Abstract
A new procedure was presented with the objective of proving that it is the generalization of current attempts in designing compressed members and structures which is able to solve cases where other authors have problems. It is the further development of the former methods published by Chladný, Baláž, Agüero et al., which are based on the shape of the elastic critical buckling mode of the structure. Chladný’s method was accepted by CEN/TC 250 working groups creating Eurocodes. Both current Eurocodes EN 1993-1-1:2005 and EN 1999-1-1:2007 in their clauses 5.3.2(11) enable applying the geometrical equivalent unique global and local initial (UGLI) imperfection. The imperfection has the shape of the elastic critical buckling mode with amplitude defined in 5.3.2(11). UGLI imperfection is an alternative to the global sway and local bow initial imperfections defined in 5.3.2(3) and to the imperfections described in the clause 5.3.2(6). The determination of the location and value of UGLI imperfection proved to be onerous by some authors, especially in cases of members with variable cross-sections or/and axial forces. The paper also provides for special cases a procedure to detect the critical cross-section along the member which is defined as the one in which the utilization factor obtains maximum values. The new approach is validated by the investigation of five complex structures made of steel and one made of aluminum alloy solved by other authors. Comparisons of the results with those of other authors and with the Geometrically and Materially Nonlinear Analysis with Imperfections (GMNIA) results showed very good agreements with negligible differences. The information concerning the differences between current Eurocodes EN 1993-1-1:2005 and EN 1999-1-1:2007 is provided. Working drafts of Eurocodes of new generation prEN 1993-1-1:2020 and prEN 1999-1-1:2020 are also commented on.
Highlights
- -
- A new procedure is presented to obtain the location of the critical section and the value of the amplitude of unique global and local initial (UGLI) imperfection having the shape of elastic critical buckling mode. The new procedure is also used for the structures consisting of strongly irregular members in compression.
- -
- Validation of the procedure by the investigation of five complex structures made of steel and one made of aluminum alloy solved by other authors.
- -
- Verification of the procedure by comparisons with results of other authors and Geometrically and Materially Nonlinear Analysis with Imperfections (GMNIA) results.
- -
- Information about differences in methods given in four Eurocodes: EN 1993-1-1:2005, EN 1999-1-1:2007, prEN 1993-1-1:2020 and prEN 1999-1-1:2020.
1. Introduction
1.1. Overview and Analysis of Current State
According to Eurocode EN 1993-1-1 [1] and EN 1999-1-1 [2], second order effects and initial imperfection depending on the type of frame structure may be taken into account in global analysis. The design of steel structures with compression elements must consider the existence of residual stresses and geometric imperfections such as initial out-of-plumbness, flatness and fit tolerances. The negative effects of all these imperfections are covered in the global analysis by equivalent geometrical imperfection with a relevant shape and value of amplitude. There are the following types of imperfections in [1]: (i) global initial sway imperfection for the global analysis of frames; (ii) local initial bow imperfection for global and member analysis; (iii) imperfection for the analysis of bracing systems; and (iv) unique global and local initial (UGLI) imperfection based on elastic critical buckling modes. In this paper, the global analysis with UGLI imperfection is utilized.
Section 5.3.2(11) of [1] provides formulae which are the base of a procedure for obtaining UGLI imperfection. Unfortunately, the procedure in [1] is limited to the structures with a uniform cross-section under uniform axial force distribution. No iterations are needed in such cases. The critical section will take place where the curvature has maximum value. The detailed description of the development of this method is given by Chladný in [3]. The procedure described in [3] is without the above limitations and may be used for the most practical cases. Generally, the critical section must be found by iterations. The more general procedure without above limitations is given in EN 1999-1-1 [2]. The new generation of Eurocodes is in preparation and it should be available to the technical public in 2023. In the working drafts prEN 1993-1-1 [4] and prEN 1999-1-1 [5] the more general procedure was improved. The formulation in draft [5] is more useful and clear compared to its former edition [2]. The working draft prEN 1993-1-1 [4] differs from its former edition [1] and from [2] and [5]. In Eurocode [4], the partial material safety factor γM1 was removed from the formula for the imperfection amplitude e0 of the equivalent member. The consequence is that the value of imperfection amplitude e0 is in [1,2,5] greater than in [4].
The working draft Eurocode prEN 1999-1-1:2020 [5] contains the following formulae for:
- (i).
- The characteristic value of the initial imperfection amplitude of the equivalent member related to the critical section m:
- (ii).
- Design value of the initial imperfection amplitude of the equivalent member related to the critical section m:
Note that the symbol used in Equation (2) must not be confused with the amplitude of the initial local bow imperfection eo given in [1] or [2] in Table 5.1.
- (iii).
- Design value of UGLI imperfection amplitude :
For the simply supported members with a uniform cross-section and uniform axial force distribution . The symbols and are used here for the better understanding of the procedure. They are not explicitly used in Eurocodes [1,2,4,5].
The differences of Eurocodes [1,2,4] compared with the working draft Eurocode prEN 1999-1-1:2019 [5] are as follows:
- (i).
- Current Eurocode EN 1993-1-1:2005 [1] contains the above Equations (2) and (3) but in Corrigendum AC (2009) the index “d“ was removed and some print errors were corrected.
- (ii).
- Current Eurocode EN 1999-1-1:2007 [2] contains the above Equations (2) and (3) but in Amendment A2 (2013) [2] there are several changes and index “d“ was removed.
- (iii).
- Working draft Eurocode prEN 1993-1-1:2020 [4] removed from the above Equations (2) and (3) the partial material safety factor γM1 and index “d”. Removing γM1 from Equation (2) destroyed the main assumption of Chladný’s method defined below, but the code committee followed this idea because it leads to an ease of use in practical applications [6]. The authors intend to publish the results of the study showing the consequences of this decision leading to an important difference between the values of UGLI imperfection amplitude calculated according to [4] or [5].
Eurocodes use the symbol for the design value of UGLI imperfection amplitude. In the paper, the symbol is also used, which is not in Eurocodes. The symbol is used in the text, Equations and Tables because it is shorter than . The critical section is indicated in this paper by symbol and not by index “m“ as it is done in Eurocodes. Equation (4) can be rearranged in the form of Equation (5):
where χ is the reduction factor for the relevant buckling curve depending on the relevant cross-section, see 6.3.1.
Equation (4) is used in Eurocodes in the clauses: 5.3.2(11) [1], 5.3.2(11) [2], 7.3.6(1) [4] and 7.3.2(11) [5]. Equation (5) is just another form of (4). It is more convenient for programming. When flexural buckling occurs about the strong axis, UGLI imperfection may be written in the form:
When flexural buckling occurs about the weak axis, UGLI imperfection is as follows:
The method with UGLI imperfection was developed by Chladný and published with necessary details and applications in [3,7,8]. The first applications of Chladný’s method may be found in [9], where two examples were solved: a portal frame and a member with a non-uniform cross-section. In the second edition [10], the same two examples as in [8] may be found together with an example of the steel structure of three-story building. Baláž, who participated in developing Chladný’s method (see pages 693–694 [7]), derived this method in a different way and published the details of a step-by-step procedure for non-uniform members in [11]. Baláž and Koleková published detailed illustrative numerical examples in [12,13]. They investigated in [14] the in-plane stability of the large two-hinged arch bridge (Žďákov bridge in Czech Republic). Baláž showed that for the uniform members, UGLI imperfection amplitude has important geometrical meaning, which enables doing calculation and results verification by “hand calculation”. The importance of so called “hand calculation” was illustrated in several examples in [15]. In [3,7,8], Chladný solved in detail a member with a non-uniform cross-section and three-story building as in [8] and three new examples relating to the stability of parts of bridge structures: (i) the bottom flange of the continuous composite steel and concrete road bridge; (ii) the upper chord of the steel railway half-through truss bridge; and (iii) the basket handle type of the arch bridge. Numerical examples in [3,7,8] provide guidance of the proper application of Chladný’s method. Chladný showed there the good agreement with other methods of Eurocode EN 1993-1-1:2005 described in clauses 5.2.2(3) and 5.3.2(3). The guidance for the design of members of the steel basket handle arch bridges is given in the clause NB.3 of Slovak National Annex to Eurocode STN EN 1993-2 Design of steel structures—Part 2 Steel bridges. Chladný pointed out there that it is not enough for a such type of bridges to take into account only the first buckling mode. The members of such bridges are in biaxial bending. Chladný in [3,7,8] generalized his method for members when flexural buckling occurs about both axes. For a member in biaxial bending, UGLI imperfection may be defined as follows:
The new methodology has been developed in recent years in different works. Generalization for: (i) flexural torsional buckling of member due to compression was given by Agüero et al. in [16,17]:
and for (ii) lateral torsional buckling of member due to bending moment by Agüero et al. [16,18]:
The method with UGLI imperfection was also used by two Baláž’s Ph.D. students: Kováč [19] and Dallemule [20], where other numerical examples may be found. Dallemule created a general computer program based on Chladny’s method. Bijlaard et al. [21] and Wieschollek et al. [22] have also generalized the equations given in [1] for the lateral torsional buckling of a member in bending, and Papp [23] investigated the buckling of member under bending and compression.
Brodniansky [24], another Ph.D. student from Bratislava, used a modified Dallemule’s computer program and pointed out some numerical obstacles when calculating the location of the critical section xcr for the column with step change in cross-sectional parameters and step change in normal force along the members.
1.2. Research Significance, Contributions and Basic Assumptions of Presented New Method
The innovation of the presented research is the numerical method for obtaining the equivalent UGLI imperfection amplitude for metal members susceptible to buckling due to axial forces. The method is consistent with the Eurocode procedure and allows to obtain the location of critical section xcr and consequently UGLI imperfection amplitude for any case.
Several assumptions are considered in this work:
- (i).
- The first assumption is that the first buckling mode of the examined structural member is dominant and therefore the effect of the higher buckling modes can be neglected. However, in some cases, the higher buckling modes have to be considered in the design. See suggestions by Agüero et al. [17].
- (ii).
- The second assumption is that Chladný’s method given in [3] remains valid. Quoting Chladný [3], where experimentally established values are unavailable, the amplitude of the equivalent imperfection in the shape of the elastic buckling mode may be determined assuming that the buckling resistance of a structure with axially loaded members shall be equal to the buckling resistance of the equivalent member. The buckling resistance of axially loaded columns is defined in clauses 6.3.1.1–6.3.1.4 [1]. The relative slenderness relates to the critical section. The equivalent member has pinned ends, its cross-section and axial force are the same as in the critical cross-section m of the frame and its length is such that its critical force equals the axial force in the critical cross-section m at the critical loading of the structure. The position of the critical cross-section m is determined by the condition that the utilization Um, with allowance for the effect of the axial force and bending moments due to imperfections in the critical cross-section m, is greater than the utilization U(x) at all other cross-sections of the verified member or frame structure.
- (iii).
- The third assumption is that the linear interaction Formula (22) is used to verify the member according to Eurocodes and [25,26].
- (iv).
- The fourth assumption is that if plastic cross-section resistance is taken into account, a maximum plastic shape factor of 1.25 may be taken into account [4,26]. This means that if the criterion is applied with reference to the plastic resistance, the design value of the moment resistance Mc,Rd should be limited to 1.25 Mel,Rd for both a strong axis and weak axis.
- (v).
- The fifth assumption accepts the common method for finding the equivalent local bow imperfections given in [1] 5.3.2 (3). For the new generation of Eurocodes, intensive investigations were done to enhance these values, now in draft [4] see 7.3.3.1 (1) [25,26]. In practice, we often deal with members under compression and bending. If the external bending moments are present, the results may be more unfavorable, because a larger part of the cross-section in longitudinal direction may be plastified, thus leading to a stiffness reduction and therefore higher necessary bow imperfections for simplified calculations. If this is neglected, the load carrying capacity may be underestimated. In our cases of centrally loaded members, there is no need to use the fourth and fifth assumptions.
2. Method for Obtaining UGLI Imperfection Amplitude
According to Eurocodes [1,2], Equation (4) shall be used to obtain the value of the initial imperfection amplitude of the equivalent member. The following method is presented when buckling about the y axis takes place. This can be applied in a similar way for buckling about the z axis. The presented method and Chladny’s method as well may be used in both cases: when buckling about the y axis and z axis takes place.
The buckling shape has been scaled to have a maximum value of 1.0, i.e., max(ηcr,w) = 1.0. The meaning of η0 is the amplitude of UGLI imperfection. The flow chart is shown in Figure 1.
Figure 1.
Flow chart describing the procedure on how to obtain the location of the critical section xcr and the unique global and local initial (UGLI) imperfection amplitude η0. Illustrative example.
Steps for Obtaining UGLI Imperfection
The first step is obtaining the buckling load αcr and buckling shape {ηcr}. They can be computed using finite element method, for instance, according to Trahair [27].
The second step is the calculation of bending moments and stresses related to the buckling mode as follows:
The third step is the first iteration.
Initial guess:
Another initial guess may be considered in the location where the stress calculated according Equation (11) has a maximum value:
The imperfection (scale factor Ω1(x)) needed at each section in order to reach the cross-section resistance when the buckling load level is reached αb,1 is calculated from formula:
The minimum of those scale factors is the objective in the first iteration, i.e., η0,1 takes place at the critical section xcr,1:
The fourth step is the second iteration:
The imperfection (scale factor Ω2(x)) needed at each section in order to reach the cross-section resistance when the buckling load level is reached αb,2 is calculated as follows:
η0,2 is the amplitude at the second iteration. It takes place at the critical section xcr,2:
If the critical section is the same as in the previous iteration, the critical section is found and consequently the value of UGLI imperfection amplitude may be calculated. If the critical section is different, then the other iteration is needed starting from the fourth step. Finally, the distribution of UGLI imperfection ηinit(x) is calculated:
3. Validation of Presented Procedure
Three Chladný’s complex examples [3,7,8] are very interesting in order to validate the presented method. The fourth example shows that differences are negligible between αb values calculated by the new procedure and αb values obtained by Marques et al. [28] with the help of Geometrically and Materially Nonlinear Analysis with Imperfections (GMNIA).
Plots of the following parameters are implemented to have a full understanding of the examples:
- -
- The relative UGLI imperfection is plotted along the beam. The values are divided by the maximum value of imperfection in order to obtain the relative UGLI imperfection with maximum value 1.0.
- -
- The distribution of relative bending moments due to UGLI imperfection is plotted along the beam, the values are divided by the maximum bending moment value in order to have a maximum value 1.0:
- -
- The distribution of the relative shear forces due to UGLI imperfection is plotted along the beam. The values are divided by the maximum shear force in order to have a maximum value 1.0:
- -
- The plot of utilization factors U distribution: due to axial forces UN, due to bending moments UM and the global utilization factor UN+M. This factor shows how close each section is to its maximum strength and the influence of axial forces and bending moments:
- -
- The value of the scale factor distribution along the member is plotted showing the first, the second and the last iteration. The minimum value of each plot is η0,i. The maximum value shown is 10 times η0:
The values of UGLI imperfection amplitude η0, the location of critical section xcr and other values have been compared with Chladný’s values which are given in brackets. Very good agreements were achieved. In the Examples 3 and 4, the influence of the local buckling is neglected. It is beyond the scope of this paper. The authors have solutions of these examples which also take into account local buckling. They will be published with all the necessary details in another paper.
Example 1.
The Example 1 is described in Figure 2. It is the scheme of the bottom flange of the continuous composite steel and concrete road bridge. More details about the bridge may be found in Section 5.4 [7]. Steel grade S355 and γM1 = 1.1 are taken into account.
Figure 2.
Example 1: description taken from [7], Section 5.4.
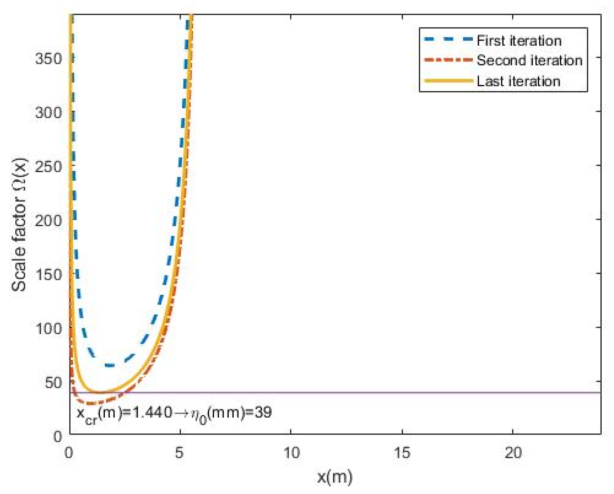
The bottom flange of the steel cross-section in compression is subjected to lateral buckling. It may be analyzed by modeling the elements as a column subjected to the compression force NEd and supported by continuous and discrete elastic restraints modeled as springs (Figure 2). The springs stiffnesses are C1 = 10 kN·mm−1, C2 = C3 = C4 = 4 kN·mm−1. The elastic restraint due to the cross-section web is c = 5.863 kN·m−2. The axial force distribution is given by formula NEd (x) = −9000 1062 x − 17.49 x2 (kN).
The distributions of UGLI imperfection, bending moment M(x) and shear force V(x) due to UGLI imperfection and utilization factors U(x) are plotted in Figure 3. The critical section takes place after several iterations at xcr = 1.44 m. The significant step in shear force distribution V is located where the column is supported by the spring with the greatest stiffness. The scale factor is plotted in Figure 4. The minimum value at the last iteration gives the amplitude of the imperfection η0 = 39 mm. Chladný’s values in the brackets confirm the very good agreements of the results (Figure 3). According to the direct method [23] the critical section takes place where the second order effects have a maximum. This method gives a value of amplitude η0 = 29 mm which differs from 39 mm a lot. In all the other examples, the direct method gave similar results as Eurocode’s method.
Figure 3.
Example 1: UGLI imperfection ηinit, bending moment M, shear force V, utilization factor U. Values in brackets are from [7].
Figure 4.
Example 1: the scale factor Ω(x) for utilization factor UN+M = 1.0 in bay No.1. In other bays, the scale factor is greater than 10 times the minimum value.
The value η0 = 39 mm given in Figure 4 was obtained after seven necessary iterations. Table 1 shows all the details of the iterations.
Table 1.
Example 1: key values for each iteration.
Example 2.
The Example 2 is described in Figure 5. It is a schema of the upper chord of the steel railway half-through truss bridge. More details about the bridge may be found in Section 5.5 [7]. Steel grade S235 and γM1 = 1.1 are taken into account.
Figure 5.
Example 2: description taken from [7] Section 5.5.
The truss chord under compression that is subjected to the lateral buckling may be analyzed by modeling the elements as a column subjected to the compression force NEd and supported by discrete elastic restraints modeled as springs. The springs stiffnesses are C0 = 11 MN/m and C = 5.068 MN/m. Input values for the iterative procedure [7] are given in Figure 5. In the two edge fields on both sides of the truss chord: A = 0.01909 m2, I = 96.4 × 10−6 m4, W = 459 cm3, in the four middle fields of the truss chord: A = 0.02898 m2, I = 177.525 × 10−6 m4, W = 845 cm3. The loading is defined in Figure 5.
The distributions of UGLI imperfection, bending moment M(x) and shear force V(x) due to the imperfection and the utilization factors U(x) are plotted in Figure 6. The steps in the shear force distribution are due to steps in the axial forces and in spring supports. The critical section takes place at xcr = 13.15 and 18.25 m simultaneously due to the symmetry of the problem. The scale factor is plotted in Figure 7. The scale factor minimum led to UGLI imperfection amplitude η0 = 9 mm. The significant values are shown in Table 2. Only one iteration was needed. The comparison with Chladný’s values given in brackets shows very good agreement.
Figure 6.
Example 2: UGLI imperfection ηinit, bending moment M, shear force V, and utilization factor U. Values in brackets are from [7].
Figure 7.
Example 2: the scale factor Ω(x). Utilization factor UN+M = 1.0.
Table 2.
Example 2: key values for each iteration.
Chladný used the method also for more complicated cases, where the simplified method is not applicable, e.g., for the Maria Valeria Bridge across the Danube, Štúrovo–Esztergom. See Note 5 in [7] referring to [29].
According to the direct method, the same results are obtained.
Example 3.
The Example 3 is described in Figure 8, with steel grade S355 and γM1 = 1.0
Figure 8.
Example 3: description taken from [9,10] and [7] Section 5.2.
The member is fabricated from an IPE 400 section. It was cut in two pieces and consequently welded together in such a way that the depths of its cross-section at the ends are 560 and 240 mm.
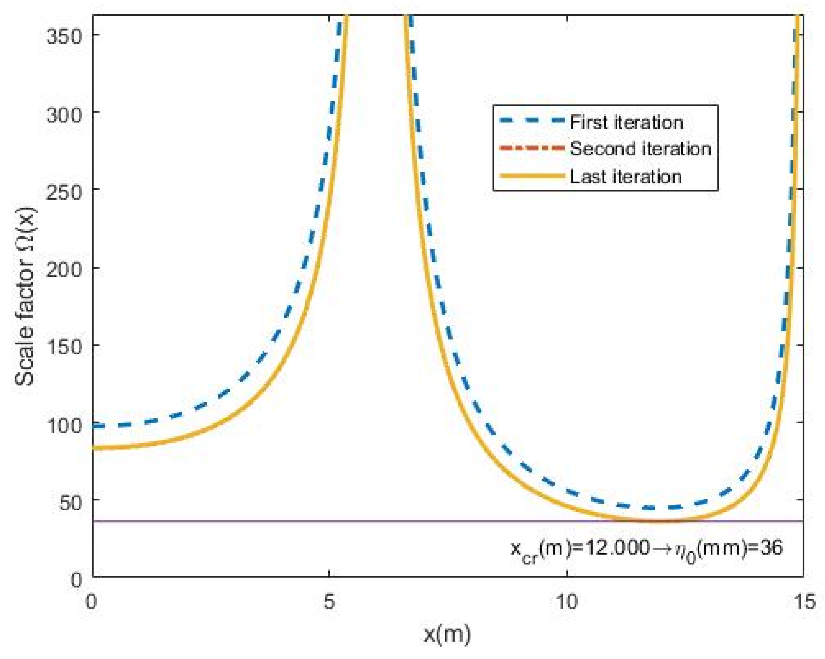
The distributions of UGLI imperfection, bending moment M(x) and shear force V(x) due to the imperfection and the utilization factors U(x) are plotted in Figure 9. The critical section is found at xcr = 12 m. The scale factor minimum led to UGLI imperfection amplitude η0 = 36.31 mm (Figure 10). The significant values for all iterations are shown in Table 3. Only two iterations were needed.
Figure 9.
Example 3: UGLI imperfection ηinit, bending moment M, shear force V, and utilization factor U. Values in brackets are from [7,10].
Figure 10.
Example 3: the scale factor Ω(x). Utilization factor UN+M = 1.0.
Table 3.
Example 3: key values for each iteration.
Chladný’s values are in brackets and they confirm the very good agreement of the results (Figure 9).
The direct method gives the value of imperfection amplitude η0 = 34.56 mm which approximately equals value 36 mm (Figure 10).
Example 4.
(a) The Example 4 was published by Marques et al. [28], with steel grade 235, and γM1 = 1.0. It is a tapered column similar to that in Figure 8 but made from IPE 200, with different boundary conditions. The linearly varying height is defined by the taper ratio of hmax/hmin = 3. It is simply supported at both ends, L = 12.9 m. The member is restrained against out-of-plane buckling. The compression force NEd = 500 kN was applied. The computed load factor αb = 1.004 with GMNIA. The method proposed by the authors leads to αb = 0.991. The difference is −1.29%.
In Example 4(a), GMNIA was performed by Marques et al. [28] using ABAQUS software taking into account a geometrical imperfection with the shape of the buckling mode and an amplitude of L/1000, also considering the residual stresses of a welded cross-section.
The distributions of UGLI imperfection, bending moment M(x) and shear force V(x) due to the imperfection and the utilization factors U(x) are plotted in Figure 11. The critical section is found at xcr = 10.2 m. The scale factor minimum led to UGLI imperfection amplitude η0 = 28.04 mm (Figure 12). The significant values for all iterations are shown in Table 4. Three iterations were needed.
Figure 11.
Example 4(a): UGLI imperfection ηinit, bending moment M, shear force V, utilization factor U. Value (1.004) is obtained by Geometrically and Materially Nonlinear Analysis with Imperfections (GMNIA).
Figure 12.
Example 4(a): the scale factor Ω(x). Utilization factor UN+M = 1.0.
Table 4.
Example 4: key values for each iteration.
In the Example 4(a), the maximum moment Mmax(x = 7.654 m) can be obtained from Equation (25), which serves to verify the value Mmax(x = 7.654 m) = 30.441 kNm given in Figure 11:
According to the direct method, the imperfection amplitude is η0 =25.86 mm. It is a similar result.
(b) In Figure 13, the αb values calculated for different slenderness at the critical section are compared with the GMNIA results of Marques et al. [28]. The maximum difference is −8% for relative slenderness
= 0.773 (buckling curve b). This analysis is performed for a hot-rolled tapered column b = 100 mm, tf = tw =10 mm, hmin = 100 mm and hmax = 400 mm, steel S235 with a linearly varying height, and a simply supported member. The uniform axial force NEd = Npl,Rd,min = 658 kN.
Figure 13.
Example 4(b): comparison of αb values calculated for the different slenderness obtained by GMNIA and by the proposed procedure of the authors.
In Example 4(b), GMNIA was performed by Marques et al. [28] using ABAQUS software taking into account a geometrical imperfection with the shape of the buckling mode and amplitude of L/1000, also considering the residual stresses of a hot-rolled cross-section.
4. Application to the Case Where Problems Were Found to Obtain the Critical Section and to the Member Made of Aluminum Alloy
Following the other examples, these are solved where the step changes in the cross-section and in the axial forces create numerical problems to find the critical section xcr. These are pure academic problems found in the literature, however, there is the need to show that they may be solved.
Example 5.
A Ph.D. student wrote in [24] about the obstacles of the method because he was not able to obtain the location of the critical section due to the never-ending cycle by going from finding the “critical section” to the other one and back. The Example 5 shows that proposed method has no such problem. A cantilever column with a step change in the cross-sectional parameters and axial forces is investigated (Figure 14). The material used in [24] is the steel grade S355. The safety factor γM1 = 1.0.
Figure 14.
Example 5: description taken from [24].
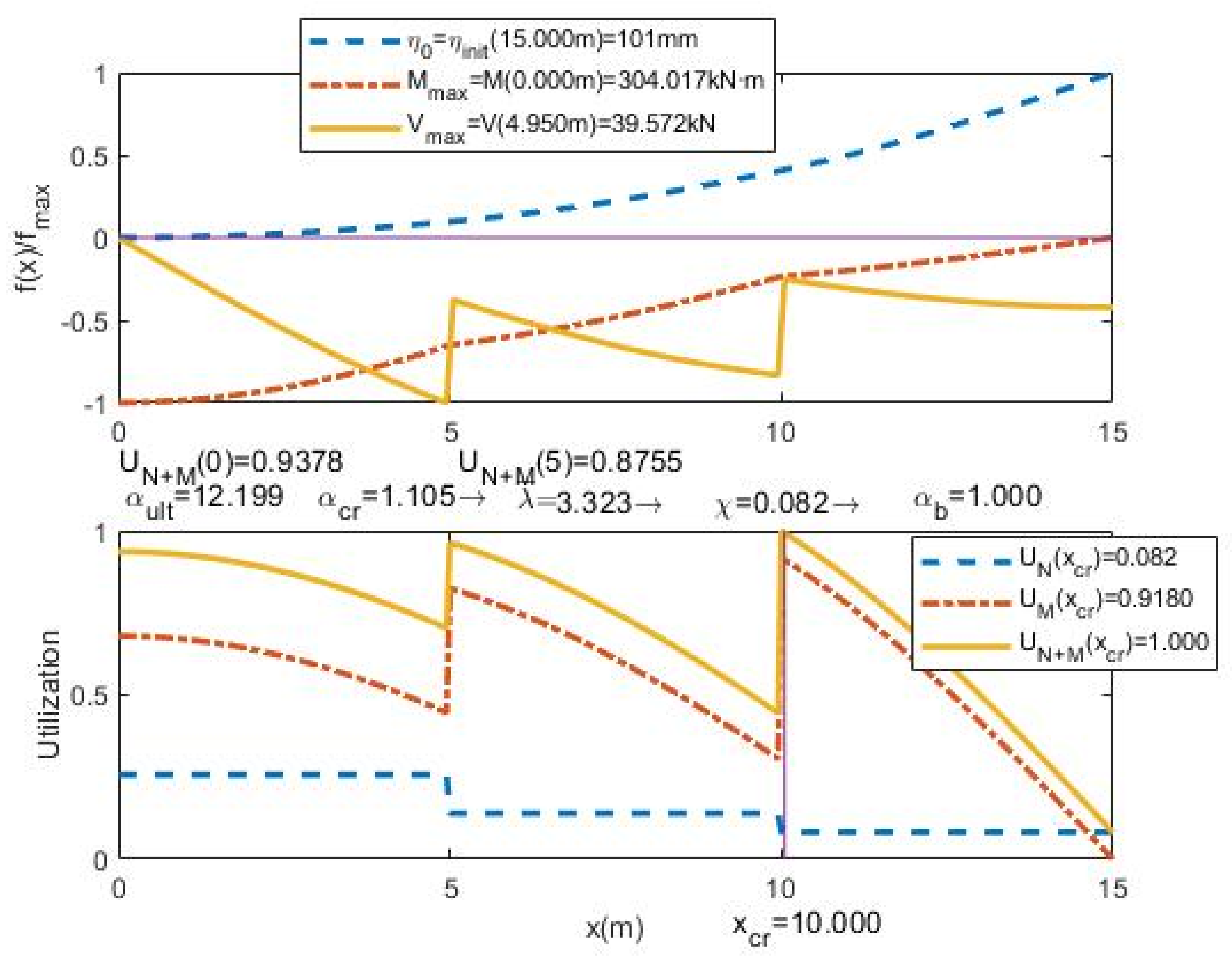
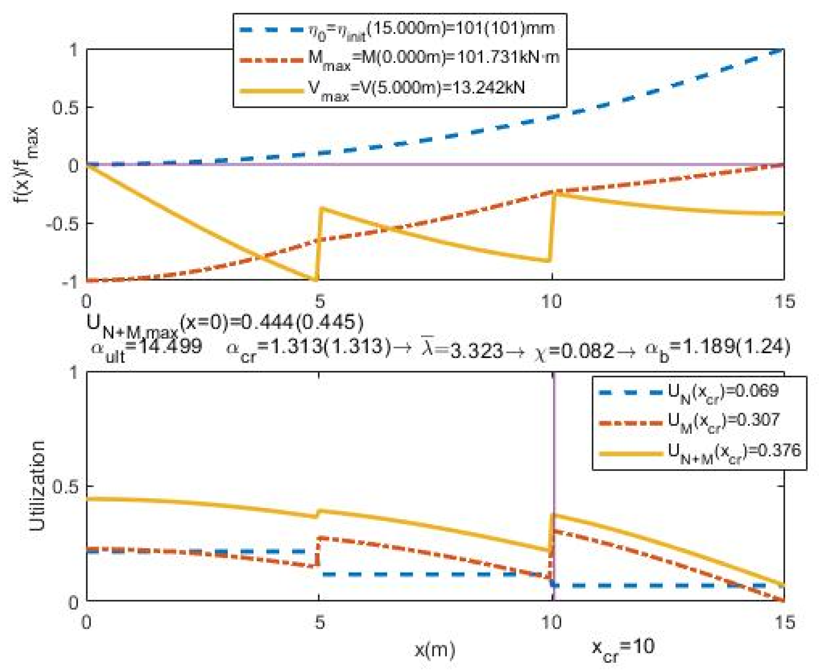
The position of the section xU where the greatest utilization factor UN+M,max < 1.0 takes place may depend on the load level. The position of the section xU may differ from the location of the critical section xcr defined in the nomenclature. This is case in Figure 15 and Figure 16. In the rare cases, as it is in Example 5 (Figure 14), the location of the critical section xcr may be found in accordance with its definition given in nomenclature only if UN+M,max = 1.0 (Figure 17). The cases in which the almost identical values of UN+M,max appear in the same time in more than one section are very rare. Example 5 is a such rare case. The comparison of the values UN+M,max (xcr = 10 m) = 1.0 with UN+M (x = 0 m) = 0.9378 is shown in Figure 17. These values would be closer if steel S235 would be used instead of steel S355: 1.0 and 0.9965, and the value of η0 would be decreased from 101 to 77 mm.
Figure 15.
Example 5: UGLI imperfection ηinit, bending moment M, shear force V, and utilization factor.Values in brackets are taken from [24]. Value (1.24) was obtained by GMNIA.
Figure 16.
Example 5: the scale factor Ω(x). Utilization factor UN+M = 1.0.
Figure 17.
Example 5: UGLI imperfection ηinit, bending moment M, shear force V, and utilization factor UN+M = 1.0.
The distributions of UGLI imperfection, bending moment M(x) and shear force V(x) due to the imperfection and the utilization factors U(x) are plotted in Figure 15. The resulting critical section is xcr = 10 m. The minimum value of the scale factor led in the second and the last iteration to UGLI imperfection amplitude η0 = 101 mm (Figure 16). The significant values for all iterations are shown in Table 5. With the procedure of the authors presented in this article, there is no problem for solving this example. The utilization at the buckling load level is shown in Figure 17. The buckling resistance αb = 1.189 was calculated according to authors’ procedure and checked with GMNIA value αb = 1.24 (Figure 15).
Table 5.
Example 5: key values for each iteration.
In Example 5, GMNIA was performed by the authors (Figure 15) using the Open System for Earthquake Engineering Simulation (OPENSEES) software taking into account a geometrical imperfection with the shape of the buckling mode and amplitude of L/500 (Lcr/1000), also considering the residual stresses of a hot-rolled cross-section.
In Example 5, the maximum moment Mmax(x = 0 m) can be obtained from Equation (26), which serves to verify the value Mmax(x = 0 m) = 101.731 kNm given in Figure 15:
If the value of the force of FEd,2 = 225 kN (Figure 14) changes, the values of UGLI imperfection amplitude and the critical section position xcr are given in Table 6. There is no problem to find the location of the critical section xcr. From Table 6, it can be concluded that UGLI imperfection amplitude has the step change when the critical section position changes from xcr = 10 to 5 m. It changes from η0 = 101 to 145 mm for steel grade S355.
Table 6.
Example 5: influence of the value of FEd,2 and the steel grade. Values in brackets are from [24].
In Table 7, the buckling resistance αb calculated according to the authors’ procedure is checked with the GMNIA value for steel grades 235, 275 and 355.
Table 7.
Example 5: buckling resistance αb calculated according to the authors’ procedure and with GMNIA.
In Brodniansky’s work [24], where for UGLI imperfection the incorrect name EUGLI is used, the critical section xcr could not be found using the utilization factor matrix due to numerical issues. According to the procedure proposed in this work, the critical section xcr is possible to find. It may be concluded that Chladný’s method has no obstacles.
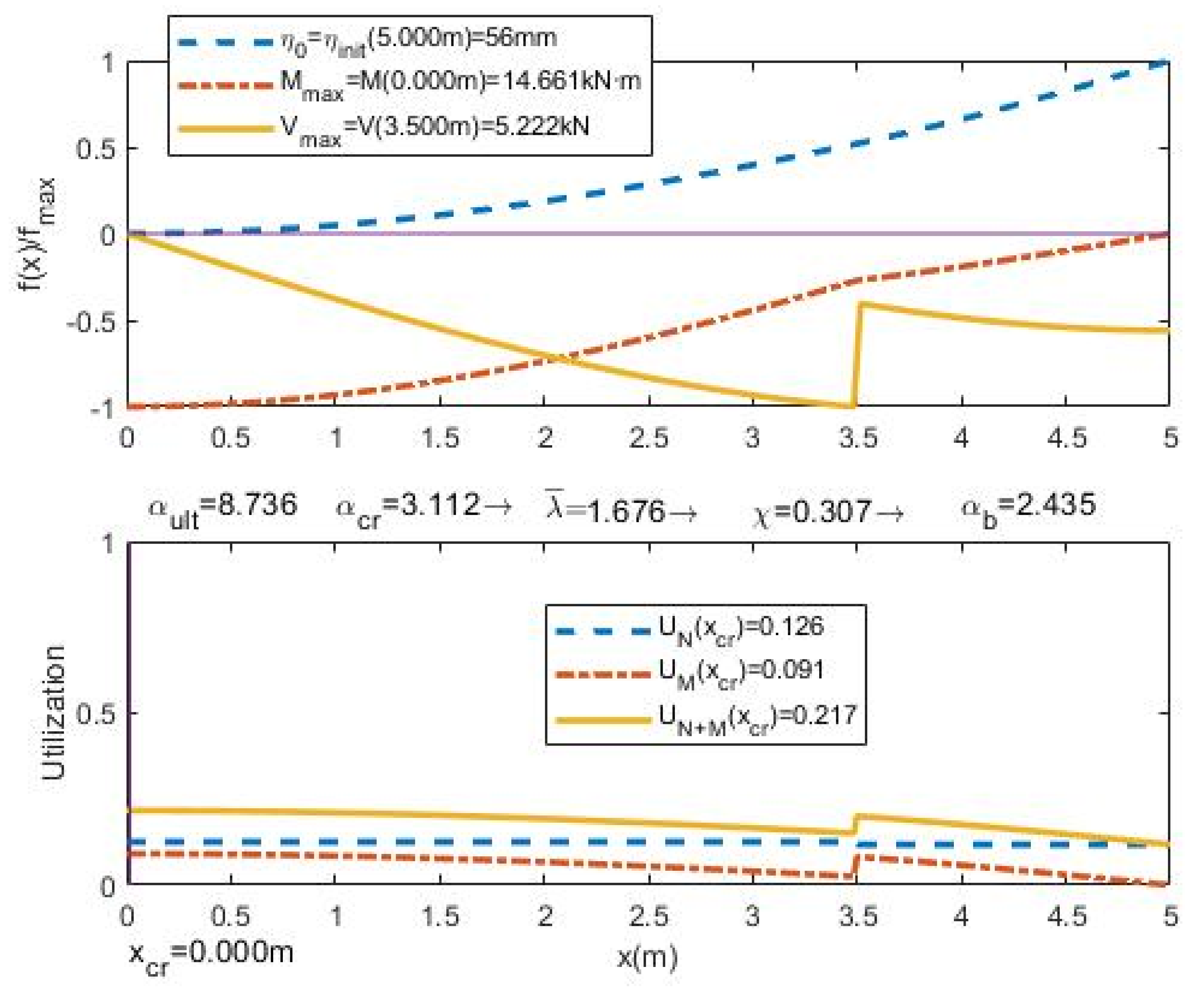
Example 6.
Höglund solved in [30] by equivalent member method given in [2] the member made of aluminum alloy EN AW-6005A-T6, buckling class A, with a yield strength fo = 215 MPa, ultimate strength fu = 260 MPa and γM1 = 1.1. He also took into account welds located in the fixed end and in the place where a member changes his cross-section.
We took from example 6.11 [30] only the geometry L = 5 m and loading. The purpose was to show that also in example 6.11 [30], which is similar to Example 6, the presented procedure may obtain desired results without problems. Our member (Figure 18) is made of the aluminum alloy EN AW-6061-T6, buckling class A, E = 70,000 MPa, fo = 240 MPa, fu = 260 MPa (Table 3.2b [2]), γM1 = 1.1. The section properties of EP (extruded profile) are A1 = 38.8 cm2, I1 = 1673 cm4, W1 = 220 cm3 and A2 = 91 cm2, I2 = 8091 cm4, W2 = 736 cm3.
Figure 18.
Example 6: description of the member made of aluminum alloy taken from [30] example 6.11.
Nothing may be compared with Höglund’s example 6.11, except the values of buckling lengths, which are the same.
The distributions of UGLI imperfection, bending moment M(x) and shear force V(x) due to the imperfection and the utilization factors U(x) are plotted in Figure 19. The critical section takes place at xcr = 0 m. The minimum value of scale factor led in the last iteration to UGLI imperfection amplitude η0 = 56 mm (Figure 20). The influence of the welds is beyond the scope of this paper. The authors intend to take it into account in another paper.
Figure 19.
Example 6: UGLI imperfection ηinit, bending moment M, shear force V, and utilization factor U.
Figure 20.
Example 6: the scale factor Ω(x). Utilization factor UN+M = 1.0.
5. Conclusions
A new more general procedure is presented based on Chladný’s method, which was accepted by CEN/TC 250 working groups for Eurocodes [1,2,4,5]. It enables to obtain the geometric equivalent UGLI imperfection ηinit (x), the critical section xcr and UGLI imperfection amplitude η0 for complex slender metal structures. This procedure has been validated by the recalculation of several examples of steel members published by Chladný [7], Papp [23] and Marques et al. [28]. The comparison of the results showed very good agreement with the results of other authors and results of GMNIA. It is shown that the presented procedure is also able to solve case [24] in which the critical section xcr could not be found. The example of the member made of aluminum alloy investigated by Höglund [30] is also solved without problem.
The paper provides information about: (i) the history of method development used in Eurocodes and (ii) differences between the current Eurocodes [1,2] and their newest working drafts [4,5]. The method is described in detail in such a way that the users of Eurocodes will also be able to use it for complex frame structures made of steel or aluminum alloys.
The topics which are beyond scope of this paper are namely the influence of: (i) partial safety factor γM1; (ii) local buckling at steel structures; and (iii) transverse or longitudinal welds at structures made of aluminum alloys, will be investigated in the next papers. The results of direct method are very close to the ones obtained by the authors’ method, except the results in the Example 1. Further studies should be performed to determine if the direct method could be an alternative to the current method proposed in the Eurocodes.
Author Contributions
A.A.: Conceptualization, methodology, software, validation, writing—original draft, writing—review and editing, supervision; I.B.: conceptualization, validation, writing—original draft, writing—review and editing, supervision; Y.K.: writing—original draft, writing—review and editing, supervision; P.M.: writing—original draft, writing—review and editing, supervision. All authors have read and agreed to the published version of the manuscript.
Funding
This research did not receive any specific grant from funding agencies in the public, commercial, or non-profit sectors.
Acknowledgments
Authors devote the paper to the memory of Prof. Ing. Eugen Chladný, Ph.D. (01.08.1928–07.07.2020), the author of UGLI imperfection method used in both metal Eurocodes.
Conflicts of Interest
The authors declare no conflict of interest.
Nomenclature
α is the imperfection factor related to the flexural buckling curve (Tables 6.1 and 6.2 of EN 1993-1-1 [1]; Tables 3.2 and 6.6 in EN 1999-1-1 [2]). αLT is the imperfection factor for lateral torsional buckling related to buckling curve (Tables 6.3, 6.4 and 6.5 in EN 1993-1-1 [1]; 6.3.2.2 in EN 1999-1-1 [2]). αcr is the minimum load amplifier for the axial force configuration in members to reach the elastic critical buckling load (5.2.1(3) in [1]; 5.2.1(3) in [2]). αult is the amplifier for the load of members to reach the characteristic resistance of the critical cross-section (6.3.4(2) in [1], where more the convenient symbol αult,k is used; [2] does not know such quantity and symbol). αb is the load amplifier of members to reach the ultimate buckling load (see Equations (12) and (16); the symbol is not used in [1,2]). γM0 is the partial safety factor for the resistance of cross-section whatever the class is (6.1 in [1]; [2] does not know such quantity and symbol). γM1 is the partial safety factor for the resistance of members to instability assessed by member checks (6.1 in [1] and 6.1.3; Table 6.1 in [2]). χ is the reduction factor for the relevant buckling curve (6.3.1.2 in [1]; 6.3.1.2 in [2]). is the relative slenderness (6.3.1.2 in [1]; 6.3.1.2 in [2]). is the plateau length of buckling curves (for steel [1]: 0.2; for the aluminum alloy [2]: 0.1 for buckling class A and 0.0 for buckling class B). is the relative slenderness for lateral torsional buckling (6.3.2.2 and 6.3.2.3 in [1]; 6.3.2.2 in [2]). is the relative slenderness for torsional flexural buckling. is the plateau length of lateral torsional buckling curves. β is the correction factor for lateral torsional buckling curves (6.3.2.3 in [1]; [2] does not know such quantity and symbol). η0 is the amplitude of UGLI imperfection. {ηinit} is UGLI imperfection in the shape of elastic critical buckling mode. {ηcr} is the shape of elastic critical buckling mode. ηcr,w is the displacement of the buckling shape component perpendicular to axis y along the x axis. ηcr,v is the displacement of the buckling shape component perpendicular to axis z along the x axis. ηcr,θx is the torsional rotation of the buckling shape component about shear center axis along the x axis. A is the cross-sectional area. E is the modulus of elasticity (210,000 MPa for steel [1]; 70,000 MPa for aluminum alloy [2]). e0,d (e0,k) is the design (characteristic) value of the initial imperfection amplitude of the equivalent member used in the calculation of UGLI imperfection amplitude. It is given in 5.3.2(11) [1,2] or in 7.3.6(1) [4] or in 7.3.2(11) in [5]. The indices d and k are sometimes omitted. e0 is the local bow imperfection given in Table 5.1 [1,2] or in 7.3.3.1(1) [4] or in 7.3.2(3)b) [5]. It is used when performing second order analysis including member imperfections related to flexural buckling. It is not used in UGLI imperfection method and must not be commuted with the above amplitude. Iy, Iz are the second moments of area with respect to the y, z axes. Iw is the warping constant. Ncr is the elastic critical force of the relevant buckling mode based on the gross cross-section properties. NEd is the design value of normal force. NRk is the characteristic resistance of normal force in the critical section (depending on Class 1, 2 and 3 cross-section). MRk is the characteristic resistance of bending moment in the critical section (depending on Class 1, 2 and 3 cross-section). Wz is the section modulus about z axis (depending on Class 1, 2 and 3 cross-section). Wy is the section modulus about y axis (depending on Class 1, 2 and 3 cross-section). WB is the warping section modulus. xcr is the critical section where the utilization factor is greater than at all the other sections.
References
- EN 1993-1-1:2005 and Corrigendum AC (2006) and Corrigendum AC (2009) and Amendment A1 (2014). Eurocode 3: Design of Steel Structures. In Part 1.1: General Rules and Rules for Buildings; CEN: Brussels, Belgium, 2005. [Google Scholar]
- EN 1999-1-1:2007 and Amendment A1 (2009) and Amendment A2 (2013). Eurocode 9: Design of Aluminium Structures. In Part 1.1: General Structural Rules; CEN: Brussels, Belgium, 2007. [Google Scholar]
- Chladný, E.; Štujberová, M. Frames with unique global and local imperfection in the shape of the elastic buckling mode (part1). Stahlbau 2013, 8, 609–617. [Google Scholar] [CrossRef]
- prEN 1993-1-1:2020. Eurocode 3: Design of Steel Structures. In Part 1.1: General Rules and Rules for Buildings; CEN: Brussels, Belgium, 2020. [Google Scholar]
- prEN 1999-1-1:2020. Eurocode 9: Design of aluminium structures. In Part 1.1: General Structural Rules; CEN/TC 250/SC 9 N 888; Secretariat BSI: London, UK, 2020. [Google Scholar]
- Sedlacek, G. Consistency of the Equivalent Geometric Imperfection Used in Design and in the Tolerances for Geometric Imperfection Used in Execution; CEN/TC 250/SC 3 document N1721; CEN: Brussels, Belgium, 2010; pp. 1–144. [Google Scholar]
- Chladný, E.; Štujberová, M. Frames with unique global and local imperfection in the shape of the elastic buckling mode (Part 2). Stahlbau 2013, 9, 684–694. [Google Scholar] [CrossRef]
- Chladný, E.; Štujberová, M. Errata: Frames with unique global and local imperfection in the shape of the elastic buckling mode. Stahlbau 2013, 82, 684–694. [Google Scholar] [CrossRef]
- Chladný, E. Imperfections for global analysis in STN EN 1993-1-1. In Implementation of Eurocodes in Practice. Design of Steel Structures according to STN EN 1993-1-1: November 2006 and STN EN 1993-1-8 April 2007, 1st ed.; SKSI Bratislava: Bratislava, Slovakia, 2007; Chapter 5. (In Slovak) [Google Scholar]
- Chladný, E. Imperfections for Global Analysis in STN EN 1993-1-1. In Implementation of Eurocodes in Practice. Design of Steel Structures According to STN EN 1993-1-1: November 2006 and STN EN 1993-1-8 April 2007 and Their Corrigenda and National Annexes, 2nd ed.; Baláž, I., Ed.; SKSI Bratislava: Bratislava, Slovakia, 2010; Chapter 5. (In Slovak) [Google Scholar]
- Baláž, I. Determination of the flexural buckling resistance of frames with members with non-uniform cross-section and non-uniform axial compression forces. Zborník z XXXIV. In Aktívu Pracovníkov Odboru OK so Zahraničnou Účast’ou “Teoretické a Konštrukčné Problémy Ocel’ových a Drevených Konštruckcií a Mostov”; STU Bratislava: Pezinok, Slovakia, 2008; pp. 17–22. [Google Scholar]
- Baláž, I.; Koleková, Y. Metal frames with non-uniform members and/or nonuniform normal forces with imperfections in the form of elastic buckling mode. Engineering research. In Anniversary Volume Honoring Amália and Miklós Iványi; Univeristy of Pécs: Pécs, Hungary, 2010; pp. 3–15. [Google Scholar]
- Baláž, I.; Koleková, Y. Structures with UGLI imperfections. In Proceedings of the 18th International Conference Engineering Mechanics 2012, Svratka, Czech Republic, 14–17 May 2012; pp. 61–86. [Google Scholar]
- Baláž, I.; Koleková, Y. In plane stability of two hinged arches. In Proceedings of the European Conference on Steel and Composite Structures, Eurosteel, Budapest, Hungary, 31 August–2 September 2011; pp. 1869–1874. [Google Scholar]
- Baláž, I.; Koleková, Y.; Kováč, M.; Živner, T. Generalization of Unique Global and Local Initial Imperfection Used in EN 1993-1-1 and EN 1999-1-1. In Proceedings of the 8th International Conference on Steel and Aluminium Structures, Hong Kong, China, 7–9 December 2016; pp. 1398–1411. [Google Scholar]
- Agüero, A.; Pallarés, F.J. Proposal to evaluate the ultimate limit state of slender structures. Part 1: Technical aspects. Eng. Struct. 2007, 29, 483–497. [Google Scholar] [CrossRef]
- Agüero, A.; Pallarés, L.; Pallares, F.J. Equivalent geometric imperfection definition in steel structures sensitive to flexural and/or torsional buckling due to compression. Eng. Struct. 2015, 91, 160–177. [Google Scholar] [CrossRef]
- Agüero, A.; Pallarés, F.J.; Pallares, L. Equivalent geometric imperfection definition in steel structures sensitive to lateral torsional buckling due to bending moment. Eng. Struct. 2015, 96, 41–55. [Google Scholar] [CrossRef]
- Kováč, M. Buckling Resistance of Metal Members and Frame Structures, Application of New Methods from Eurocodes. Ph.D. Thesis, STU in Bratislava, Bratislava, Slovakia, 2012. [Google Scholar]
- Dallemule, M. In Plane Buckling of Arch Structures. Ph.D. Thesis, STU in Bratislava, Bratislava, Slovakia, 2013. (In Slovak). [Google Scholar]
- Bijlaard, F.; Feldmann, M.; Naumes, J.; Sedlacek, G. The “general method” for assessing the out of plane stability of structural members and frames and the comparison with alternative rules in EN1993—Eurocode3—Part1-1. Steel Constr. 2010, 3, 33. [Google Scholar] [CrossRef]
- Wieschollek, M.; Schillo, N.; Feldmann, M.; Sedlacek, G. Lateral–torsional buckling checks of steel frames using second-order analysis. Steel Constr. 2012, 5, 71–86. [Google Scholar] [CrossRef]
- Papp, F. Buckling assessment of steel members trough overall imperfection method. Eng. Struct. 2016, 106, 124–136. [Google Scholar] [CrossRef]
- Brodniansky, J. Equivalent unique global and local initial imperfection - Imperfection in EN 1993-1-1 and EN 1999-1-1 Clause 5.3.2 (11)—Calculation procedure and discovered obstacles. Pollack Period. 2017, 12, 33–42. [Google Scholar] [CrossRef][Green Version]
- Lindner, J.; Kuhlmann, U.; Just, A. Verification of Flexural Buckling According to Eurocode 3 Part 1-1 using bow imperfections. Steel Constr. 2016, 9, 349–362. [Google Scholar] [CrossRef]
- Lindner, J.; Kuhlmann, U.; Jörg, F. Initial bow imperfection e0 for the verification of Flexural Buckling According to Eurocode 3 Part 1-1—Additional considerations. Steel Constr. 2018, 11, 30–41. [Google Scholar] [CrossRef]
- Trahair, N.S. Flexural–Torsional Buckling of Structures; E & FNspon: London, UK, 1993. [Google Scholar]
- Marques, L.; Taras, A.; Silva, L.S.; Greiner, R.; Rebelo, C. Development of a consistent. buckling design procedure for tapered columns. J. Constr. Steel Res. 2012, 72, 61–74. [Google Scholar] [CrossRef]
- Chladný, E.; Chladná, M. Some remarks to the application of equivalent bow imperfection in analyses of compressed steel members and structures. In Proceedings of the 10th International Conference on Metal Structures; Ziółko, J., Supernak, E., Eds.; PAN: Gdansk, Poland, 2001; Volume 2, pp. 351–356. [Google Scholar]
- Höglund, T.; Tindall, P. Designer’s Guide to Eurocode 9: Design of Aluminium Structures; EN 1999-1-1 and -1-4; ICE Publishing: London, UK, 2012; ISBN 978-0-7277-5737-1. [Google Scholar]
Publisher’s Note: MDPI stays neutral with regard to jurisdictional claims in published maps and institutional affiliations. |
© 2020 by the authors. Licensee MDPI, Basel, Switzerland. This article is an open access article distributed under the terms and conditions of the Creative Commons Attribution (CC BY) license (http://creativecommons.org/licenses/by/4.0/).



















