Optimization on Ventilation Time in Winter Based on Energy, Thermal Comfortable and Air Quality in Severe Cold Single-Residential Dwellings of Northeast China
Abstract
1. Introduction
2. Methods
2.1. Field Survey and Case Selection
2.2. Data Collection and Measurement
2.3. Coupled Thermal-PM2.5 Dynamic Model
2.3.1. Assumption Conditions
- (1)
- Assuming the initial condition for the study of ventilation behavior was during farmers’ cooking and heating activities, at this point, the variation in indoor air temperature was considered to be primarily caused by the entry of cold outdoor air into the room.
- (2)
- The extent of indoor temperature variation depended on the door opening area A and the duration of door opening τ.
- (1)
- The impact of outdoor PM2.5 penetration was considered negligible (Qf ≈ 0), as indoor PM2.5 concentrations during the studied combustion events are typically an order of magnitude higher than ambient outdoor levels, making the indoor source dominant. This assumption is acknowledged as a model limitation during periods of severe outdoor air pollution.
- (2)
- Neglecting the effects of gas absorption, chemical reactions, condensation, and re-suspension on indoor particle concentration, i.e., RLfAf + S + H + F + C ≈ 0.
- (3)
- Only considering the PM2.5 generated during cooking and heating processes, neglecting the effects of cleaning activities and smoking.
- (4)
- Under the condition of sealed doors and windows, the airflow velocity inside the rural residence was assumed to be low. At this point, the inter-zone airflow rates (Qik) between the experimental room and various functional rooms were considered constant at 5 m3/h [23].
2.3.2. Model Establishment
- (1)
- Mathematical Model for the Impact of Ventilation Behavior on Indoor Thermal Environment
- (2)
- Mathematical Model for the Influence of Ventilation Behavior on Indoor PM2.5 Variation Rate
2.3.3. Model Verification
2.4. Multi-Objective Optimization Framework
2.4.1. Multi-Objective Genetic Algorithm
2.4.2. Demand Temperature During the Heating Season
2.4.3. Constraint Conditions
- (1)
- The temperature range acceptable to 90% of the residents was between 12.0 °C and 21.2 °C, with a neutral operating temperature of 16.84 °C.
- (2)
- According to the standard “Indoor Air Quality Standards” GB/T18883-2022 [28], the recommended value for indoor PM2.5 is set at 50 μg/m3. Therefore, in this study, the indoor pollutant concentration standard for rural residences was defined as CPM2.5 ≤ 50 μg/m3.
3. Results
3.1. Field Measurement Findings
3.1.1. Dwelling Characteristics and Thermal Performance
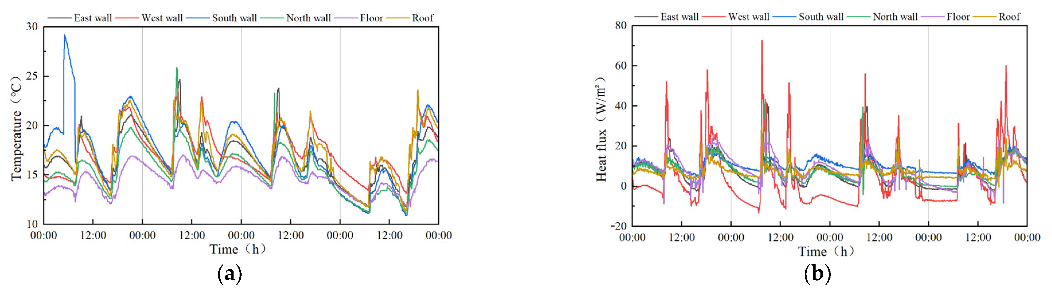
3.1.2. Indoor Environmental Quality
3.1.3. Occupant Door-Opening Behavior
3.2. Residents’ Thermal Demand
3.3. Optimization Results
4. Discussion
5. Conclusions
Author Contributions
Funding
Institutional Review Board Statement
Informed Consent Statement
Data Availability Statement
Acknowledgments
Conflicts of Interest
Appendix A. Basic Information Table of Building Envelope Structure
| Year and Area of Construction | |||||
| Exterior Wall | Material | □ Solid Brick Wall □ Concrete □ Adobe Wall □ Stone Wall and Mud Grass □ Others, Thickness 240 mm □ 370 mm □ | |||
| Decoration | □ Face Brick □ Coating □ Cement Mortar □ Others | ||||
| External Wall Insulation | Types | □ External Insulation □ Internal Insulation □ Intermediate Insulation □ None, Thickness____(mm) | |||
| Material | □ Polystyrene Board □ XPS □ Polyurethane □ Phenolic Board □ Rock Wool Board □ Others | ||||
| External window | Material | □ Aluminum Alloy □ Plastic Steel Window □ Wooden Frame Window □ Others | |||
| Layers | □ One □ Double | Glass Type | □ Single Glazed □ Double Glazed □ Others | ||
| Seal | □ Winter □ Annual □ None | ||||
| External door | Material | □ Aluminum Alloy □ Plastic Steel □ Wood □ Others | Door Dou | □ Yes □ No | |
| Layers | □ One □ Double | ||||
| Window to Wall Ratio | South: □ ≥45% □ <45% □ none North: □ ≥25% □ <25% □ none East: □ ≥30% □ <30% □ none West: □ ≥30% □ <30% □ none | ||||
| Roof | Material | □ Wooden House Tile Roof □ Cast-in-Place Concrete □ Precast Concrete □ Others | |||
| Heat Preservation | □ Perlite Sawdust □ Polystyrene Board □ XPS □ Polyurethane □ Phenolic Board □ Rock Wool Board □ Foam Insulation Board □ Thick Forage and Straw □ Others, Thickness____(mm) | ||||
| Suspended Ceiling | □ Yes □ No | ||||
| Ground | Material | □ Land Surface □ Brick Covered Ground □ Brick Covered Ground □ Ceramic Tile □ Wooden Floor | |||
| Heat Preservation | □ Polystyrene Foam Plastic Board □ Polystyrene Particle Insulation Slurry □ Composite Silicate Board □ Inorganic Insulation Mortar □ Cast in Situ Foam Concrete □ Ground Insulation Coating □ Others, Thickness____(mm) | ||||
Appendix B. Survey Questionnaire on Subjective Information Needs of Residents
- Basic information of personnel:
- 2.
- Personnel behavior habits:
Time Activity Content Notes Wake Up and Rest Time Ignition and
Cooking TimeHome Activities (1–8) Egress Times Morning Noon Afternoon Night Category of activity content: 1 Read Book; 2 Watch TV; 3 Clean; 4 Meeting and chatting with guests; 5 Eating; 6 Go Out; 7 Sleeping; 8 Others.
- 3.
- Heating method?
- 4.
- Cooking methods in winter? (multiple choice)
- 5.
- Preparation before Winter? (multiple choice)
- 6.
- Winter ventilation habits
- 7.
- The feeling of warmth and coldness in the body indoors at this moment:
- 8.
- When do you usually feel the temperature is too low at home (multiple choice)
- 9.
- Do you think the indoor temperature is comfortable at this moment:
- 10.
- How do you feel about the humidity inside at this moment:
- 11.
- How do you feel about indoor air quality at different times at home?
- 12.
- What measures do you take when you feel cold in the past week?
- 13.
- What measures do you take when you feel that the air quality is poor (e.g., stuffy, with irritating odors, heavy smoke) in the past week?
- 14.
- What measures do you take when there is a lot of smoke or steam during cooking?
- 15.
- Clothing Record:
Appendix C. Resident Behavior and Activity Tracking Record
| Household Location | Housing Type | Floor Height | Orientation | |||||
| Record Subject | Age | Gender | Date | |||||
| Time | Activity | Duration (h) | Window Ventilation Behavior | Start and Duration of Pollution Sources (h) | ||||
| Cleaning | Smoking | Heating | Cooking | |||||
| 0:00–6:00 | ||||||||
| 6:00–7:00 | ||||||||
| 7:00–8:00 | ||||||||
| 8:00–9:00 | ||||||||
| 9:00–10:00 | ||||||||
| 10:00–11:00 | ||||||||
| 11:00–12:00 | ||||||||
| 12:00–13:00 | ||||||||
| 13:00–14:00 | ||||||||
| 14:00–15:00 | ||||||||
| 15:00–16:00 | ||||||||
| 16:00–17:00 | ||||||||
| 17:00–18:00 | ||||||||
| 18:00–19:00 | ||||||||
| 19:00–20:00 | ||||||||
| 20:00–21:00 | ||||||||
| 21:00–22:00 | ||||||||
| 22:00–23:00 | ||||||||
| 23:00–24:00 | ||||||||
Appendix D. Derivation of the PM2.5 Concentration Model
References
- Chowdhury, S.; Pillarisetti, A.; Oberholzer, A.; Jetter, J.; Mitchell, J.; Cappuccilli, E.; Aamaas, B.; Aunan, K.; Pozzer, A.; Alexander, D. A global review of the state of the evidence of household air pollution’s contribution to ambient fine particulate matter and their related health impacts. Environ. Int. 2023, 173, 107835. [Google Scholar] [CrossRef] [PubMed]
- Albalak, R.; Keeler, G.J.; Frisancho, A.R.; Haber, M. Assessment of PM10 Concentrations from Domestic Biomass Fuel Combustion in Two Rural Bolivian Highland Villages. Environ. Sci. Technol. 1999, 33, 2505–2509. [Google Scholar] [CrossRef]
- Parikh, J.; Balakrishnan, K.; Laxmi, V.; Biswas, H. Exposure from cooking with biofuels: Pollution monitoring and analysis for rural Tamil Nadu, India. Energy 2001, 26, 949–962. [Google Scholar] [CrossRef]
- Zhang, X.Y.; Chen, B. Analysis on the PM2.5 Concentration During Heating and Cooking in Cold Rural Areas of Northern China. In Proceedings of the International Conference on Sustainable Energy and Environmental Engineering (ICSEEE), Shenzhen, China, 20–21 December 2015; pp. 1083–1086. [Google Scholar]
- Wang, Z.J.; Xie, D.D.; Tang, R. Indoor air pollutants and their correlation at rural houses in severe cold region in winter. J. Harbin Inst. Technol. 2014, 46, 60–64. [Google Scholar]
- Gong, X.; Yu, Y.; Lai, S.; Wang, X.; Duan, X.; Liu, J.; Wang, W. A Field Investigation on Summer Thermal Comfort of Occupants of Rural Houses in the North Area of Hot Summer and Warm Winter Zone, China. Buildings 2025, 15, 715. [Google Scholar] [CrossRef]
- Ma, L.; Shao, N.; Zhang, J.; Zhang, T.; Xu, M. A Study on Indoor Thermal Environment of Rural Residence in South Liaoning Province. Procedia Eng. 2016, 146, 366–374. [Google Scholar] [CrossRef]
- Li, B.; Sun, Y.; Zheng, W.; Zhang, H.; Jurasz, J.; Du, T.; Wang, Y. Evaluating the Role of Clean Heating Technologies in Rural Areas in Improving the Air Quality. Appl. Energy 2021, 289, 116693. [Google Scholar] [CrossRef]
- Wu, J.; Cheng, L.; Lu, Y.; Song, L.-L. Life cycle inventory analysis of clean alternatives to scattered coal heating. China Environ. Sci. 2018, 38, 1570–1578. [Google Scholar]
- Han, S.W. Research on the problems and solutions existing in the development and utilization of clean energy in rural areas. J. Agric. Catastropholgy 2020, 10, 120–121. [Google Scholar]
- Zhang, Y.; Mo, J.; Li, Y.; Sundell, J.; Wargocki, P.; Zhang, J.; Little, J.C.; Corsi, R.; Deng, Q.; Leung, M.H.K.; et al. Can commonly-used fan-driven air cleaning technologies improve indoor air quality? A literature review. Atmos. Environ. 2011, 45, 4329–4343. [Google Scholar] [CrossRef] [PubMed]
- Song, J.S.; Huang, K.L.; Feng, G.H. Analysis and on-site measurement of indoor formaldehyde in residential buildings during transition season in Liaoning province. Constr. Sci. Technol. 2019, 22, 22–24. [Google Scholar]
- Kong, W.C. Monitoring and Controlling of Indoor Air Pollutants in Cold Rural Areas in Winter; Harbin Institute of Technology: Harbin, China, 2015. [Google Scholar]
- Warren, P.R.; Parkins, L.M. Window-opening behavior in office buildings. Build. Serv. Eng. Res. Technol. 1984, 23, 89–101. [Google Scholar] [CrossRef]
- Nicol, J.F.; Humphreys, M.A. Thermal Comfort as Part of a Self-Regulating System. Build. Res. Pract. 1973, 1, 174–179. [Google Scholar] [CrossRef]
- Yu, W. The Low Energy-Consumption Strategy for Improving Indoor Thermal Environment Quality in Residential Building. Ph.D. Thesis, Chongqing University, Chongqing, China, 2011. [Google Scholar]
- Jin, G.H.; Ma, J.; Yang, P. MABC-BPNN based multi -objective optimization prediction model for ultra-low energy consumption residential houses in western Inner Mongolia grassland. J. Arid Land Resour. Environ. 2021, 35, 73–79. [Google Scholar]
- Zhang, Y.; Liang, X.K.; Yuan, L.J. Multi-objective optimization algorithm for building energy-saving design. Huazhong Univ. Sci. Technol. (Nat. Sci. Ed.) 2021, 49, 107–112. [Google Scholar]
- Zhu, L.; Wang, B.; Sun, Y. Multi-objective optimization for energy consumption, daylighting and thermal comfort performance of rural tourism buildings in north China. Build. Environ. 2020, 176, 106841. [Google Scholar] [CrossRef]
- Gao, X. Improvement and Empirical Study of K-Means Clustering Algorithm on Panel Data Analysis. Master’s Thesis, Taiyuan University of Technology, Taiyuan, China, 2015. [Google Scholar]
- GB/T 50824-2013; Energy Efficiency Design Standards for Rural Residential Buildings. China Construction Industry Press: Beijing, China, 2013.
- GB3095-2012; Ambient Air Quality Standards. China Environmental Press: Beijing, China, 2022.
- Zhao, W.X.; An, B.G.; Liu, J.P. Analysis of Indoor Thermal Environment Test of New Civil Housings in Guanzhong Area, Shanxi Province in Winter. Build. Sci. 2013, 29, 72–76. [Google Scholar]
- Tian, L.W. The Research on Modeling of Indoor Particulate Matter of Outdoor Origin and Control Strategies. Ph.D. Thesis, Hunan University, Hunan, China, 2009. [Google Scholar]
- Yang, Y.M. Diffusion Characteristics of Indoor PM2.5 and Health Risk Assessment of Rural Dwellings in Liaoning Province in Winter. Master’s Thesis, Dalian University of Technology, Dalian, China, 2022. [Google Scholar]
- Attia, S.; Hamdy, M.; O’Brien, W.; Carlucci, S. Assessing Gaps and Needs for Integrating Building Performance Optimization Tools in Net Zero Energy Buildings Design. Energy Build. 2013, 60, 110–124. [Google Scholar] [CrossRef]
- Deb, K.; Pratap, A.; Agarwal, S.; Meyarivan, T. A fast and elitist multi-objective genetic algorithm: NSGA-II. IEEE Trans. Evol. Comput. 2002, 6, 182–197. [Google Scholar] [CrossRef]
- GB/T18883-2022; Indoor Air Quality Standard. China Construction Industry Press: Beijing, China, 2022.
- Li, J.K. Study on Thermal Environment Control and Energy-Saving Strategies Based on the Operative Temperature. Master’s Thesis, Qingdao University of Technology, Qingdao, China, 2023. [Google Scholar]
- Toftum, J.; Jørgensen, A.S.; Fanger, P.O. Upper limits for indoor air humidity to avoid uncomfortably humid skin. Energy Build. 1998, 28, 1–13. [Google Scholar] [CrossRef]











| Types | Category | |||
|---|---|---|---|---|
| Type 1 | Type 2 | Type 3 | ||
| Population characteristics | Elderly couple living alone | Middle-aged and elderly couple living with a child | Multigenerational cohabitation | |
| Characteristics of heating expenses | Lower level | Moderate level | High level | |
| Architectural features | Floor area | Small | Normal | Large |
| Building form | Three-room layout dominates. | Improved three-room layout dominates. | Improved three-room and four-room layouts dominate. | |
| Building structure | Only master bedroom and secondary bedroom used as storage or living room. | Master bedroom, secondary bedroom, living room, and kitchen are all available | Multiple bedrooms shared collectively. | |
| Heating System | Kang | Earth Stove/Kang | Earth Stove, Floor Heating | |
| Door Pocket, Buffer Space | None | None | Exist | |
| Number of Cases | 33% | 55% | 12% | |
| Test Parameters | Test Instruments | Instrument Precisions | Manufacturers |
|---|---|---|---|
| PM10 and PM2.5 concentration | PM2.5 recorder developed based on Plan tower a003 sensor ZF-R3 | 0–2999 μg/m3 ±1 μg/m3 | Beijing Co-Cloud (Beijing, China) |
| Air temperature Relative humidity | Air temperature and relative humidity recorder WEZY-2 | −40–100 °C (±0.1 °C) 0–100%RH (±0.1%RH) | TIAN JIAN HUA YI Technology Co., Ltd. (Tianjin, China) |
| CO2 concentration | CO2 recorder WEZY-1 | 0–5000 ppm ±75 ppm | |
| Door switching frequency | Magnetic switch recorder CKJM-1 | Maximum sensing distance 30 mm | |
| Wind speed and wind temperature | Omnidirectional Wind Speed and Temperature Data Logger WFWZY-1 | −20–80 °C (±0.5 °C) 0.05~30 m/s (5% ± 0.05 m/s) |
| Period | Heavy Indoor Smoke | Noticeable but Acceptable | Not Noticeable | Feel the Air Was Good |
|---|---|---|---|---|
| Ignition, Cooking period | 26.83% | 36.59% | 26.83% | 9.76% |
| Heating period | 15.85% | 46.34% | 26.83% | 9.76% |
| Sleeping period | 0% | 3.66% | 80.49% | 15.85% |
| Parameters/Location | Fushun | Changchun | Harbin |
|---|---|---|---|
| Outdoor Average Temperature (°C) | −6.7 | −14.2 | −19.3 |
| Outdoor Maximum Temperature (°C) | 1.5 | −8.1 | −10.9 |
| Outdoor Minimum Temperature (°C) | −23.7 | −22.3 | −27.9 |
| Outdoor Average Wind Speed (m/s) | 2.0 | 2.7 | 3.2 |
| Region | Condition | Ventilation Scheme | Ventilation Time (s) | Air Temperature (°C) | Pollutant Concentration (μg/m3) |
|---|---|---|---|---|---|
| Fushun | Maximum Value | Fully Open | 28 | 12.5 | 67.1 |
| Half Open | 32 | 14.2 | 69.2 | ||
| Minimum Value | Fully Open | 17 | 13.3 | 70.3 | |
| Half Open | 27 | 13.5 | 65.4 | ||
| Changchun | Maximum Value | Fully Open | 21 | 12.3 | 67.9 |
| Half Open | 29 | 12.7 | 74.1 | ||
| Minimum Value | Fully Open | 13 | 12.3 | 82.9 | |
| Half Open | 22 | 11.8 | 79.1 | ||
| Harbin | Maximum Value | Fully Open | 16 | 12.8 | 67.4 |
| Half Open | 29 | 13.0 | 68.2 | ||
| Minimum Value | Fully Open | 15 | 12.3 | 65.8 | |
| Half Open | 19 | 13.1 | 69.1 |
| Region | Condition | Ventilation Scheme | Ventilation Time (s) | Air Temperature (°C) | Pollutant Concentration (μg/m3) |
|---|---|---|---|---|---|
| Fushun | Maximum Value | Fully Open | 26 | 12.5 | 58.6 |
| Half Open | 35 | 13.8 | 67.4 | ||
| Minimum Value | Fully Open | 17 | 12.0 | 64.4 | |
| Half Open | 23 | 12.3 | 73.6 | ||
| Changchun | Maximum Value | Fully Open | 16 | 13.1 | 69.2 |
| Half Open | 28 | 12.0 | 65.7 | ||
| Minimum Value | Fully Open | 14 | 12.9 | 73.1 | |
| Half Open | 22 | 12.7 | 71.4 | ||
| Harbin | Maximum Value | Fully Open | 16 | 12.6 | 68.3 |
| Half Open | 26 | 12.7 | 68.8 | ||
| Minimum Value | Fully Open | 13 | 11.7 | 67.9 | |
| Half Open | 19 | 12.3 | 70.1 |
Disclaimer/Publisher’s Note: The statements, opinions and data contained in all publications are solely those of the individual author(s) and contributor(s) and not of MDPI and/or the editor(s). MDPI and/or the editor(s) disclaim responsibility for any injury to people or property resulting from any ideas, methods, instructions or products referred to in the content. |
© 2025 by the authors. Licensee MDPI, Basel, Switzerland. This article is an open access article distributed under the terms and conditions of the Creative Commons Attribution (CC BY) license (https://creativecommons.org/licenses/by/4.0/).
Share and Cite
Zhang, X.; Zhang, X.; Yang, Y.; Li, J. Optimization on Ventilation Time in Winter Based on Energy, Thermal Comfortable and Air Quality in Severe Cold Single-Residential Dwellings of Northeast China. Buildings 2025, 15, 3718. https://doi.org/10.3390/buildings15203718
Zhang X, Zhang X, Yang Y, Li J. Optimization on Ventilation Time in Winter Based on Energy, Thermal Comfortable and Air Quality in Severe Cold Single-Residential Dwellings of Northeast China. Buildings. 2025; 15(20):3718. https://doi.org/10.3390/buildings15203718
Chicago/Turabian StyleZhang, Xueyan, Xingkuo Zhang, Yiming Yang, and Jing Li. 2025. "Optimization on Ventilation Time in Winter Based on Energy, Thermal Comfortable and Air Quality in Severe Cold Single-Residential Dwellings of Northeast China" Buildings 15, no. 20: 3718. https://doi.org/10.3390/buildings15203718
APA StyleZhang, X., Zhang, X., Yang, Y., & Li, J. (2025). Optimization on Ventilation Time in Winter Based on Energy, Thermal Comfortable and Air Quality in Severe Cold Single-Residential Dwellings of Northeast China. Buildings, 15(20), 3718. https://doi.org/10.3390/buildings15203718

