Stabilization of Transverse Modes for a High Finesse Near-Unstable Cavity
Abstract
1. Introduction
2. The Stability Condition of Near-Unstable Cavity
3. PDH Technique in Cavity Stabilization for Different Transverse Cavity Modes
4. Experimental Setup
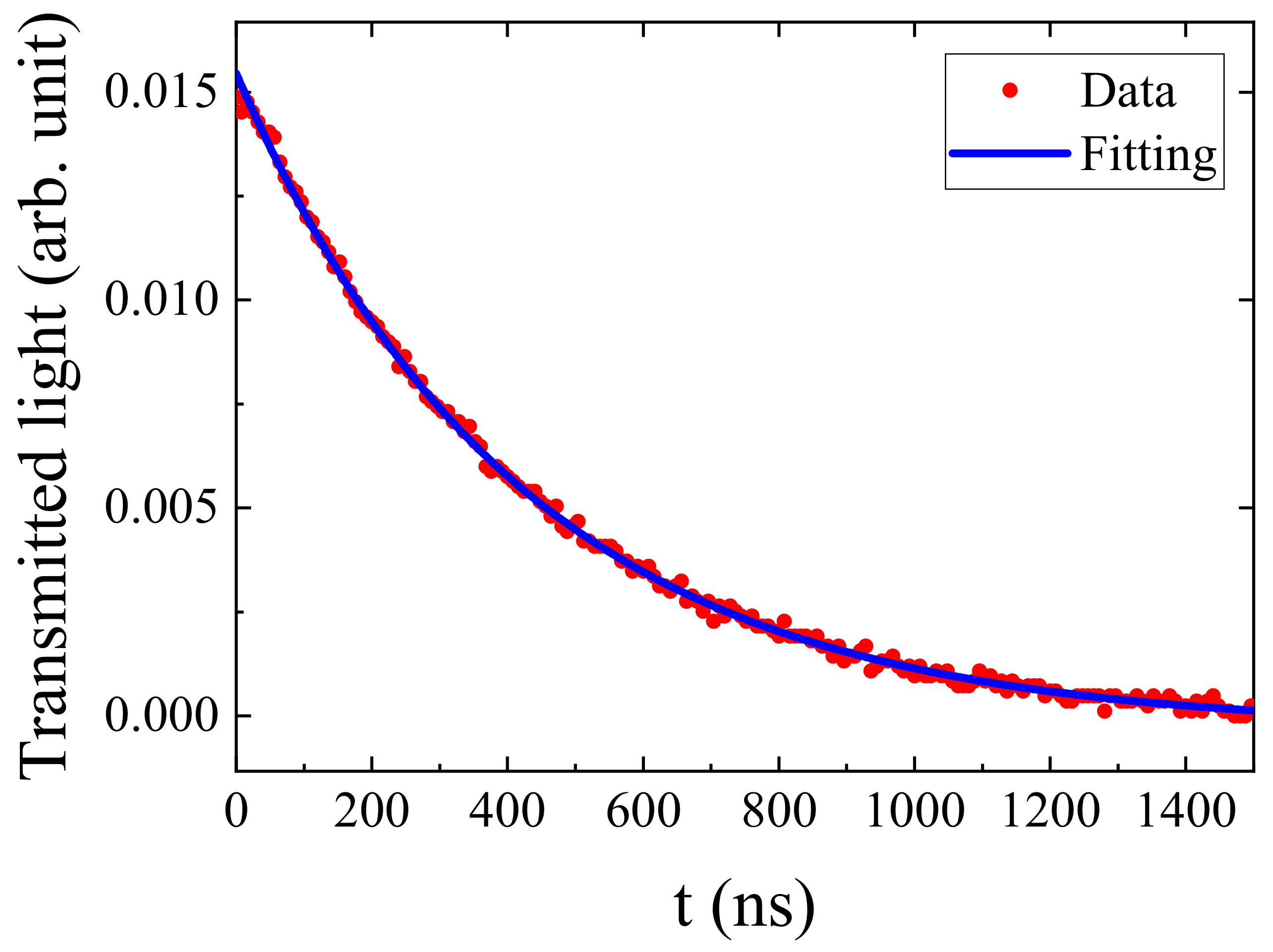
5. Experimental Results
6. Conclusions
Author Contributions
Funding
Conflicts of Interest
Abbreviations
| FP | Fabry–Perot |
| SPDC | spontaneous parametric down-conversion |
| BBO | Beta-Barium Borate |
| KDP | Potassium Dihydrogen Phosphate |
| OPO | optical parametric oscillator |
| PDH | Pound-Drever-Hall |
| EOM | electro-optic phase modulator |
| EIT | electromagnetically induced transparency |
| QWP | quarter-wave plate |
| PBS | polarization beam splitter |
References
- Seri, A.; Lenhard, A.; Rielnder, D.; Gndoan, M.; Ledingham, P.M.; Mazzera, M.; de Riedmatten, H. Quantum correlations between single telecom photons and a multimode on-demand solid-state quantum memory. Phys. Rev. X 2017, 7, 021028. [Google Scholar]
- Ou, Z.Y.; Lu, Y.J. Cavity enhanced spontaneous parametric down-conversion for the prolongation of correlation time between conjugate photons. Phys. Rev. Lett. 1999, 83, 2556–2559. [Google Scholar]
- Lu, Y.J.; Ou, Z.Y. Optical parametric oscillator far below threshold: Experiment versus theory. Phys. Rev. A 2000, 62, 033804. [Google Scholar]
- Bao, X.H.; Qian, Y.; Yang, J.; Zhang, H.; Chen, Z.; Yang, T.; Pan, J. Generation of narrow-band polarization-entangled photon pairs for atomic quantum memories. Phys. Rev. Lett. 2008, 101, 190501. [Google Scholar]
- Zavatta, A.; Parigi, V.; Bellini, M. Toward quantum frequency combs: Boosting the generation of highly nonclassical light states by cavity-enhanced parametric down-conversion at high repetition rates. Phys. Rev. A 2008, 78, 033809. [Google Scholar]
- Krischek, R.; Wieczorek, W.; Ozawa, A.; Kiesel, N.; Michelberger, P.; Udem, T.; Weinfurter, H. Ultraviolet enhancement cavity for ultrafast nonlinear optics and high-rate multiphoton entanglement experiments. Nat. Photonics 2010, 4, 170–173. [Google Scholar]
- Fekete, J.; Rielander, D.; Cristiani, M.; de Riedmatten, H. Ultranarrow-band photon-pair source compatible with solid state quantum memories and telecommunication networks. Phys. Rev. Lett. 2013, 110, 220502. [Google Scholar]
- Tian, L.; Li, S.; Yuan, H.; Wang, H. Generation of narrow-band polarization-entangled photon pairs at a rubidium d1 line. J. Phys. Soc. Jpn. 2016, 85, 124403. [Google Scholar]
- Wolfgramm, F.; de Icaza Astiz, Y.; Beduini, F.; Cere, A.; Mitchell, M. Atom-resonant heralded single photons by interaction-free measurement. Phys. Rev. Lett. 2011, 106, 053602. [Google Scholar]
- Rambach, M.; Nikolova, A.; Weinhold, T.; White, A. Sub-megahertz linewidth single photon source. APL Photon. 2016, 1, 096101. [Google Scholar]
- Wang, F.-Y.; Shi, B.-S.; Zhai, C.; Guo, G.-C. Experimental measuring of the coherence length of a single photon generated via a degenerated optical parametric oscillator far below threshold. J. Mod. Opt. 2010, 57, 330–333. [Google Scholar]
- Oberparleiter, M.; Weinfurter, H. Cavity-enhanced generation of polarization-entangled photon pairs. Opt. Commun. 2000, 183, 133–137. [Google Scholar]
- Tanzilli, S.; De Riedmatten, H.; Tittel, W.; Zbinden, H.; Baldi, P.; De Micheli, M.; Ostrowsky, D.; Gisin, N. Highly efficient photon-pair source using periodically poled lithium niobate waveguide. Electron. Lett. 2001, 37, 26–28. [Google Scholar]
- Scholz, M.; Koch, L.; Benson, O. Statistics of narrow-band single photons for quantum memories generated by ultrabright cavity-enhanced parametric down-conversion. Phys. Rev. Lett. 2009, 102, 063603. [Google Scholar]
- Haase, A.; Piro, N.; Eschner, J.; Mitchell, M. Tunable narrowband entangled photon pair source for resonant single-photon single-atom interaction. Opt. Lett. 2009, 34, 55–57. [Google Scholar]
- Zhang, H.; Jin, X.-M.; Yang, J.; Dai, H.-N.; Yang, S.-J.; Zhao, T.-M.; Rui, J.; He, Y.; Jiang, X.; Yang, F.; et al. Preparation and storage of frequency-uncorrelated entangled photons from cavity-enhanced spontaneous parametric downconversion. Nat. Photonics 2011, 5, 628–632. [Google Scholar]
- Wang, H.; Dovale-Alvarez, M.; Collins, C.; Brown, D.; Wang, M.; Mow-Lowry, C.; Han, S.; Freise, A. Feasibility of near-unstable cavities for future gravitational wave detectors. Phys. Rev. D 2018, 97, 022001. [Google Scholar]
- Tu, Y.; Zhang, G.; Zhai, Z.; Xu, J. Angular multiplexing storage of light pulses and addressable optical buffer memory in Pr3+:Y2SiO5 based on electromagnetically induced transparency. Phys. Rev. A 2009, 80, 033816. [Google Scholar]
- Fleischhauer, M.; Imamoglu, A.; Marangos, J. Electromagnetically induced transparency: Optics in coherent media. Rev. Mod. Phys. 2005, 77, 633–673. [Google Scholar]
- Kogelnik, H.; Li, T. Laser beams and resonators. Proc. IEEE 1966, 54, 1312–1329. [Google Scholar]
- Hamilton, M.W. An introduction to stabilized lasers. Contemp. Phys. 1989, 30, 21–33. [Google Scholar]
- Drever, R.; Hall, J.; Kowalski, F.; Hough, J.; Ford, G.; Munley, A.; Ward, H. Laser phase and frequency stabilization using an optical resonator. Appl. Phys. B 1983, 31, 97–105. [Google Scholar]
- Black, E. An introduction to pound drever hall laser frequency stabilization. Am. J. Phys. 2001, 69, 79–87. [Google Scholar]
- Hansch, T.; Couillaud, B. Laser frequency stabilization by polarization spectroscopy of a reflecting reference cavity. Opt. Commun. 1980, 35, 441–444. [Google Scholar]
- You, Y.; Chiche, R.; Yan, L.; Huang, W.; Tang, C.; Zomer, F. High finesse pulsed optical cavity locking by tilt-locking technique. Rev. Sci. Instrum. 2014, 85, 033102. [Google Scholar]
- Slagmolen, B.; Shaddock, D.; Gray, M.; McClelland, D. Frequency stability of spatial mode interference (tilt) locking. IEEE J. Quantum Electron. 2002, 38, 1521–1528. [Google Scholar]
- Bond, C.; Fulda, P.; Carbone, L.; Kokeyama, K.; Freise, A. Higher order laguerre-gauss mode degeneracy in realistic, high-finesse cavities. Phys. Rev. D 2011, 84, 102002. [Google Scholar]
- Carbone, L.; Bogan, C.; Fulda, P.; Freise, A.; Willke, B. Generation of high-purity higher-order laguerre-gauss beams at high laser power. Phys. Rev. Lett. 2013, 110, 251101. [Google Scholar]
- Chelkowski, S.; Hild, S.; Freise, A. Prospects of higher-order laguerre-gauss modes in future gravitational wave detectors. Phys. Rev. D 2009, 79, 122002. [Google Scholar]
- Fulda, P.; Kokeyama, K.; Chelkowski, S.; Freise, A. Experimental demonstration of higher-order laguerre-gauss mode interferometry. Phys. Rev. D 2010, 82, 012002. [Google Scholar]
- Anderson, D.; Frisch, J.; Masser, C. Mirror reflectometer based on optical cavity decay time. Appl. Opt. 1984, 23, 1238–1245. [Google Scholar]
- Paldus, B.; Harb, C.; Spence, T.; Wilke, B.; Xie, J.; Harris, J.; Zare, R. Cavity-locked ring-down spectroscopy. J. Appl. Phys. 1998, 83, 3991–3997. [Google Scholar]
- Poirson, J.; Bretenaker, F.; Vallet, M.; le Floch, A. Analytical and experimental study of ringing effects in a Fabry–Perot cavity. Application to the measurement of high-finesses. JOSA B 1997, 14, 2811–2817. [Google Scholar]
- Rohde, H.; Eschner, J.; Schmidt-Kaler, F.; Blatt, R. Optical decay from a Fabry–Perot cavity faster than the decay time. JOSA B 2002, 19, 1425–1429. [Google Scholar]








© 2019 by the authors. Licensee MDPI, Basel, Switzerland. This article is an open access article distributed under the terms and conditions of the Creative Commons Attribution (CC BY) license (http://creativecommons.org/licenses/by/4.0/).
Share and Cite
Liu, J.; Liu, J.; Li, Z.; Yu, P.; Zhang, G. Stabilization of Transverse Modes for a High Finesse Near-Unstable Cavity. Appl. Sci. 2019, 9, 4580. https://doi.org/10.3390/app9214580
Liu J, Liu J, Li Z, Yu P, Zhang G. Stabilization of Transverse Modes for a High Finesse Near-Unstable Cavity. Applied Sciences. 2019; 9(21):4580. https://doi.org/10.3390/app9214580
Chicago/Turabian StyleLiu, Jianji, Jiachen Liu, Zhixiang Li, Ping Yu, and Guoquan Zhang. 2019. "Stabilization of Transverse Modes for a High Finesse Near-Unstable Cavity" Applied Sciences 9, no. 21: 4580. https://doi.org/10.3390/app9214580
APA StyleLiu, J., Liu, J., Li, Z., Yu, P., & Zhang, G. (2019). Stabilization of Transverse Modes for a High Finesse Near-Unstable Cavity. Applied Sciences, 9(21), 4580. https://doi.org/10.3390/app9214580

