In the original publication [1], there was a mistake in Figure 25 and some texts related to the calculated results of Figure 25.
At the end of the article, while calculating four evaluation metrics, we made a careless mistake due to an incorrect function call in the software toolkit. As a result, there was a slight deviation in the calculated results. We have rectified the programming error and recalculated all the metrics in Figure 25. The corrected Figure 25 appears below.
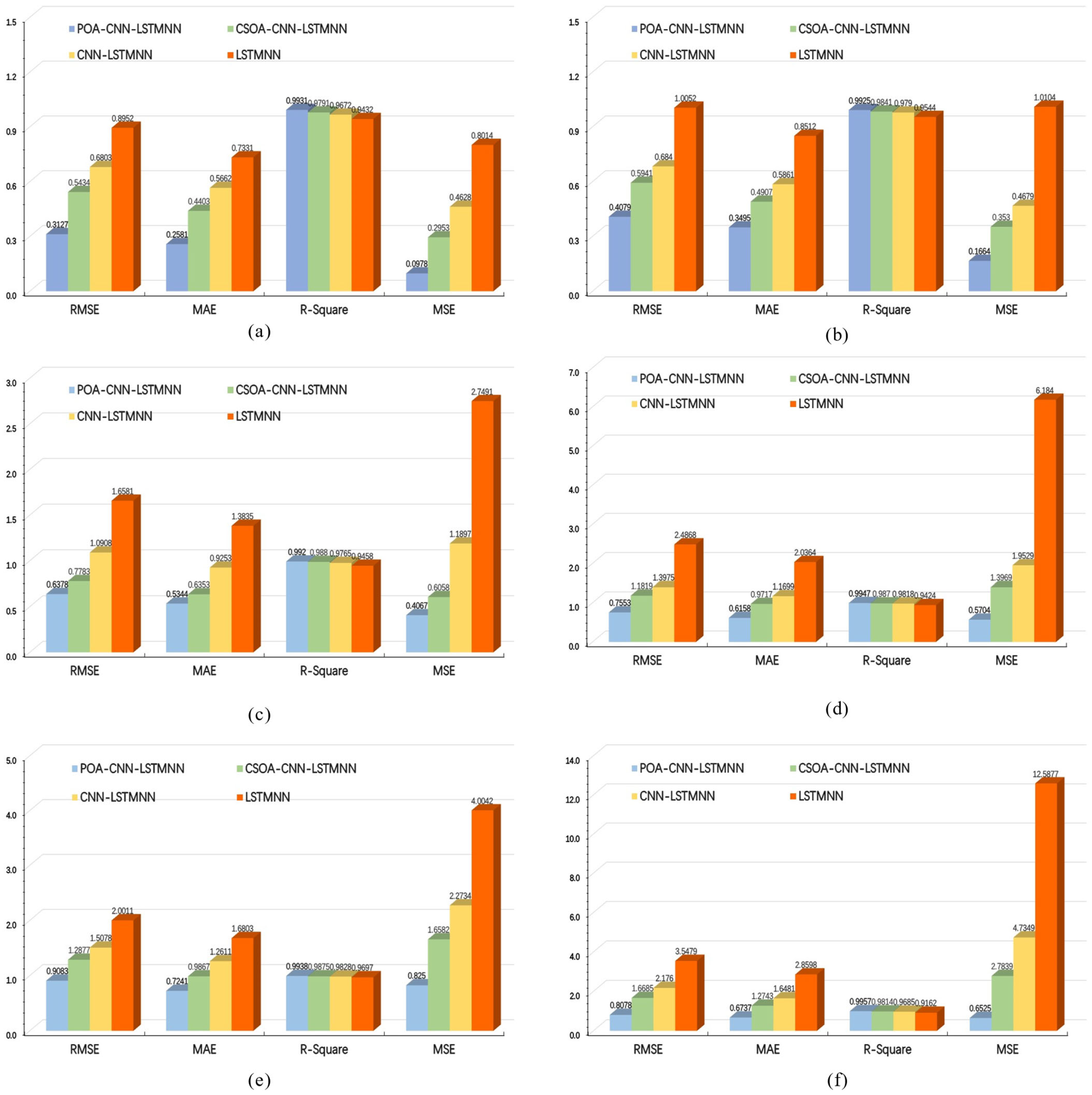
Figure 25.
Values of four evaluation indexes for each model at different speeds: (a) 1000 r/min; (b) 2500 r/min; (c) 4000 r/min; (d) 7000 r/min; (e) 8500 r/min; (f) 10,000 r/min.
A correction has been made to Section 4 Prediction Performance Analysis, Paragraph 8:
Figure 25 displays the evaluation index values of each model across various speeds. When the spindle speed was 1000 r/min, the RMSE values for the POA-CNN-LSTMNN, CSOA-CNN-LSTMNN, CNN-LSTMNN, and LSTMNN models were 0.3127, 0.5434, 0.6803, and 0.8952, respectively; the MAE values were 0.2581, 0.4403, 0.5662, and 0.7331, respectively; the values were 0.9931, 0.9791, 0.9672, and 0.9432, respectively; and the MSE values were 0.0978, 0.2953, 0.4628, and 0.8014, respectively. When the spindle rate was 2500 r/min, the RMSE values of the POA-CNN-LSTMNN, CSOA-CNN-LSTMNN, CNN-LSTMNN, and LSTMNN models were 0.4079, 0.5941, 0.684, and 1.0052, respectively; the MAE values were 0.3495, 0.4907, 0.5861, and 0.8512, respectively; and the and MSE values were 0.9925 and 0.1664, 0.9841 and 0.353, 0.979 and 0.4679, and 0.9544 and 1.0104, respectively. When the spindle rate was 4000 r/min, the RMSE values of the POA-CNN-LSTMNN, CSOA-CNN-LSTMNN, CNN-LSTMNN, and LSTMNN models were 0.6378, 0.7783, 1.0908, and 1.6581, respectively; the MAE values were 0.5344, 0.6353, 0.9253, and 1.3835, respectively; the values were 0.992, 0.988, 0.9765, and 0.9458, respectively; and the MSE values were 0.4067, 0.6058, 1.1897, and 2.7491, respectively. When the spindle rate was 7000 r/min, the RMSE values of the POA-CNN-LSTMNN, CSOA-CNN-LSTMNN, CNN-LSTMNN, and LSTMNN models were 0.7553, 1.1819, 1.3975, and 2.4868, respectively; the MAE values were 0.6158, 0.9717, 1.1699, and 2.0364, respectively; the values were 0.9947, 0.987, 0.9818, and 0.9424, respectively; and the MSE values were 0.5704, 1.3969, 1.9529, and 6.184, respectively. When the spindle speed was 8500 r/min, the RMSE and MAE values of the POA-CNN-LSTMNN, CSOA-CNN-LSTMNN, CNN-LSTMNN, and LSTMNN models were 0.9083 and 0.7241, 1.2877 and 0.9867, 1.5078 and 1.2611, and 2.0011 and 1.6803, respectively; and the and MSE values were 0.9938 and 0.825, 0.9875 and 1.6582, 0.9828 and 2.2734, and 0.9697 and 4.0042, respectively. When the spindle speed was 10,000 r/min, the RMSE values of the POA-CNN-LSTMNN, CSOA-CNN-LSTMNN, CNN-LSTMNN, and LSTMNN models were 0.8078, 1.6685, 2.176, and 3.5479, respectively; the MAE values were 0.6737, 1. 2743, 1.6481, and 2.8598, respectively; the values were 0.9957, 0.9814, 0.9685, and 0.9162, respectively; and the MSE values were 0.6525, 2.7839, 4.7349, and 12.5877, respectively. The average RMSE, MAE, , and MSE values of the POA-CNN-LSTMNN model at different speeds were 0.6383, 0.5259, 0.9936, and 0.4531, respectively. The mean RMSE, MAE, , and MSE values of the CSOA-CNN-LSTMNN model at different speeds were 1.009, 0.7998, 0.9845, and 1.1822, respectively. The average RMSE, MAE, , and MSE values of the CNN-LSTMNN model at different speeds were 1.2561, 1.0261, 0.976, and 1.8469, respectively. The mean RMSE, MAE, , and MSE values of the LSTMNN model at different speeds were 1.9324, 1.5907, 0.9453, and 4.5561, respectively. The POA-CNN-LSTMNN model had 36.7%, 49.2%, and 67% lower average RMSE values than the CSOA-CNN-LSTMNN, CNN-LSTMNN, and LSTMNN models, respectively. The average MAE values of the POA-CNN-LSTMNN model were 34.2%, 48.7%, and 66.9% lower than those of the CSOA-CNN-LSTMNN, CNN-LSTMNN, and LSTMNN models, respectively. Compared to the CSOA-CNN-LSTMNN, CNN-LSTMNN, and LSTMNN models, the average and MSE values of the POA-CNN-LSTMNN model increased by 0.9%, 1.8%, and 5.1% and decreased by 61.7%, 75.5%, and 90%, respectively.
A correction has been made to Section 5 Conclusions, Point 3:
On average, the POA-CNN-LSTMNN model exhibited a reduction of 51% and 49.9% in the RMSE and MAE, respectively. Additionally, the was 2.6% higher on average compared to the other models, and MSE was reduced by 75.7% on average.
The authors state that the scientific conclusions are unaffected. This correction was approved by the Academic Editor. The original publication has also been updated.
Reference
- Gao, Y.; Xia, X.; Guo, Y. A Thermal Error Prediction Method of High-Speed Motorized Spindle Based on Pelican Optimization Algorithm and CNN-LSTM. Appl. Sci. 2024, 14, 381. [Google Scholar] [CrossRef]
Disclaimer/Publisher’s Note: The statements, opinions and data contained in all publications are solely those of the individual author(s) and contributor(s) and not of MDPI and/or the editor(s). MDPI and/or the editor(s) disclaim responsibility for any injury to people or property resulting from any ideas, methods, instructions or products referred to in the content. |
© 2024 by the authors. Licensee MDPI, Basel, Switzerland. This article is an open access article distributed under the terms and conditions of the Creative Commons Attribution (CC BY) license (https://creativecommons.org/licenses/by/4.0/).
