Electron Scattering Cross-Section Calculations for Atomic and Molecular Iodine
Abstract
:1. Introduction
2. Theoretical Method
2.1. Breit-Pauli B-spline R-matrix (BPBSR)
2.2. Molecular R-matrix Method
2.3. Local Complex Potential Approximation
3. Results
3.1. Atomic Iodine
3.2. Molecular Iodine
3.2.1. Dissociative Electron Attachment
3.2.2. Vibrational Excitation
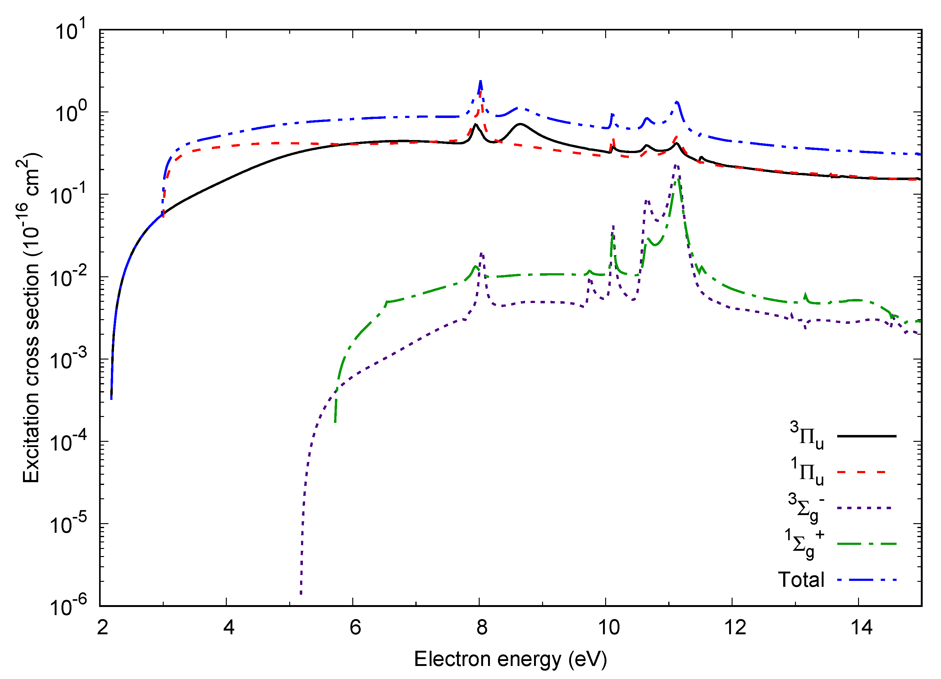
3.2.3. Electron-Impact Excitation
3.2.4. Ionization
3.2.5. Elastic Scattering
4. Conclusions and Outlook
Author Contributions
Funding
Informed Consent Statement
Data Availability Statement
Acknowledgments
Conflicts of Interest
Abbreviations
| BEB | Binar Encounter Bethe |
| BPBSR | Breit-Pauli B-Spline R-matrix |
| CASSCF | Complete Active Space Self-Consistent Field |
| DEA | Dissociative Electron Attachment |
| ECP | Effective core potential |
| EP | Electric Propulsion |
| LCP | Local Complex Potential |
| QEC | Quantemol Electron Collisions |
| QN | Quantemol-N |
| VE | Vibrational Excitation |
References
- Choueiri, E. Plasma Propulsion-McGraw-Hill Encyclopedia of Science and Technology; McGraw-Hill: New York, NY, USA, 2007. [Google Scholar]
- Goebel, D.M.; Katz, I. Fundamentals of Electric Propulsion: Ion and Hall Thrusters; JPL: Pasadena, CA, USA, 2008. [Google Scholar]
- Kieckhafer, A.; King, L.B. Energetics of Propellant Options for High-Power Hall Thrusters. J. Propuls. Power 2007, 23, 21. [Google Scholar] [CrossRef]
- Dressler, R.A.; Chiu, Y.H.; Levandier, D. Propellant alternatives for ion and Hall effect thrusters. In Proceedings of the 38th Aerospace Sciences Meeting and Exhibit, Reno, NV, USA, 10–13 January 2000. [Google Scholar]
- Smith, T.D.; Kamhawi, H.; Hickman, T.; Haag, T.; Dankanich, J.; Polzin, K.; Byrne, L.; Szabo, J. Overview of NASA Iodine Hall Thruster Propulsion System Development; Technical Report; NASA: Washington, DC, USA, 2016.
- Kaganovich, I.D.; Smolyakov, A.; Raitses, Y.; Ahedo, E.; Mikellides, I.G.; Jorns, B.; Taccogna, F.; Gueroult, R.; Tsikata, S.; Bourdon, A.; et al. Physics of E × B discharges relevant to plasma propulsion and similar technologies. Phys. Plasmas 2020, 27, 120601. [Google Scholar] [CrossRef]
- Bartschat, K.; Fischer, C.F.; Grum-Grzhimailo, A.N. A Tribute to Oleg Zatsarinny (1953–2021): His Life in Science. Atoms 2021, 9, 53. [Google Scholar] [CrossRef]
- Carr, J.M.; Galiatsatos, P.G.; Gorfinkiel, J.D.; Harvey, A.G.; Lysaght, M.A.; Madden, D.; Mašín, Z.; Plummer, M.; Tennyson, J.; Varambhia, H.N. UKRmol: A low-energy electron- and positron-molecule scattering suite. Eur. Phys. J. D 2012, 66, 58. [Google Scholar] [CrossRef]
- Mašín, Z.; Benda, J.; Gorfinkiel, J.D.; Harvey, A.G.; Tennyson, J. UKRmol+: A suite for modelling electronic processes in molecules interacting with electrons, positrons and photons using the R-matrix method. Comp. Sci. Commun. 2019, 249, 107092. [Google Scholar] [CrossRef] [Green Version]
- Tennyson, J.; Brown, D.B.; Munroy, J.J.; Rozum, I.; Varambhia, H.N.; Vinci, N. Quantemol-N: An expert system for performing electron molecule collision calculations using the R-matrix method. J. Phys. Conf. Ser. 2007, 86, 012001. [Google Scholar] [CrossRef]
- Cooper, B.; Tudorovskaya, M.; Mohr, S.; O’Hare, A.; Hanicinec, M.; Dzarasova, A.; Gorfinkiel, J.D.; Benda, J.; Mašín, Z.; Al-Refaie, A.F.; et al. Quantemol Electron Collisions (QEC): An Enhanced Expert System for Performing Electron Molecule Collision Calculations Using the R-Matrix Method. Atoms 2019, 7, 97. [Google Scholar] [CrossRef] [Green Version]
- Zatsarinny, O. BSR: B-spline atomic R-matrix codes. Comp. Phys. Commun. 2006, 174, 273. [Google Scholar] [CrossRef]
- NIST Chemistry WebBook. Available online: https://webbook.nist.gov/chemistry/ (accessed on 21 September 2021).
- Tennyson, J. Electron–molecule collision calculations using the R-matrix method. Phys. Rep. 2010, 491, 29. [Google Scholar] [CrossRef]
- Werner, H.J.; Knowles, P.J.; Knizia, G.; Manby, F.R.; Schütz, M. Molpro: A general-purpose quantum chemistry program package. Rev. Comp. Mol. Sci. 2011, 2, 242. [Google Scholar] [CrossRef]
- Schuchardt, K.L.; Didier, B.T.; Elsethagen, T.; Sun, L.; Gurumoorthi, V.; Chase, J.; Li, J.; Windus, T.L. Basis Set Exchange: A Community Database for Computational Sciences. J. Chem. Inf. Model. 2007, 47, 1045. [Google Scholar] [CrossRef] [Green Version]
- Glukhovtsev, M.N.; Pross, A.; McGrath, M.P.; Radom, L. Extension of Gaussian-2 (G2) theory to bromine- and iodine-containing molecules: Use of effective core potentials. J. Chem. Phys. 1995, 103, 1878. [Google Scholar] [CrossRef]
- Bardsley, J.N.; Mandle, F. Resonant scattering of electrons by molecules. Rep. Prog. Phys. 1968, 31, 471. [Google Scholar] [CrossRef]
- Domcke, W. Theory of resonance and threshold effects in electron-molecule collisions: The projection-operator approach. Phys. Rep. 1991, 208, 97. [Google Scholar] [CrossRef]
- Bardsley, J.N. Configuration interaction in the continuum states of molecules. J. Phys. B At. Mol. Phys. 1968, 1, 349. [Google Scholar] [CrossRef]
- Bardsley, J.N. Molecular resonance phenomena. In Electron-Molecule and Photon-Molecule Collisions; Rescigno, T., McKoy, V., Schneider, B., Eds.; Plenum: New York, NY, USA, 1979. [Google Scholar]
- Wigner, E.P. On the Behavior of Cross Sections Near Thresholds. Phys. Rev. 1948, 73, 1002. [Google Scholar] [CrossRef]
- Fabrikant, I.I.; Hotop, H. Low-energy behavior of exothermic dissociative electron attachment. Phys. Rev. A 2001, 63, 022706. [Google Scholar] [CrossRef]
- Zatsarinny, O.; Bartschat, K. Relativistic B-spline R-matrix method for electron collisions with atoms and ions: Application to low-energy electron scattering from Cs. Phys. Rev. A 2008, 77, 062701. [Google Scholar] [CrossRef]
- Zatsarinny, O.; Bartschat, K.; Garcia, G.; Blanco, F.; Hargreaves, L.R.; Jones, D.B.; Murrie, R.; Brunton, J.R.; Brunger, M.J.; Hoshino, M.; et al. Electron-collision cross sections for iodine. Phys. Rev. A 2011, 83, 042702. [Google Scholar] [CrossRef] [Green Version]
- Computational Chemistry Comparison and Benchmark Database. Available online: https://cccbdb.nist.gov/ (accessed on 21 September 2021).
- Tennyson, J.; Noble, C.J. RESON—A program for the detection and fitting of Breit-Wigner resonances. Comp. Phys. Commun. 1984, 33, 421. [Google Scholar] [CrossRef]
- Buchdal, R.J. Negative Ion Formation in Iodine Vapor by Electron Impacts. J. Chem. Phys. 1941, 9, 146. [Google Scholar] [CrossRef]
- Healy, R.H. The behaviour of electrons in iodine vapour. Philos. Mag. J. Sci. 1938, 26, 940. [Google Scholar] [CrossRef]
- Munro, J.J.; Harrison, S.; Fujimoto, M.M.; Tennyson, J. A dissociative electron attachment cross-section estimator. Phys. Conf. Ser. 2012, 388, 012013. [Google Scholar] [CrossRef]
- Mulliken, R.S. Iodine Revisited. J. Chem. Phys. 1971, 55, 288. [Google Scholar] [CrossRef]
- Kim, Y.K.; Rudd, M.E. Binary-encounter-dipole model for electron-impact ionization. Phys. Rev. A 1994, 50, 3954. [Google Scholar] [CrossRef] [PubMed] [Green Version]
- Graves, V.; Cooper, B.; Tennyson, J. The efficient calculation of electron impact ionization cross sections with effective core potentials. J. Chem. Phys. 2021, 154, 114104. [Google Scholar] [CrossRef] [PubMed]
- Yadav, H.; Vinodhkumar, M.; Limbachiya, C.; Vinodhkumar, P.C.; Mason, N.J. Low energy electron interactions with Iodine molecule (I2). J. Quant. Spectrosc. Radiat. Transf. 2020, 250, 107035. [Google Scholar] [CrossRef]
- Tam, W.C.; Wong, S.F. Dissociative attachment of halogen molecules by 0–8 eV electrons. J. Chem. Phys. 1978, 68, 5626. [Google Scholar] [CrossRef]
- Fabrikant, I.I.; Eden, S.; Mason, N.J.; Fedor, J. Recent Progress in Dissociative Electron Attachment: From Diatomics to Biomolecules. Adv. At. Mol. Opt. Phys. 2017, 66, 545. [Google Scholar]
- Ruf, M.W.; Barsotti, S.; Braun, M.; Hotop, H.; Fabrikant, I.I. Dissociative attachment and vibrational excitation in low-energy electron collisions with chlorine molecules. J. Phys. B At. Mol. Opt. Phys. 2003, 37, 41. [Google Scholar] [CrossRef]
- Braun, M.; Ruf, M.W.; Fabrikant, I.I.; Hotop, H. Observation of p-Wave Threshold Behavior in Electron Attachment to F2 Molecules. Phys. Rev. Lett. 2007, 99, 253202. [Google Scholar] [CrossRef] [PubMed]
- Kurepa, M.V.; Babic, D.S.; Belic, D.S. Electron-bromine-molecule total ionisation and electron attachment cross sections. J. Phys. B. At. Mol. Phys. 1981, 14, 375. [Google Scholar] [CrossRef]









| I | Reaction |
|---|---|
| Elastic scattering | |
| Excitation | |
| Ionization | |
| I | Reaction |
| Elastic scattering | + I + I |
| Excitation | + I + I |
| Dissociative Electron attachment | + I → I() + I |
| Vibrational excitation | + I → + I |
| Ionization | + I → + I |
| Dissociative ionization | + I → + I + I |
| Configuration | BPBSR-29 | NIST [13] |
|---|---|---|
| 0.0000 | 0.0000 | |
| 0.9529 | 0.9426 | |
| 7.2015 | 6.7736 | |
| 7.3939 | 6.9546 | |
| 7.9452 | 7.6646 | |
| 8.0447 | 7.8341 | |
| 8.1850 | 8.0473 | |
| 8.1898 | 7.5501 | |
| 8.2217 | 8.0577 | |
| 8.3228 | 8.1420 |
| Property | Present Value | Value in [26] |
|---|---|---|
| Ground state energy (Hartree) | −13,833.5045 | −13,834.05986 |
| Bond length (Å) | 2.8102 | 2.6655 |
| Vibrational frequency (cm) | 207.71 | 214.502 |
| Symmetry | D | D |
| State | Energy | Ref. [31] |
|---|---|---|
| 2.18 | 2.37 | |
| 3.00 | 2.38 | |
| 5.18 | 3.9 | |
| 5.7 | − |
Publisher’s Note: MDPI stays neutral with regard to jurisdictional claims in published maps and institutional affiliations. |
© 2021 by the authors. Licensee MDPI, Basel, Switzerland. This article is an open access article distributed under the terms and conditions of the Creative Commons Attribution (CC BY) license (https://creativecommons.org/licenses/by/4.0/).
Share and Cite
Ambalampitiya, H.B.; Hamilton, K.R.; Zatsarinny, O.; Bartschat, K.; Turner, M.A.P.; Dzarasova, A.; Tennyson, J. Electron Scattering Cross-Section Calculations for Atomic and Molecular Iodine. Atoms 2021, 9, 103. https://doi.org/10.3390/atoms9040103
Ambalampitiya HB, Hamilton KR, Zatsarinny O, Bartschat K, Turner MAP, Dzarasova A, Tennyson J. Electron Scattering Cross-Section Calculations for Atomic and Molecular Iodine. Atoms. 2021; 9(4):103. https://doi.org/10.3390/atoms9040103
Chicago/Turabian StyleAmbalampitiya, Harindranath B., Kathryn R. Hamilton, Oleg Zatsarinny, Klaus Bartschat, Matt A. P. Turner, Anna Dzarasova, and Jonathan Tennyson. 2021. "Electron Scattering Cross-Section Calculations for Atomic and Molecular Iodine" Atoms 9, no. 4: 103. https://doi.org/10.3390/atoms9040103
APA StyleAmbalampitiya, H. B., Hamilton, K. R., Zatsarinny, O., Bartschat, K., Turner, M. A. P., Dzarasova, A., & Tennyson, J. (2021). Electron Scattering Cross-Section Calculations for Atomic and Molecular Iodine. Atoms, 9(4), 103. https://doi.org/10.3390/atoms9040103

