Lubricating Ability of Protic Ionic Liquids as Additives to a Biodegradable Oil for Aluminum-Steel Contact: Effect of Alkyl Chain Length and Propensity to Hydrogen Bonding
Abstract
1. Introduction
2. Materials and Methods
2.1. Materials and Preparation of PILs
2.2. Spectroscopic Characterization and Ionicity of PILs
2.3. Solubility of PILs in BO
2.4. Thermal Stability and Viscosity
2.5. Friction and Wear Tests
2.6. Surface Analysis
3. Results
4. Conclusions
- None of the PILs studied in this work was completely soluble in the polar BO, probably due to the presence of the benzenesulfonate aromatic group present in the anion. However, PILs containing the longer alkyl chain length showed better solubility.
- Although the viscosity values of the neat PILs were greatly influenced by the alkyl chain length of the anions and the propensity for hydrogen bonding of the cations, no major differences were found in the viscosity values of the mixtures in this work since the PILs were used as only 1% additives to BO. The decomposition temperatures of all six PILs were very close to the onset temperature of BO. However, each PIL-mixture showed higher thermal stabilities of their corresponding neat PIL and BO.
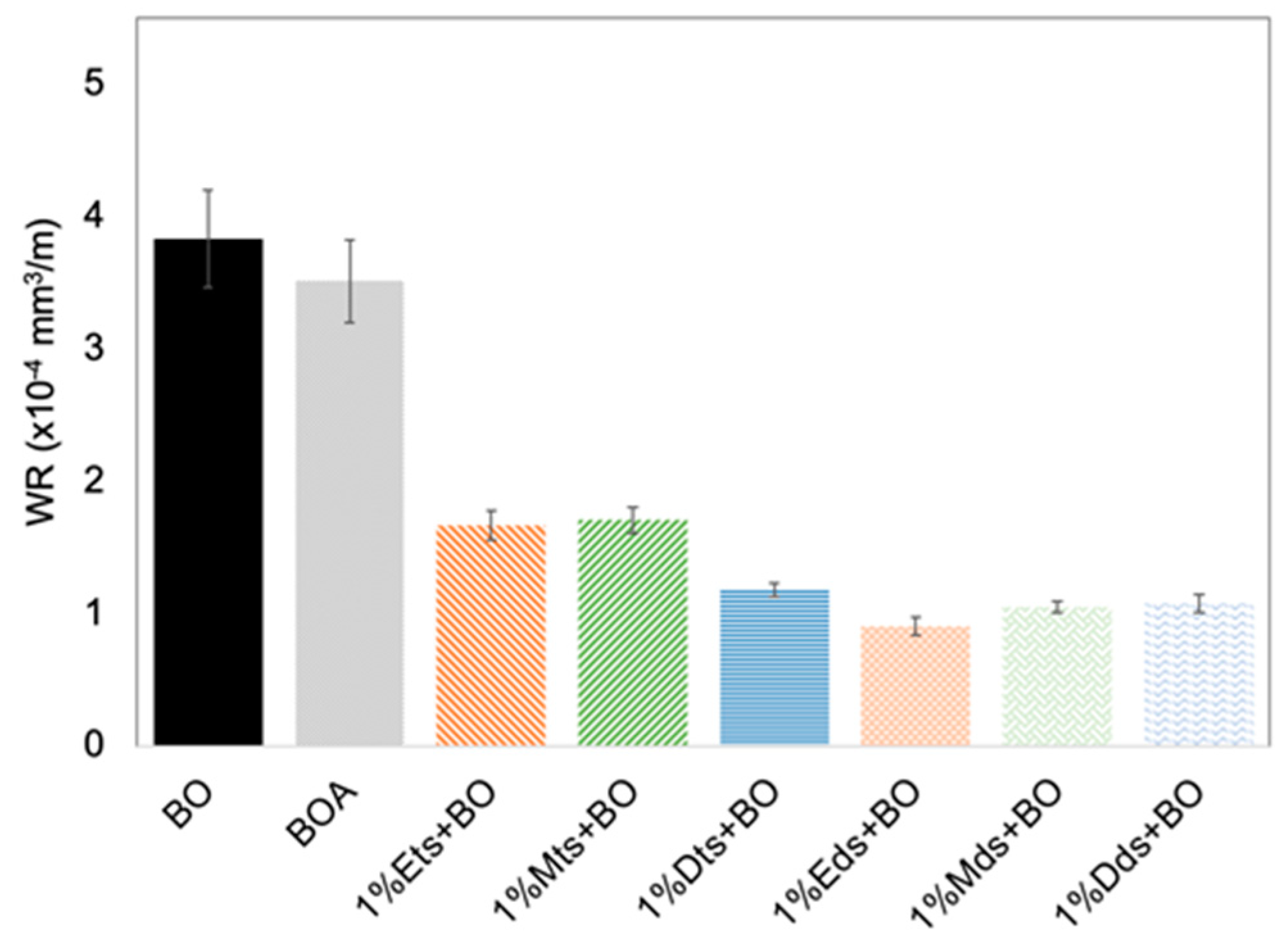
- The addition of any PIL to BO significantly reduced the friction coefficient and wear volume of the steel disks, probably due to the formation of an oxygen- and carbon-rich tribolayer. The family of PILs with the longer hydrocarbon group length (4-dodecylbenzenesulfonate-based PILs) in the anion showed higher friction and wear reductions, outperforming the commercially available oil (BOA). Since the PILs were used as only 1% additives, no major effect on friction and wear was found in the tendency for hydrogen bonding of the amide.
- The significant reduction in friction and wear observed by adding only 1 wt.% of these PILs presents a promising opportunity for substantial economic and environmental benefits worldwide.
Supplementary Materials
Author Contributions
Funding
Data Availability Statement
Acknowledgments
Conflicts of Interest
References
- Holmberg, K.; Erdemir, A. Influence of tribology on global energy consumption, costs and emissions. Friction 2017, 5, 263–284. [Google Scholar] [CrossRef]
- Holmberg, K.; Erdemir, A. The impact of tribology on energy use and CO2 emission globally and in combustion engine and electric cars. Tribiology Int. 2019, 135, 389–396. [Google Scholar] [CrossRef]
- Woydt, M. The importance of tribology for reducing CO2 emissions and for sustainability. Wear 2021, 474–475, 203768. [Google Scholar] [CrossRef]
- Holmberg, K.; Erdemir, A. Global impact of friction on energy consumption, economy and environment. FME Trans. 2015, 43, 181–185. [Google Scholar] [CrossRef]
- Tzanakis, I.; Hadfield, M.; Thomas, B.; Noya, S.M.; Henshaw, I.; Austen, S. Future perspectives on sustainable tribology. Renew. Sustain. Energy Rev. 2012, 16, 4126–4140. [Google Scholar] [CrossRef]
- Thakur, A.; Kaya, S.; Kumar, A. Recent Trends in the Characterization and Application Progress of Nano-Modified Coatings in Corrosion Mitigation of Metals and Alloys. Appl. Sci. 2023, 13, 730. [Google Scholar] [CrossRef]
- Ye, C.; Liu, W.; Chen, Y.; Yu, L. Room-temperature ionic liquids: A novel versatile lubricant. Chem. Commun. 2001, 2244–2245. [Google Scholar] [CrossRef]
- Jiménez, A.E.; Bermúdez, M.D.; Iglesias, P.; Carrión, F.J.; Martínez-Nicolás, G. 1-N-alkyl -3-methylimidazolium ionic liquids as neat lubricants and lubricant additives in steel-aluminium contacts. Wear 2006, 260, 766–782. [Google Scholar] [CrossRef]
- Shi, Y.; Larsson, R. Non-corrosive and Biomaterials Protic Ionic Liquids with High Lubricating Performance. Tribol. Lett. 2016, 63, 1. [Google Scholar] [CrossRef]
- Dörr, N.; Gebeshuber, I.; Holzer, D.; Wanzenböck, H.D.; Ecker, A.; Pauschitz, A.; Franek, F. Evaluation of Ionic Liquids as Lubricants. J. Microeng. Nanoelectron. 2010, 1, 29–34. [Google Scholar]
- Guo, H.; Pang, J.; Adukure, A.R.; Iglesias, P. Influence of Hydrogen Bonding and Ionicity of Protic Ionic Liquids on Lubricating Steel–Steel and Steel–Aluminum Contacts: Potential Ecofriendly Lubricants and Additives. Tribol. Lett. 2020, 68, 114. [Google Scholar] [CrossRef]
- Guo, H. Protic Ionic Liquids as Neat Lubricants & Lubricant Additives to Nonpolar and Polar Base Oils: Lubricating and Wear Mechanisms of Sliding Steel-Steel and Aluminum-Steel Contacts; Rochester Institute of Technology: Rochester, NY, USA, 2021. [Google Scholar]
- González, R.; Bartolomé, M.; Blanco, D.; Viesca, J.L.; Fernández-González, A.; Hernández Battez, A. Effectiveness of phosphonium cation-based ionic liquids as lubricant additive. Tribiology Int. 2016, 98, 82–93. [Google Scholar] [CrossRef]
- Elemsimit, H.A.; Grecov, D. Impact of liquid crystal additives on a canola oil-based bio-lubricant. Proc. Inst. Mech. Eng. Part J J. Eng. Tribol. 2015, 229, 1350650114544712. [Google Scholar] [CrossRef]
- Guo, H.; Smith, T.W.; Iglesias, P. The study of hexanoate-based protic ionic liquids used as lubricants in steel-steel contact. J. Mol. Liq. 2020, 299, 112208. [Google Scholar] [CrossRef]
- Minami, I.; Kita, M.; Kubo, T.; Nanao, H.; Mori, S. The tribological properties of ionic liquids composed of trifluorotris (pentafluoroethyl) phosphate as a hydrophobic anion. Tribol. Lett. 2008, 30, 215–223. [Google Scholar] [CrossRef]
- Zheng, D.; Ju, C.; Su, T. An amino acid functionalized ionic liquid as a multifunctional lubricant additive in water-glycerol. J. Oleo Sci. 2021, 70, 1623–1630. [Google Scholar] [CrossRef]
- Rita, M.; Vega, O.; Parise, K.; Ramos, L.B.L.B.; Boff, U.; Mattedi, S.; Alegre, P.; Alegre, P.; Vega, M.R.O.; Parise, K.; et al. Protic ionic liquids used as metal-forming green lubricants for aluminum: Effect of anion chain length. Mater. Res. 2017, 20, 675–687. [Google Scholar] [CrossRef]
- Hernández Battez, A.; Bartolomé, M.; Blanco, D.; Viesca, J.L.; Fernández-González, A.; González, R. Phosphonium cation-based ionic liquids as neat lubricants: Physicochemical and tribological performance. Tribol. Int. 2016, 95, 118–131. [Google Scholar] [CrossRef]
- Somers, A.E.; Khemchandani, B.; Howlett, P.C.; Sun, J.; Macfarlane, D.R.; Forsyth, M. Ionic liquids as antiwear additives in base oils: Influence of structure on miscibility and antiwear performance for steel on aluminum. ACS Appl. Mater. Interfaces 2013, 5, 11544–11553. [Google Scholar] [CrossRef]
- Mu, Z.; Zhou, F.; Zhang, S.; Liang, Y.; Liu, W. Effect of the functional groups in ionic liquid molecules on the friction and wear behavior of aluminum alloy in lubricated aluminum-on-steel contact. Tribol. Int. 2005, 38, 725–731. [Google Scholar] [CrossRef]
- Qu, J.; Chi, M.; Meyer, H.M.; Blau, P.J.; Dai, S.; Luo, H. Nanostructure and composition of tribo-boundary films formed in ionic liquid lubrication. Tribol. Lett. 2011, 43, 205–211. [Google Scholar] [CrossRef]
- Hernández Battez, A.; González, R.; Viesca, J.L.; Blanco, D.; Asedegbega, E.; Osorio, A. Tribological behaviour of two imidazolium ionic liquids as lubricant additives for steel/steel contacts. Wear 2009, 266, 1224–1228. [Google Scholar] [CrossRef]
- Mu, L.; Shi, Y.; Guo, X.; Ji, T.; Chen, L.; Yuan, R.; Brisbin, L.; Wang, H.; Zhu, J. Non-corrosive green lubricants: Strengthened lignin-[choline][amino acid] ionic liquids interaction via reciprocal hydrogen bonding. RSC Adv. 2015, 5, 66067–66072. [Google Scholar] [CrossRef]
- Song, Z.; Liang, Y.; Fan, M.; Zhou, F.; Liu, W. Ionic liquids from amino acids: Fully green fluid lubricants for various surface contacts. RSC Adv. 2014, 4, 19396–19402. [Google Scholar] [CrossRef]
- Thakur, A.; Sharma, S.; Ganjoo, R.; Assad, H.; Kumar, A. Anti-Corrosive Potential of the Sustainable Corrosion Inhibitors Based on Biomass Waste: A Review on Preceding and Perspective Research. J. Phys. Conf. Ser. 2022, 2267, 012079. [Google Scholar] [CrossRef]
- Campetella, M.; Le Donne, A.; Daniele, M.; Gontrani, L.; Lupi, S.; Bodo, E.; Leonelli, F. Hydrogen Bonding Features in Cholinium-Based Protic Ionic Liquids from Molecular Dynamics Simulations. J. Phys. Chem. B 2018, 122, 2635–2645. [Google Scholar] [CrossRef]
- Le Donne, A.; Adenusi, H.; Porcelli, F.; Bodo, E. Structural Features of Cholinium Based Protic Ionic Liquids through Molecular Dynamics. J. Phys. Chem. B 2019, 123, 5568–5576. [Google Scholar] [CrossRef]
- Le Donne, A.; Bodo, E. Cholinium amino acid-based ionic liquids. Biophys. Rev. 2021, 13, 147–160. [Google Scholar] [CrossRef]
- Guo, H.; Lou, C.; Pang, J.; Bellomo, V.; Mantegna, N.; Iglesias, P. Linear alkyl-benzenesulfonate-based protic ionic liquids: Physicochemical properties and tribological performance as lubricant additives to a non-polar base oil. J. Mol. Liq. 2022, 361, 119535. [Google Scholar] [CrossRef]
- Espinosa, T.; Sanes, J.; Jiménez, A.E.; Bermúdez, M.D. Protic ammonium carboxylate ionic liquid lubricants of OFHC copper. Wear 2013, 303, 495–509. [Google Scholar] [CrossRef]
- Viesca, J.L.; Oulego, P.; González, R.; Guo, H.; Battez, A.H.H.; Iglesias, P. Miscibility, corrosion and environmental properties of six hexanoate- and sulfonate-based protic ionic liquids. J. Mol. Liq. 2021, 322, 114561. [Google Scholar] [CrossRef]
- Avilés, M.D.; Carrión, F.J.; Sanes, J.; Bermúdez, M.D. Effects of protic ionic liquid crystal additives on the water-lubricated sliding wear and friction of sapphire against stainless steel. Wear 2018, 408–409, 56–64. [Google Scholar] [CrossRef]
- Kreivaitis, R.; Gumbytė, M.; Kupčinskas, A.; Kazancev, K.; Ta, T.N.; Horng, J.H. Investigation of tribological properties of two protic ionic liquids as additives in water for steel–steel and alumina–steel contacts. Wear 2020, 456–457, 203390. [Google Scholar] [CrossRef]
- Kreivaitis, R.; Gumbytė, M.; Kupčinskas, A.; Kazancev, K.; Makarevičienė, V. Investigating the tribological properties of PILs derived from different ammonium cations and long chain carboxylic acid anion. Tribol. Int. 2020, 141, 105905. [Google Scholar] [CrossRef]
- Avilés, M.D.; Pamies, R.; Sanes, J.; Arias-Pardilla, J.; Carrión, F.J.; Bermúdez, M.D. Protic ammonium bio-based ionic liquid crystal lubricants. Tribol. Int. 2021, 158, 106917. [Google Scholar] [CrossRef]
- Al Kaisy, G.M.J.; Mutalib, M.I.A.; Rao, T.V.V.L.N.; Senatore, A. Tribological performance of low viscosity halogen-free ammonium based protic ionic liquids with carboxylate anions as neat lubricants. Tribol. Int. 2021, 160, 107058. [Google Scholar] [CrossRef]
- Ortega Vega, M.R.; Ercolani, J.; Mattedi, S.; Aguzzoli, C.; Ferreira, C.A.; Rocha, A.S.; Malfatti, C.F. Oleate-Based Protic Ionic Liquids As Lubricants for Aluminum 1100. Ind. Eng. Chem. Res. 2018, 57, 12386–12396. [Google Scholar] [CrossRef]
- Bau, A.; Bruni, G.; Hussin, L.; Kiewell, D.; Kohler, B.; Verity, R. Lubes Growth Opportunities Remain Despite Switch to Electric Vehicles; McKinsey & Company: Hong Kong, China, 2018. [Google Scholar]
- Sancheti, S.V.; Ganapati, D.Y. Synthesis of environment-friendly sustainable and nontoxic bio-lubricants: A critical review of advances and a path forward. Biofuels Bioprod. Biorefining 2022, 16, 1172–1195. [Google Scholar] [CrossRef]
- Stojanovic, B.; Bukvic, M.; Epler, I. Application of aluminum and aluminum alloys in engineering. Appl. Eng. Lett. 2018, 3, 52–62. [Google Scholar] [CrossRef]
- Lingala, S.; Jayne, D.; Ernst, F. Effect of lubricant additives on the tribological behavior of aluminum alloy against steel. Int. J. Mater. Res. 2018, 109, 789–802. [Google Scholar] [CrossRef]
- Han, Y.; Qiao, D.; Sun, L.; Feng, D. Functional alkylimidazolium ionic liquids as lubricants for steel/aluminum contact: Influence of the functional groups on tribological performance. Tribol. Int. 2018, 119, 766–774. [Google Scholar] [CrossRef]
- Fang, H.; Ni, K.; Wu, J.; Li, J.; Huang, L.; Reible, D. The effects of hydrogen bonding on the shear viscosity of liquid water. Int. J. Sediment Res. 2019, 34, 8–13. [Google Scholar] [CrossRef]
- Otero, I.; López, E.R.; Reichelt, M.; Fernández, J. Friction and anti-wear properties of two tris(pentafluoroethyl) trifluorophosphate ionic liquids as neat lubricants. Tribiology Int. 2014, 70, 104–111. [Google Scholar] [CrossRef]
- Hamrock, B.J.; Dowson, D. Isothermal Elastohydrodynamic Lubrication of Point Contacts: Part III—Fully Flooded Results. J. Lubr. Technol. 1977, 99, 264–275. [Google Scholar] [CrossRef]








| Lubricant | Density (g/mL) at 15 °C | Kinematic Viscosity (mm2/s) | Viscosity Index | Flash Point (°C) | Pour Point (°C) | |
|---|---|---|---|---|---|---|
| 40 °C | 100 °C | |||||
| BO | 0.92 | 49.22 | 9.87 | 192 | 290 | −4.50 |
| BOA | 0.91 | 49.90 | 9.91 | 190 | 312 | −4.50 |
| Abbreviation | Structure | |
|---|---|---|
| Cation | Anion | |
| Ets | ![]() | ![]() |
| Mts | ![]() | |
| Dts | ![]() | |
| Eds | ![]() | ![]() |
| Mds | ![]() | |
| Dds | ![]() | |
| Element | Al | Cu | Mg | Mn | Si | Cr | Fe |
|---|---|---|---|---|---|---|---|
| Content (%) | 90.70–94.70 | 3.80–4.90 | 1.20–1.80 | 0.30–0.90 | Max 0.50 | Max 0.10 | Max 0.50 |
| Lubricant | Onset Temperature (°C) |
|---|---|
| BO | 323.00 |
| BOA | 333.01 |
| 1 wt.% Ets + BO | 334.25 |
| 1 wt.% Mts + BO | 336.08 |
| 1 wt.% Dts + BO | 332.99 |
| 1 wt.% Eds + BO | 330.92 |
| 1 wt.% Mds + BO | 331.86 |
| 1 wt.% Dds + BO | 336.10 |
| Lubricant | Average Dynamic Viscosity (cP) | ||
|---|---|---|---|
| 25 °C | 40 °C | 100 °C | |
| BO | 85.02 | 45.48 | 8.76 |
| BOA | 86.44 | 45.86 | 8.89 |
| * Ets | - | - | 70.66 |
| * Mts | - | - | 29.23 |
| * Dts | - | - | 26.86 |
| * Eds | - | - | 1.907 × 105 |
| * Mds | - | - | 9.965 × 104 |
| * Dds | - | - | 3.081 × 104 |
| 1 wt.% Ets + BO | 90.34 | 48.49 | 9.06 |
| 1 wt.% Mts + BO | 89.67 | 47.58 | 9.03 |
| 1 wt.% Dts + BO | 89.10 | 48.31 | 8.93 |
| 1 wt.% Eds + BO | 98.85 | 50.34 | 8.95 |
| 1 wt.% Mds + BO | 97.79 | 50.12 | 8.95 |
| 1 wt.% Dds + BO | 111.2 | 52.24 | 8.98 |
Disclaimer/Publisher’s Note: The statements, opinions and data contained in all publications are solely those of the individual author(s) and contributor(s) and not of MDPI and/or the editor(s). MDPI and/or the editor(s) disclaim responsibility for any injury to people or property resulting from any ideas, methods, instructions or products referred to in the content. |
© 2023 by the authors. Licensee MDPI, Basel, Switzerland. This article is an open access article distributed under the terms and conditions of the Creative Commons Attribution (CC BY) license (https://creativecommons.org/licenses/by/4.0/).
Share and Cite
Guo, H.; Stoyanovich, B.; Pang, J.; Iglesias, P. Lubricating Ability of Protic Ionic Liquids as Additives to a Biodegradable Oil for Aluminum-Steel Contact: Effect of Alkyl Chain Length and Propensity to Hydrogen Bonding. Lubricants 2023, 11, 329. https://doi.org/10.3390/lubricants11080329
Guo H, Stoyanovich B, Pang J, Iglesias P. Lubricating Ability of Protic Ionic Liquids as Additives to a Biodegradable Oil for Aluminum-Steel Contact: Effect of Alkyl Chain Length and Propensity to Hydrogen Bonding. Lubricants. 2023; 11(8):329. https://doi.org/10.3390/lubricants11080329
Chicago/Turabian StyleGuo, Hong, Brandon Stoyanovich, Junru Pang, and Patricia Iglesias. 2023. "Lubricating Ability of Protic Ionic Liquids as Additives to a Biodegradable Oil for Aluminum-Steel Contact: Effect of Alkyl Chain Length and Propensity to Hydrogen Bonding" Lubricants 11, no. 8: 329. https://doi.org/10.3390/lubricants11080329
APA StyleGuo, H., Stoyanovich, B., Pang, J., & Iglesias, P. (2023). Lubricating Ability of Protic Ionic Liquids as Additives to a Biodegradable Oil for Aluminum-Steel Contact: Effect of Alkyl Chain Length and Propensity to Hydrogen Bonding. Lubricants, 11(8), 329. https://doi.org/10.3390/lubricants11080329









