Research on High-Frequency Isolated NPC Three-Level Inverter for Frequency Conversion and Speed Regulation
Abstract
Featured Application
Abstract
1. Introduction
2. Analysis of Topological Structure and Operational Principles
- (a)
- The three-phase industrial AC input is converted into a DC power source via a three-phase diode rectifier.
- (b)
- The DC voltage Udc1 is transmitted to the intermediate stage, where it is converted into a stable DC voltage Udc2 by the high-frequency isolated DC-DC stage, and then sent to the output stage with the NPC three-level inverter.
- (c)
- After the energy is delivered to the output stage, under the control of the DSP, the power devices in the output stage circuit are controlled by the dual closed-loop control SVPWM modulation control strategy, which can convert the DC power into AC power with the frequency and amplitude required for load operation, driving the load for speed regulation.
3. Analysis of Control Strategies
3.1. Three-Phase Rectification and High-Frequency Isolated DC-DC Stage Control Strategy
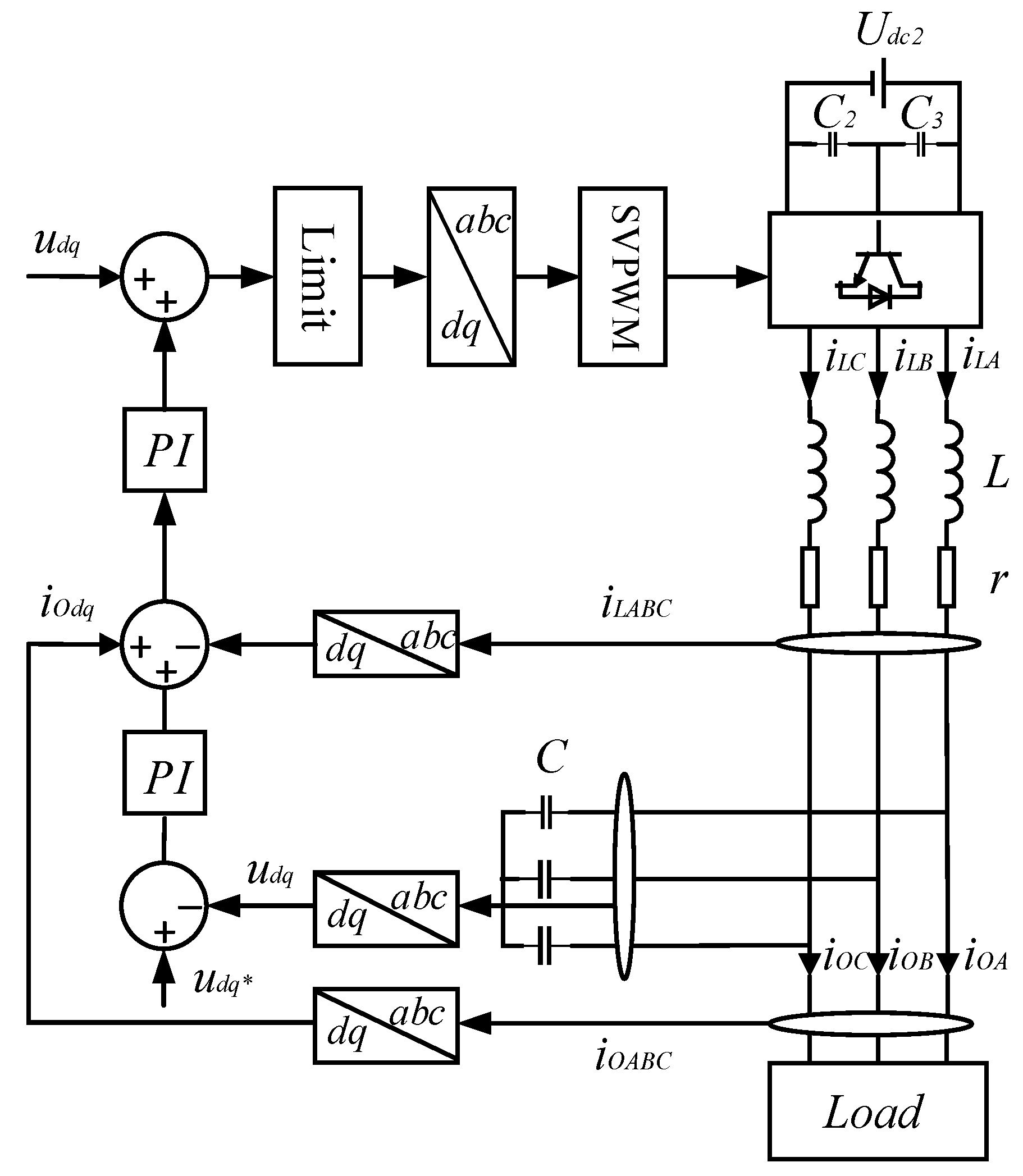
3.2. NPC Three-Level Inverter Output Stage Control Strategy
3.2.1. The 120° SVPWM Modulation Algorithm
- (a)
- Division of sectors
- (b)
- Sector determination
- (c)
- The action time of the basic vector
- (d)
- Seven-level SVPWM modulation
3.2.2. Dual Closed-Loop Control
4. System Simulation Analysis
4.1. Analysis of Input and Intermediate Stages
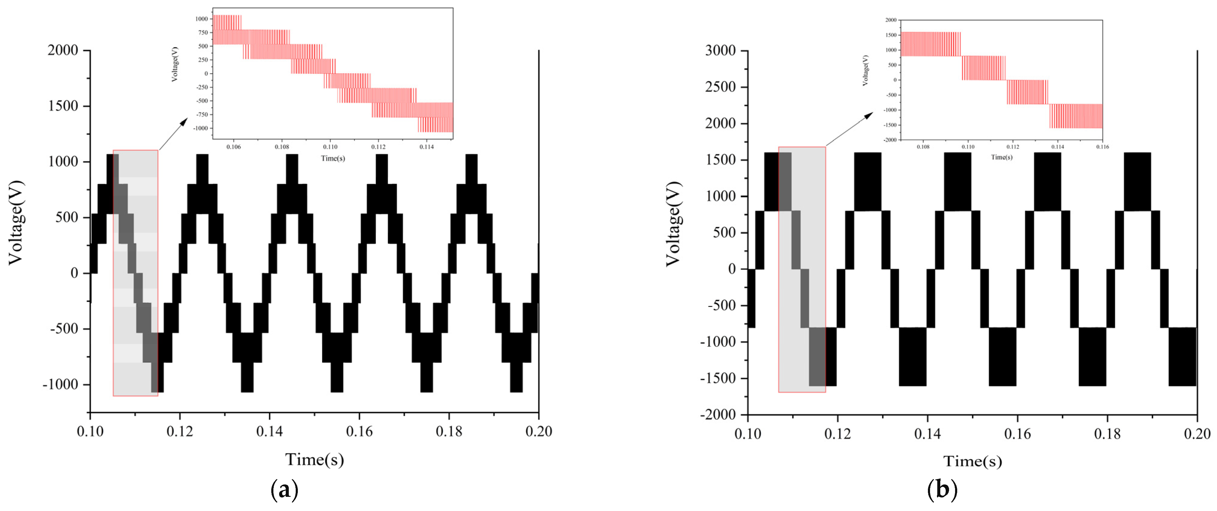
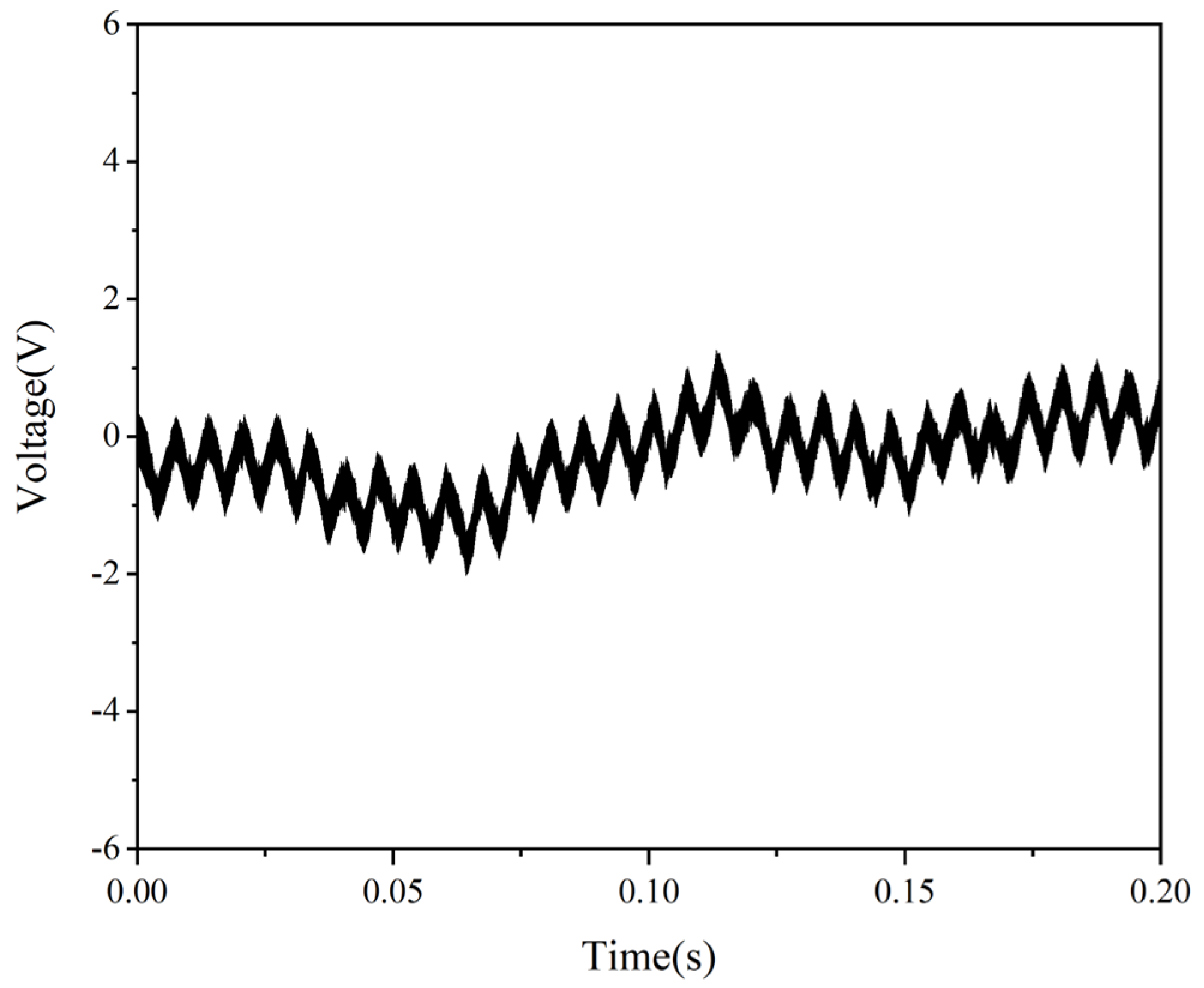
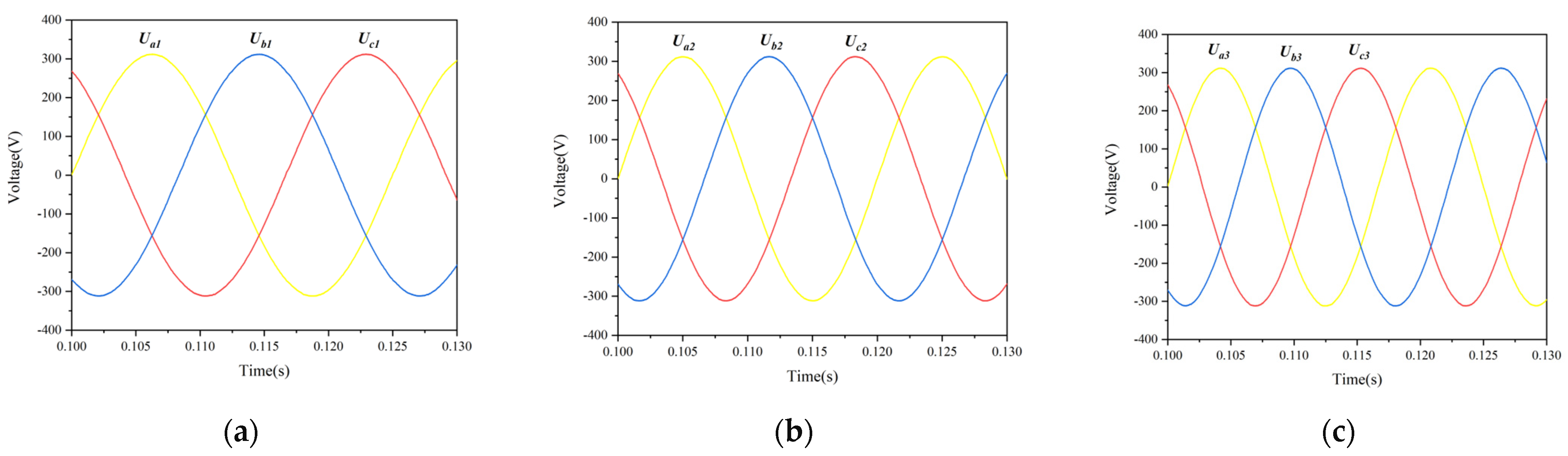
4.2. Analysis of Output Stage
5. Results of the Experiment
6. Conclusions
Author Contributions
Funding
Institutional Review Board Statement
Informed Consent Statement
Data Availability Statement
Conflicts of Interest
References
- Štatkić, S.; Jeftenić, I.B.; Bebić, M.Z.; Milkić, Ž.; Jović, S. Reliability assessment of the single motor drive of the belt conveyor on Drmno open-pit mine. Int. J. Electr. Power Energy Syst. 2019, 113, 393–402. [Google Scholar] [CrossRef]
- Abramov, B.I.; Datskovskii, L.K.; Kuz’min, I.K.; Shevyrev, Y.V. Electric drives of mining installations. Russ. Electr. Eng. 2017, 88, 159–165. [Google Scholar] [CrossRef]
- Shuai, W. Interference and countermeasures for mining frequency converter. China New Telecommun. 2013, 15, 11. [Google Scholar]
- Lu, Y.; Sui, L.; Dong, L.; Jiao, C.; Zhao, Z.; Zhang, X.; Jia, X. Research on Electromagnetic Disturbance Characteristics of Mining Frequency Converter Based on Frequency Domain Analysis. J. Phys. Conf. Ser. 2022, 2401, 012031. [Google Scholar] [CrossRef]
- Yaghoobi, J.; Abdullah, A.; Kumar, D.; Zare, F.; Soltani, H. Power quality issues of distorted and weak distribution networks in mining industry: A review. IEEE Access 2019, 7, 162500–162518. [Google Scholar] [CrossRef]
- Ebrahimi, S.; Amiri, N.; Atighechi, H.; Jatskevich, J.; Wang, L. Parametric average value modeling of high power AC/AC cyclo converters. In Proceedings of the 2015 IEEE 16th Workshop on Control and Modeling for Power Electronics, Vancouver, BC, Canada, 12–15 July 2015; pp. 1–6. [Google Scholar] [CrossRef]
- Szczesniak, P. Challenges and design requirements for industrial applications of AC/AC power converters without DC-link. Energies 2019, 12, 1581. [Google Scholar] [CrossRef]
- Fedyczak, Z.; Szczesniak, P.; Klytta, M. AC Drives with Buck-Boost Voltage Switched Frequency Converters without DC Storage. In Proceedings of the 2018 International Symposium on Power Electronics, Electrical Drives, Automation and Motion (SPEEDAM), Amalfi, Italy, 20–22 June 2018; pp. 507–512. [Google Scholar] [CrossRef]
- Zhuk, O.; Zhuk, D.; Diakonov, O. Input Voltages and Currents Distortion and Power Factor of Frequency Converters. In Proceedings of the 2020 IEEE 40th International Conference on Electronics and Nanotechnology (ELNANO), Kyiv, Ukraine, 22–24 April 2020; pp. 791–796. [Google Scholar] [CrossRef]
- Maswood, A.I.; Liu, F. A novel unity power factor input stage for AC drive application. IEEE Trans. Power Electron. 2005, 20, 839–846. [Google Scholar] [CrossRef]
- Baek, J.; Kwak, S. Direct power control of PMa-SynRG with back-to-back PWM voltage-fed drive. J. Electr. Eng. Technol. 2018, 13, 761–768. [Google Scholar] [CrossRef]
- Tang, Y.; He, Y.; Wang, F.; Kennel, R. Voltage-sourced converter fed high-speed switched reluctance motor drive system with energy feedback and near-unity power factor. IEEE Trans. Ind. Electron. 2021, 69, 3460–3470. [Google Scholar] [CrossRef]
- Dong, Y.; Yang, K.; Wang, J. Harmonic analysis of AC drive double PWM back to back network side. J. Phys. Conf. Ser. 2021, 1887, 012042. [Google Scholar] [CrossRef]
- Gu, C.; Krishnamoorthy, H.S.; Enjeti, P.N.; Zheng, Z.; Li, Y. A medium-voltage matrix converter topology for wind power conversion with medium frequency transformers. J. Power Electron. 2014, 14, 1166–1177. [Google Scholar] [CrossRef]
- Bednar, B.; Blahnik, V.; Drabek, P.; Pittermann, M. Novel control strategy of single matrix traction converter–variable switching frequency. Elektron. Elektrotechnika 2015, 21, 13–18. [Google Scholar] [CrossRef][Green Version]
- Sun, J. The revision opinions on the electrical part of the Coal Mine Safety Regulations. Ind. Min. Autom. 2014, 40, 5. [Google Scholar] [CrossRef]
- Iraklis, A.; Schirmer, T.; Dittus, H.; Lusiewicz, A.; Winter, J. Overview of three-stage power converter topologies for medium frequency-based railway vehicle traction systems. IEEE Trans. Veh. Technol. 2019, 68, 3268–3278. [Google Scholar] [CrossRef]
- Chung, I.-Y.; Liu, W.; Schoder, K.; Cartes, D.A. Integration of a bi-directional DC–DC converter model into a real-time system simulation of a shipboard medium voltage DC system. Electr. Power Syst. Res. 2011, 81, 1051–1059. [Google Scholar] [CrossRef]
- Alotaibi, S.; Darwish, A.; Williams, B.W. Three-phase inverter based on isolated SEPIC/CUK converters for large-scale PV applications. Int. J. Electr. Power Energy Syst. 2023, 146, 108723. [Google Scholar] [CrossRef]
- Ortíz-Marín, J.; Ruiz-Robles, D.; Moreno-Goytia, E.L.; Venegas-Rebollar, V. Design and implementation of a Central-Tapped Medium Frequency Transformer with nanocrystalline core for high-efficiency DC-DC SAB converters. Electr. Power Syst. Res. 2023, 227, 109900. [Google Scholar] [CrossRef]
- Rogina, M.R.; Najera, J.; Rodriguez, A.; Ayarzaguena, I.; Ortega, D.; Pulido, A.; Larrazabal, I. Design and operation of a DC/DC converter to integrate energy storage into a railway traction system. In Proceedings of the 2021 23rd European Conference on Power Electronics and Applications (EPE’21 ECCE Europe), Virtual, 6–10 September 2021. [Google Scholar] [CrossRef]
- Cheng, H.; Yu, Z.; Wang, P.; Xu, Z.; Wang, C. Research on the coordination mode of a new generation of high-frequency isolated cascaded medium and high voltage inverters. Coal Eng. 2020, 52, 147–151. [Google Scholar]
- Liu, Y.; Liang, D.; Zhang, M.; Liang, Y.; Chen, Q.; Wang, Q. Soft start-up scheme for the hybrid distribution transformer. J. Eng. 2019, 2019, 1958–1961. [Google Scholar] [CrossRef]
- Liu, Y.; Liang, D.; Kou, P.; Zhang, M.; Cai, S.; Zhou, K.; Liang, Y.; Chen, Q.; Yang, C. Compound control system of hybrid distribution transformer. IEEE Trans. Ind. Appl. 2020, 56, 6360–6373. [Google Scholar] [CrossRef]
- Liu, Y.; Zhang, L.; Liang, D.; Jin, H.; Li, S.; Jia, S.; Li, J.; Liu, H.; Wang, Y.; Zhou, K.; et al. Quasi-proportional-resonant control for the hybrid distribution transformer with LCL-type converters. IEEE Trans. Ind. Appl. 2022, 58, 6368–6385. [Google Scholar] [CrossRef]
- Gao, S. Research on Topology and Control Strategy of High-Frequency Isolated Hybrid Distribution Transformer, Northeast Electric Power University. June 2023. Available online: https://link.cnki.net/doi/10.27008/d.cnki.gdbdc.2023.000066 (accessed on 1 June 2023).
- Liu, J.; Liu, W.; Wang, Y.; Zhang, G.; Chen, L. Research on High-Frequency Isolation Type of Dual-PWM Variable Frequency Speed Regulation. J. Electr. Eng. Technol. 2023, 18, 2929–2941. [Google Scholar] [CrossRef]
- González-Torres, I.; Miranda-Vidales, H.; Espinoza, J.; Méndez-Barrios, C.-F.; González, M. State feedback control assisted by a gain scheduling scheme for three-level NPC VSC-HVDC transmission systems. Electr. Power Syst. Res. 2018, 157, 227–237. [Google Scholar] [CrossRef]
- Kahia, B.; Bouafia, A.; Chaoui, A.; Zhang, Z.; Abdelrahem, M.; Kennel, R. A direct power control strategy for three level neutral-point-clamped rectifier under unbalanced grid voltage. Electr. Power Syst. Res. 2018, 161, 103–113. [Google Scholar] [CrossRef]
- Wang, H.; Zhang, H. Research for a three-level T-type grid-connected converter based on the simplified three-level SVPWM modulation scheme and neutral-point potential balancing. IEEJ Trans. Electr. Electron. Eng. 2020, 16, 609–617. [Google Scholar] [CrossRef]
- Alsofyani, I.M.M.; Lee, K.-B. Simple capacitor voltage balancing for three-level NPC inverter using discontinuous PWM method with hysteresis neutral-point error band. IEEE Trans. Power Electron. 2021, 36, 12490–12503. [Google Scholar] [CrossRef]
- El Ouanjli, N.; Derouich, A.; El Ghzizal, A.; Taoussi, M.; El Mourabit, Y.; Mezioui, K.; Bossoufi, B. Direct torque control of doubly fed induction motor using three-level NPC inverter. Prot. Control Mod. Power Syst. 2019, 4, 1–9. [Google Scholar] [CrossRef]
- Hurley, W.; Wolfle, W.; Breslin, J. Optimized transformer design: Inclusive of high-frequency effects. IEEE Trans. Power Electron. 1998, 13, 651–659. [Google Scholar] [CrossRef]
- Hurley, W.G.; Wolfe, W.H. Transformers Andinductors Applied to Power Electronic Technology: Theory, Design and Application; ChinaMachinery Industry Press: Beijing, China, 2014; pp. 82–87. [Google Scholar]
- Tangtheerajaroonwong, W.; Hatada, T.; Wada, K.; Akagi, H. Design and performance of a transformerless shunt hybrid filter integrated into a three-phase diode rectifier. IEEE Trans. Power Electron. 2007, 22, 1882–1889. [Google Scholar] [CrossRef]
- Fan, B.; Fu, Z.; Fu, J.; Liu, L. Midpoint potential compensation balance control method based on virtual space vector pulse-width modulation for NPC three-level inverter. Int. Trans. Electr. Energy Syst. 2019, 29, e12044. [Google Scholar] [CrossRef]

















| V | V1 | V2 | V3 | V4 | |
|---|---|---|---|---|---|
| N3 | |||||
| 1 | ONN | OON | OOO | POO | |
| 2 | OON | OOO | POO | PPO | |
| 3 | ONN | PNN | PON | POO | |
| 4 | ONN | OON | PON | POO | |
| 5 | OON | PON | POO | PPO | |
| 6 | OON | PON | PPN | PPO | |
| Parameter | Value | Remark |
|---|---|---|
| Udc2 | 1602 V | DC bus voltage |
| C2, C3 | 1120 ×10−6 F | Capacitance value |
| fc | 10 kHz | Switching frequency |
| L4 | 2 × 10−3 H | Filter inductance value |
| C4 | 20 × 10−6 F | Filter capacitance value |
| R | 100 Ω | Load |
| m | 0.5 | Modulation ratio |
| f0 | 50 Hz | Modulating waveform frequency |
| t | 0.2 s | Simulation time |
| Parameter | Value | Remark |
|---|---|---|
| Udc2 | 20 V | Output DC voltage |
| f | 2 kHz | Switching frequency |
| n | 1 | High-frequency transformer ratio |
| C2~3 | 450 V/560 uF | Output stage upper and lower capacitance capacity |
| LC | 2 mH, 4.7 uF | Inductance and capacitance of LC filters |
Disclaimer/Publisher’s Note: The statements, opinions and data contained in all publications are solely those of the individual author(s) and contributor(s) and not of MDPI and/or the editor(s). MDPI and/or the editor(s) disclaim responsibility for any injury to people or property resulting from any ideas, methods, instructions or products referred to in the content. |
© 2024 by the authors. Licensee MDPI, Basel, Switzerland. This article is an open access article distributed under the terms and conditions of the Creative Commons Attribution (CC BY) license (https://creativecommons.org/licenses/by/4.0/).
Share and Cite
Wang, Y.; Gao, L.; Ma, L.; Liu, Y.; Wu, Y.; Dai, J. Research on High-Frequency Isolated NPC Three-Level Inverter for Frequency Conversion and Speed Regulation. Appl. Sci. 2024, 14, 9673. https://doi.org/10.3390/app14219673
Wang Y, Gao L, Ma L, Liu Y, Wu Y, Dai J. Research on High-Frequency Isolated NPC Three-Level Inverter for Frequency Conversion and Speed Regulation. Applied Sciences. 2024; 14(21):9673. https://doi.org/10.3390/app14219673
Chicago/Turabian StyleWang, Yiying, Longyu Gao, Lifen Ma, Yang Liu, Yanhui Wu, and Jikun Dai. 2024. "Research on High-Frequency Isolated NPC Three-Level Inverter for Frequency Conversion and Speed Regulation" Applied Sciences 14, no. 21: 9673. https://doi.org/10.3390/app14219673
APA StyleWang, Y., Gao, L., Ma, L., Liu, Y., Wu, Y., & Dai, J. (2024). Research on High-Frequency Isolated NPC Three-Level Inverter for Frequency Conversion and Speed Regulation. Applied Sciences, 14(21), 9673. https://doi.org/10.3390/app14219673
