult Population. Clin. Otolaryngol. 2019, 44, 541–548. [Google Scholar] [CrossRef]
- Ottaviano, G.; Fokkens, W.J. Measurements of Nasal Airflow and Patency: A Critical Review with Emphasis on the Use of Peak Nasal Inspiratory Flow in Daily Practice. Allergy 2016, 71, 162–174. [Google Scholar] [CrossRef]
- Ottaviano, G.; Scadding, G.K.; Coles, S.; Lund, V.J. Peak Nasal Inspiratory Flow; Normal Range in Adult Population. Rhinology 2006, 44, 32–35. [Google Scholar] [PubMed]
- Pendolino, A.L.; Nardello, E.; Lund, V.J.; Maculan, P.; Scarpa, B.; Martini, A.; Ottaviano, G. Comparison between Unilateral PNIF and Rhinomanometry in the Evaluation of Nasal Cycle. Rhinology 2018, 56, 122–126. [Google Scholar] [CrossRef] [PubMed]
- Ottaviano, G.; Lund, V.; Nardello, E.; Scarpa, B.; Frasson, G.; Staffieri, A.; Scadding, G. Comparison between Unilateral PNIF and Rhinomanometry in Healthy and Obstructed Noses. Rhinology 2014, 52, 25–30. [Google Scholar] [CrossRef] [PubMed]
- Ottaviano, G.; Pendolino, A.L.; Scarpa, B.; Torsello, M.; Sartori, D.; Savietto, E.; Cantone, E.; Nicolai, P. Correlations between Peak Nasal Inspiratory Flow, Acoustic Rhinometry, 4-Phase Rhinomanometry and Reported Nasal Symptoms. J. Pers. Med. 2022, 12, 1513. [Google Scholar] [CrossRef] [PubMed]
- Bordin, A.; Mucignat-Caretta, C.; Gaudioso, P.; Pendolino, A.L.; Leoni, D.; Scarpa, B.; Andrews, P.J.; Cattelan, A.M.; Antonini, A.; Nicolai, P.; et al. Comparison of Self-reported Symptoms and Psychophysical Tests in Coronavirus Disease 2019 (COVID-19) Subjects Experiencing Long-term Olfactory Dysfunction: A 6-month Follow-up Study. Int. Forum Allergy Rhinol. 2021, 11, 1592–1595. [Google Scholar] [CrossRef] [PubMed]
- Favero, R.; Hajrulla, S.; Bordin, A.; Mucignat-Caretta, C.; Gaudioso, P.; Scarpa, B.; Favero, L.; Ottaviano, G. Olfactory Dysfunction in COVID-19 Patients Who Do Not Report Olfactory Symptoms: A Pilot Study with Some Suggestions for Dentists. Int. J. Environ. Res. Public Health 2022, 19, 1036. [Google Scholar] [CrossRef]
- Marchese-Ragona, R.; Restivo, D.A.; de Corso, E.; Vianello, A.; Nicolai, P.; Ottaviano, G. Loss of Smell in COVID-19 Patients: A Critical Review with Emphasis on the Use of Olfactory Tests. Acta Otorhinolaryngol. Ital. 2020, 40, 241–247. [Google Scholar] [CrossRef]
- Rimmer, J.; Hellings, P.; Lund, V.J.; Alobid, I.; Beale, T.; Dassi, C.; Douglas, R.; Hopkins, C.; Klimek, L.; Landis, B.; et al. European Position Paper on Diagnostic Tools in Rhinology. Rhinology 2019, 57, 1–41. [Google Scholar] [CrossRef] [PubMed]
- Hummel, T.; Whitcroft, K.L.; Andrews, P.; Altundag, A.; Cinghi, C.; Costanzo, R.M.; Damm, M.; Frasnelli, J.; Gudziol, H.; Gupta, N.; et al. Position Paper on Olfactory Dysfunction. Rhinol. Suppl. 2017, 54, 1–30. [Google Scholar] [CrossRef]
- Gevaert, P.; Calus, L.; van Zele, T.; Blomme, K.; de Ruyck, N.; Bauters, W.; Hellings, P.; de Bacquer, D.; Brusselle, G.; van Cauwenberge, P.; et al. Omalizumab Is Effective In Allergic And Non-Allergic Patients With Nasal Polyps And Asthma. J. Allergy Clin. Immunol. 2012, 129, AB69. [Google Scholar] [CrossRef]
- Giesbrecht, F.G.; Burns, J.C. Two-Stage Analysis Based on a Mixed Model: Large-Sample Asymptotic Theory and Small-Sample Simulation Results. Biometrics 1985, 41, 477. [Google Scholar] [CrossRef]
- Akaike, H. A New Look at the Statistical Model Identification. IEEE Trans. Automat. Contr. 1974, 19, 716–723. [Google Scholar] [CrossRef]
- R Core Team. R: A Language and Environment for Statistical Computing; R Core Team: Vienna, Austria, 2020. [Google Scholar]
- Cantone, E.; de Corso, E.; Ricciardiello, F.; di Nola, C.; Grimaldi, G.; Allocca, V.; Motta, G. Olfaction Recovery Following Dupilumab Is Independent of Nasal Polyp Reduction in CRSwNP. J. Pers. Med. 2022, 12, 1215. [Google Scholar] [CrossRef] [PubMed]
- Fokkens, W.J.; Lund, V.J.; Hopkins, C.; Hellings, P.W.; Kern, R.; Reitsma, S.; Toppila-Salmi, S.; Bernal-Sprekelsen, M.; Mullol, J.; Alobid, I.; et al. European Position Paper on Rhinosinusitis and Nasal Polyps 2020. Rhinology 2020, 58, 1–464. [Google Scholar] [CrossRef]


| ALL n = 147 | Padua n = 45 | Rome, Gemelli n = 51 | Rome, Sapienza n = 28 | Napoli, Federico II n = 23 | |
|---|---|---|---|---|---|
| Sex | 50 Women 97 Men | 11 Women 34 Men | 21 Women 30 Men | 9 Women 19 Men | 9 Women 14 Men | 
| Mean Age, yr (SD) | 51.6 (13.9) | 51.6 (13.4) | 50.6 (13.4) | 49.7 (13.3) | 55.6 (16.87) | 
| Asthma, n (%) | 92 (63) | 24 (53) | 36 (71) | 11 (39) | 21 (91) | 
| NSAIDs intolerance, n (%) | 35 (24) | 10 (22) | 16 (31) | 4 (14) | 5 (22) | 
| Widal triad, n (%) | 31 (21) | 9 (20) | 14 (27) | 3 (10) | 5 (22) | 
| Allergy, n (%) | 86 () | 34 (75) | 26 (51) | 6 (21) | 20 (87) | 
| Smokers, n (%) | 32 (22) | 15 (33) | 10 (20) | 4 (14) | 3 (13) | 
| Previous ESS, n (%) | 133 (90) | 42 (93) | 49 (96) | 23 (82) | 19 (83) | 
| Mean n of previous surgeries, n (SD) | 1.61 (1.06) | 1.7 (0.93) | 1.92 (0.89) | 1.28 (1.56) | 1.08 (0.59) | 
| T1 vs. T0 | T2 vs. T0 | T3 vs. T0 | T4 vs. T0 | |||||
|---|---|---|---|---|---|---|---|---|
| Difference | p | Difference | p | Difference | p | Difference | p | |
| VAS NO | −3.84 | <0.001 | −5.25 | <0.001 | −5.52 | <0.001 | −6.10 | <0.001 | 
| VAS smell | −3.76 | <0.001 | −5.22 | <0.001 | −5.53 | <0.001 | −6.04 | <0.001 | 
| SNOT22 | −28.45 | <0.001 | −34.96 | <0.001 | −38.47 | <0.001 | −42.15 | <0.001 | 
| NPS | −2.35 | <0.001 | −3.02 | <0.001 | −3.05 | <0.001 | −4.03 | <0.001 | 
| PNIF | 34.83 | <0.001 | 45.55 | <0.001 | 57.21 | <0.001 | 63.49 | <0.001 | 
| SSIT | 3.20 | <0.001 | 3.76 | <0.001 | 4.14 | <0.001 | 5.18 | <0.001 | 
| Disclaimer/Publisher’s Note: The statements, opinions and data contained in all publications are solely those of the individual author(s) and contributor(s) and not of MDPI and/or the editor(s). MDPI and/or the editor(s) disclaim responsibility for any injury to people or property resulting from any ideas, methods, instructions or products referred to in the content. | 
© 2023 by the authors. Licensee MDPI, Basel, Switzerland. This article is an open access article distributed under the terms and conditions of the Creative Commons Attribution (CC BY) license (https://creativecommons.org/licenses/by/4.0/).
Share and Cite
Ottaviano, G.; De Corso, E.; Cantone, E.; Ciofalo, A.; Saccardo, T.; Bernardi, R.; Mairani, E.; Montuori, C.; Roccuzzo, G.; Soldati, L.; et al. Measuring Nasal Patency and the Sense of Smell in CRSwNP Patients Treated with Dupilumab. J. Pers. Med. 2023, 13, 234. https://doi.org/10.3390/jpm13020234
Ottaviano G, De Corso E, Cantone E, Ciofalo A, Saccardo T, Bernardi R, Mairani E, Montuori C, Roccuzzo G, Soldati L, et al. Measuring Nasal Patency and the Sense of Smell in CRSwNP Patients Treated with Dupilumab. Journal of Personalized Medicine. 2023; 13(2):234. https://doi.org/10.3390/jpm13020234
Chicago/Turabian StyleOttaviano, Giancarlo, Eugenio De Corso, Elena Cantone, Andrea Ciofalo, Tommaso Saccardo, Riccardo Bernardi, Edoardo Mairani, Claudio Montuori, Giuseppe Roccuzzo, Livia Soldati, and et al. 2023. "Measuring Nasal Patency and the Sense of Smell in CRSwNP Patients Treated with Dupilumab" Journal of Personalized Medicine 13, no. 2: 234. https://doi.org/10.3390/jpm13020234
APA StyleOttaviano, G., De Corso, E., Cantone, E., Ciofalo, A., Saccardo, T., Bernardi, R., Mairani, E., Montuori, C., Roccuzzo, G., Soldati, L., Randon, B., Zampollo, S., Chicco, A. D., Visconti, F., Scarpa, B., & Nicolai, P. (2023). Measuring Nasal Patency and the Sense of Smell in CRSwNP Patients Treated with Dupilumab. Journal of Personalized Medicine, 13(2), 234. https://doi.org/10.3390/jpm13020234
 
        



 
       