Solitonic Analysis of the Newly Introduced Three-Dimensional Nonlinear Dynamical Equations in Fluid Mediums
Abstract
1. Introduction
2. Governing Newly Extended Nonlinear Equations
2.1. Newly Extended Kairat Equations
- (i).
- Extended Kairat-II equation
- (ii).
- Extended Kairat-X equationwhere in the above equations are the wave fields, with , and for as non-zero constants. Notably, the above extended Kairat equations differ in the first and the fifth terms, in addition to the difference in the constant coefficients in the third and fourth terms. In fact, the second-order temporal derivative in (2) together with the second-order spatial derivative in (1) are what sets the two models apart, thereby behaving differently and modeling different processes.
2.2. Newly Extended Boussinesq Type Equation
2.3. Newly Extended Generalized KdV Equation
3. Analytical Methods Considered
- 1.
- Modified Kudryashov method [8]The solution of (7) via the use of the modified Kudryashov method is sought in the following predicted solution formwhere n is a natural number to be determined later on, for are arbitrary constants (not all equal to zero) to be computationally determined as well. In addition, the function satisfies the following ODEupon which the latter ODE admits the following exact solutionwhere is a non-zero arbitrary constant, known as the Kudryashov index, while is a non-zero constant.
- 2.
- With the consideration of the modified extended tanh method, it is presumed that (7) admits a solution of the following formwhere n is a natural number, while and for are arbitrary constants (not all equal to zero) to be determined later. Further, the function in the latter equation satisfies an ODE, having the following expressionIn addition, Equation (13) admits the following solutions when the sign is consideredand the following solutions when the sign in (13) is consideredwhere is a non-zero arbitrary constant. Moreover, when nonlinear evolution equations admit and as solutions, these solutions are generally referred to as dark and singular solitons, respectively. In addition, in a situation where a combination of the and function happens, such solution is called the dark–singular combined soliton solution. Moreover, the concept of solitonic solutions is well explored when complex-valued nonlinear evolution (Schrodinger) equations are considered; see [9,18] and the references therewith. In addition, the solutions appearing in (14) are called periodic solutions. Thus, this study is limited to the consideration of the hyperbolic solutions only, in favor of their vast applications in nonlinear media.
4. Solitonic Analysis
4.1. Newly Extended Kairat Equations
- (i).
- Extended Kairat-II equationThus, with the utilization of the wave transformation earlier given in (6) in the governing Kairat-II equation expressed in (1), one obtains the following nonlinear ODEupon which the above equation is balanced to explicitly give the value of n as followsModified Kudryashov methodTherefore, with the determination of above, the assumed solution from (8) via the use of the modified Kudryashov method takes the following solution formwhere and are constants to be determined. Certainly, upon substituting the later predicted equation into (17), one obtains the over-determined system of algebraic equations after setting the coefficients of for to zero as followsHence, on solving the resulting algebraic system expressed in (20), one obtains the following solution sets:Set 1.which yields the following exact solutionwhere the constraint condition is such that Moreover, upon unbundling the constraint condition, one obtains the corresponding solution put forward by the classical Kudryashov method.Set 2.which yields the following exact solutionwhere the constraint condition is such that and Consequently, the above solution sets via the application of the classical Kudryashov method are then reduced to yield particular solution cases when In this regard, the acquired solutions using the modified Kudryashov method are more general, with the solutions put forward by the classical Kudryashov method only as particular cases. In fact, the classical Kudryashov method, upon replacing with in the above solution, yields the following particular solutionsandwith the condition that Moreover, “it is pertinent to mention the strong relationship, or rather similarity, between the classical Kudryashov method [7] and the tanh-coth method [15,16], which is an important analytical method primarily used to construct various periodic and dark solitonic solutions. In fact, these two methods work hand-in-hand when manipulating the constant coefficients of the associated Riccati equation. Certainly, we refer interested reader(s) to the work of Kudryashov and Shilnikov [29] that deeply analyzed all the possibilities of the involving Riccati equation to divulge various exact analytical solutions”; see Althobaiti [30].Modified extended tanh methodAccordingly, with the determination of above, the assumed solution from (12) via the use of the modified extended tanh method takes the following solution formwhere and are constants to be determined after obtaining the over-determined system of algebraic equations under the adopted method. In this regard, the resulting algebraic equations yield the following solution sets:Set 1.Set 2.Set 3.In addition, the above three solution sets yield the following classes of hyperbolic solitonic solutions from sets 1 and 2wherewhile set 3 gives the following solutionswhere
- (ii).
- Extended Kairat-X equationEqually, with the utilization of the wave transformation in (6) in Kairat-X Equation (2), one obtains the following nonlinear ODEwhere n is equally found to be as in the previous model.Modified Kudryashov methodTherefore, with the modified Kudryashov method gives the following solution formwhere and are constants, which further reveals the following algebraic equationswhich, when solved, yields the following solution setwhich subsequently yields the following exact solutionswhen Accordingly, the above solution set upon considering the classical Kudryashov method is reduced to yield a particular solution case when and further replacing with as followswhere the existence of valid solution requires thatModified extended tanh methodAccordingly, with the determination of above, the assumed solution from (12) via the use of the modified extended tanh method takes the following solution formwhere and are constants to be determined after obtaining the over-determined system of algebraic equations under the adopted method. In this regard, the resulting algebraic equations yield the following solution sets:Set 1.Set 2.Set 3.Additionally, the three solution sets above yield the following hyperbolic solitonic solutions:whereandwhere
4.2. Newly Extended Boussinesq Type Equation
4.3. Newly Extended Generalized KdV Equation
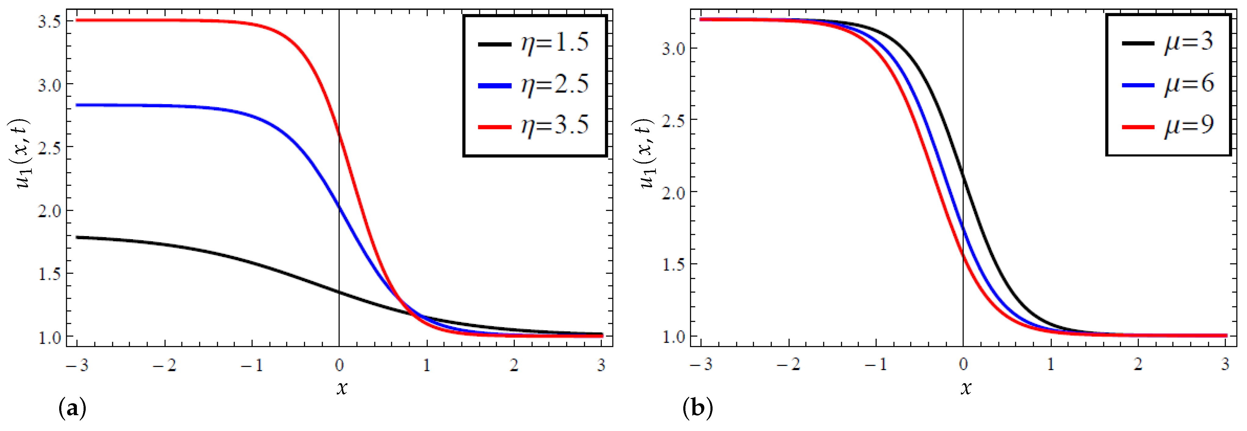
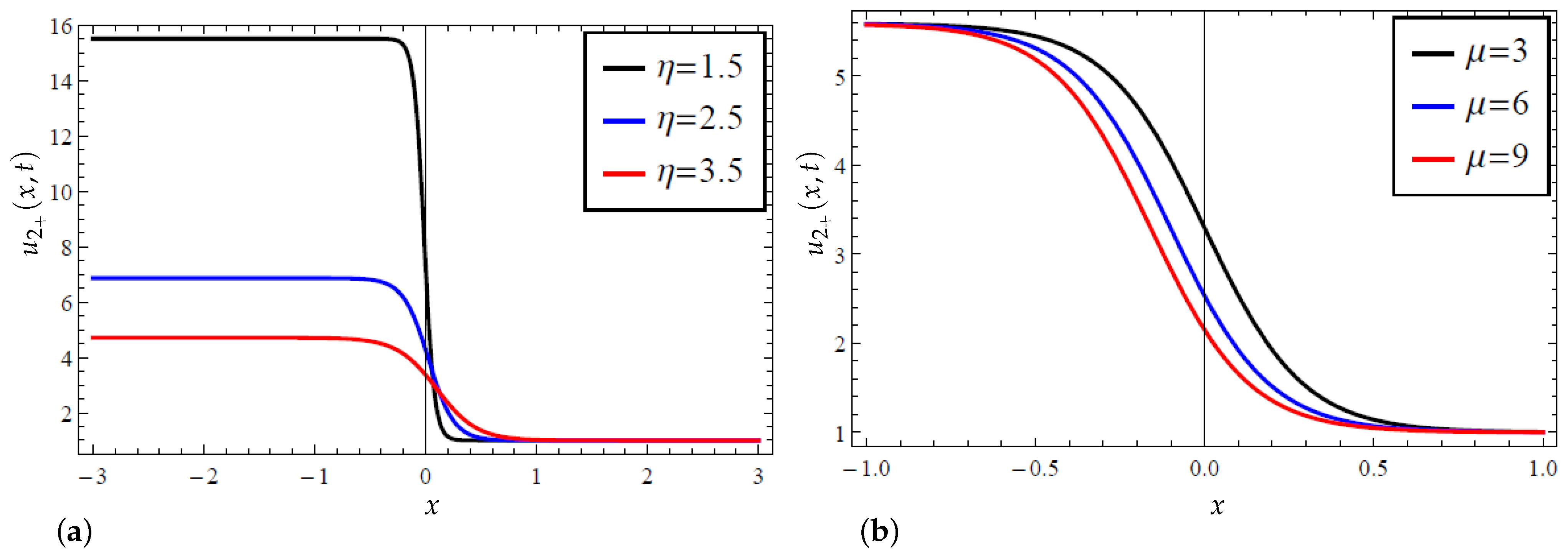
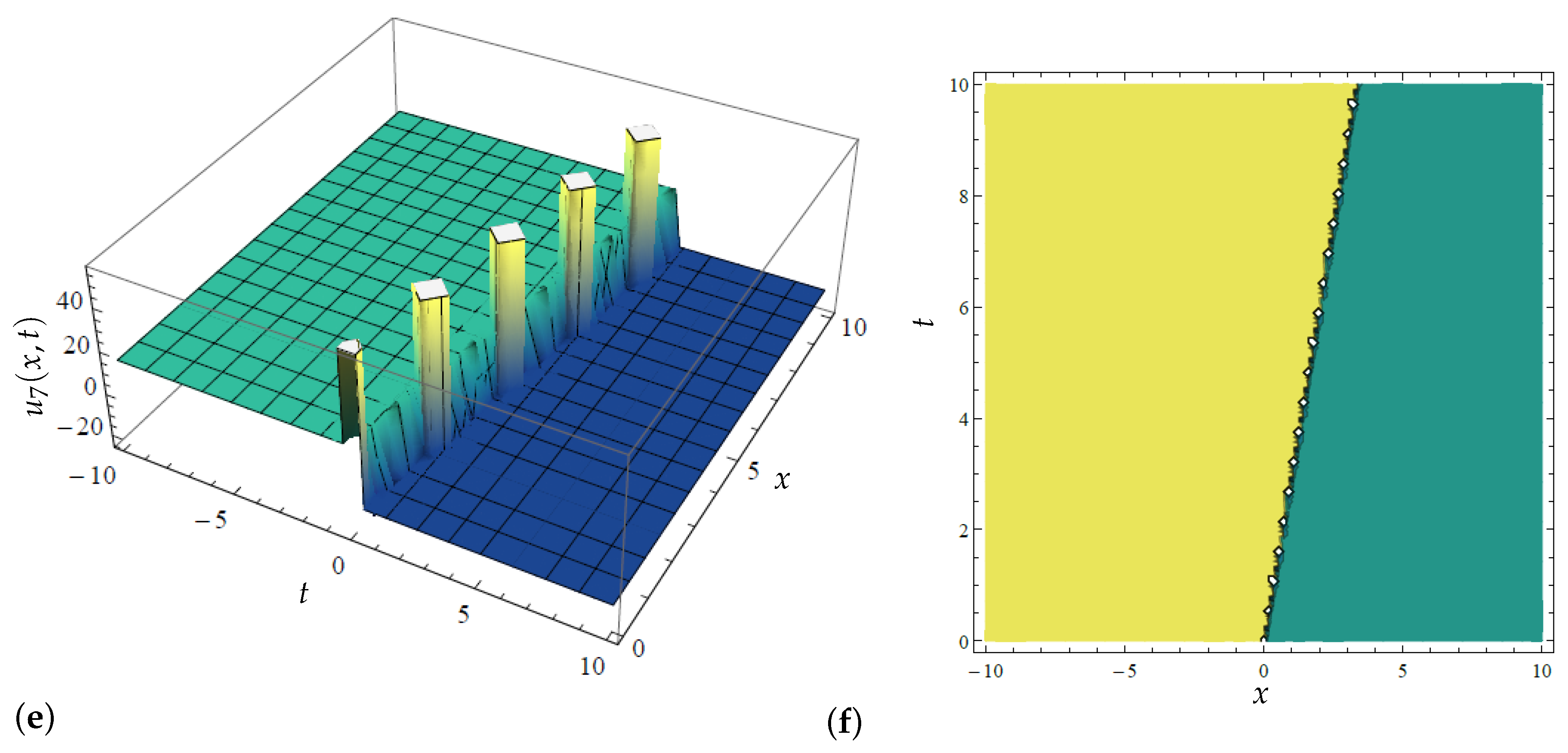
5. Graphical Illustrations and Analysis
6. Conclusions
Author Contributions
Data Availability Statement
Acknowledgments
Conflicts of Interest
References
- Althobaiti, S.; Nuruddeen, R.I.; Magaji, A.Y.; Gomez-Aguilar, J.F. New revelations and extensional study on the recent sixth-order 3D Kadomtsev-Petviashvili-Sawada-Kotera-Ramani equation. Opt. Quantum Electron. 2024, 56, 820. [Google Scholar] [CrossRef]
- Yue, J.; Zhao, Z.; Wazwaz, A.M. Solitons, nonlinear wave transitions and characteristics of quasi-periodic waves for a (3 + 1)-dimensional generalized Calogero-Bogoyavlenskii-Schiff equation in fluid mechanics and plasma physics. Chin. J. Phys. 2024, 89, 896–929. [Google Scholar] [CrossRef]
- Shen, Y.; Tian, B.; Gao, X.T. Bilinear auto-Backlund transformation, soliton and periodic-wave solutions for a (2 + 1)-dimensional generalized Kadomtsev-Petviashvili system in fluid mechanics and plasma physics. Chin. J. Phys. 2022, 77, 2698–2706. [Google Scholar] [CrossRef]
- Boussinesq, J. Theorie de I’intumescence liquide, applelee onde solitaire ou de translation, se propageant dans un canal rectangulaire. CR Acad. Sci. 1871, 72, 755–759. [Google Scholar]
- Bakodah, H.O. Modified Adomain decomposition method for the generalized fifth order KdV equations. Am. J. Comput. Math. 2013, 3, 53–58. [Google Scholar] [CrossRef]
- Russell, J.S. Report on Waves: Made to the Meetings of the British Association in 1842-43; Harvard University: Cambridge, MA, USA, 1845. [Google Scholar]
- Kudryashov, N.A. One method for finnding exact solutions of nonlinear differential equations. Commun. Nonlinear Sci. Numer. Simul. 2012, 17, 2248–2253. [Google Scholar] [CrossRef]
- Althrwi, F.A.; Alshaery, A.A.; Bakodah, H.O.; Nuruddeen, R.I. Supplementary optical solitonic expressions for Gerdjikov-Ivanov equations with three Kudryashov-based methods. Comm. Theor Phys. 2024. [Google Scholar] [CrossRef]
- Elsherbeny, A.M.; Arnous, A.H.; Biswas, A.; González-Gaxiola, O.; Moraru, L.; Moldovanu, S.; Iticescu, C.; Alshehri, H.M. Highly dispersive optical solitons with four forms of self-phase modulation. Universe 2023, 9, 51. [Google Scholar] [CrossRef]
- Yomba, E. A generalized auxiliary equation method and its application to nonlinear Klein-Gordon and generalized nonlinear Camassa-Holm equations. Phys. Lett. A 2008, 372, 1048–1060. [Google Scholar] [CrossRef]
- Hosseini, K.; Bekir, A.; Ansari, R. Exact solutions of nonlinear conformable time-fractional Boussinesq equations using the exp(-θ(ξ))-expansion method. Opt Quantum Electron. 2017, 49, 131. [Google Scholar] [CrossRef]
- Bokhari, A.H.; Kara, A.H.; Zaman, F.D. Exact solutions of some general nonlinear wave equations in elasticity. Nonlinear Dyn. 2007, 48, 49–54. [Google Scholar] [CrossRef]
- Bulut, H.; Sulaiman, T.A.; Demirdag, B. Dynamics of soliton solutions in the chiral nonlinear Schrodinger equations. Nonlinear Dyn. 2018, 1, 1985–1991. [Google Scholar] [CrossRef]
- Mubaraki, A.M.; Kim, H.; Nuruddeen, R.I.; Akram, U.; Akbar, Y. Wave solutions and numerical validation for the coupled reaction-advection-diffusion dynamical model in a porous medium. Commun. Theor. Phys. 2022, 74, 125002. [Google Scholar] [CrossRef]
- Raslan, K.R.; Khalid, K.A.; Shallal, M.A. The modified extended tanh method with the riccati equation for solving the space-time fractional EW and MEW equations. Chaos Solitons Fractals 2017, 103, 404–409. [Google Scholar] [CrossRef]
- Park, C.; Nuruddeen, R.I.; Ali, K.K.; Muhammad, L.; Osman, M.S.; Baleanu, D. Novel hyperbolic and exponential ansatz methods to the fractional fifth-order Korteweg-de Vries equations. Adv. Diff. Equ. 2020, 627, 1–12. [Google Scholar] [CrossRef]
- AlQarni, A.A.; Badaqah, A.M.; Mohammed, A.S.H.F.; Alshaery, A.A.; Bakodah, H.O.; Biswas, A. Cubic-quartic optical solitons for Lakshmanan-Porsezian-Daniel equation by the improved Adomian decomposition scheme. Ukr. J. Phys. Opt. 2022, 8, 2117–2136. [Google Scholar]
- Alzahrani, A.K. Cubic-quartic optical soliton perturbation with Lakshmanan–Porsezian–Daniel model by semi-inverse variational principle. Ukr. J. Phys. Opt. 2021, 22, 123. [Google Scholar]
- Asma, M.; Othman, W.; Wong, B.; Biswas, A. Chirped optical Gausson perturbation with quadratic-cubic nonlinearity by collective variables. Opt. Quant. Electron. 2019, 51, 200. [Google Scholar] [CrossRef]
- Alqahtani, R.T.; Babatin, M.M.; Biswas, A. Bright optical solitons for Lakshmanan-Porsezian-Daniel model by semi-inverse variational principle. Optik 2018, 154, 109–114. [Google Scholar] [CrossRef]
- Salih, R.I.; Jawad, S.; Dehingia, K.; Das, A. The effect of a psychological scare on the dynamics of the tumor-immune interaction with optimal control strategy. Int. J. Optim. Control Theor. Appl. 2024, 14, 276–293. [Google Scholar] [CrossRef]
- Ahmed, M.; Jawad, S. The role of antibiotics and probiotics supplements on the stability of gut flora bacteria interactions. Commun. Math. Biol. Neurosci. 2023, 2023, 33. [Google Scholar] [CrossRef]
- Ali, A.; Jawad, S.; Ali, A.H.; Winter, M. Stability analysis for the phytoplankton-zooplankton model with depletion of dissolved oxygen and strong Allee effects. Results Eng. 2024, 22, 102190. [Google Scholar] [CrossRef]
- Wazwaz, A.M. Extended (3 + 1)-dimensional Kairat-II and Kairat-X equations: Painleve integrability, multiple soliton solutions, lump solutions, and breather wave solutions. Int. J. Numer. Meth. Heat Fluid Flow 2024, 34, 2177–2194. [Google Scholar] [CrossRef]
- Wazwaz, A.M.; Alhejaili, W.; El-Tantawy, S.A. On the Painleve integrability and nonlinear structures to a (3 + 1)-dimensional Boussinesq-type equation in fluid mediums: Lumps and multiple soliton/shock solutions. Phys. Fluids 2024, 36, 033116. [Google Scholar] [CrossRef]
- Ismaeel, S.M.E.; Wazwaz, A.M.; El-tantawy, S.A. New (3 + 1)-dimensional integrable generalized KdV equation: Painleve property, multiple soliton/shock solutions, and a class of lump solutions. Romanian Rep. Phys. 2024, 76, 102. [Google Scholar]
- Kumar, S.; Mohan, B. A study of multi-soliton solutions, breather, lumps, and their interactions for Kadomtsev-Petviashvili equation with variable time coefficient using Hirota method. Phys. Scr. 2021, 96, 125255. [Google Scholar] [CrossRef]
- Rehman, U.; Ahmed, S.; Mubaraki, A.M. Optical devices: Motion via breathers, rogue waves and rational solitons. Opt. Quantum Electr. 2024, 56, 851. [Google Scholar] [CrossRef]
- Kudryashov, N.A.; Shilnikov, K.E. A note on The tanh-coth method combined with the Riccati equation for solving nonlinear coupled equation in mathematical physics. J. King Saud Uni. Sci. 2012, 24, 379–381. [Google Scholar] [CrossRef]
- Althobaiti, A. Novel wave solutions for the sixth-order Boussinesq equation arising in nonlinear lattice dynamics. AIM Math. 2024; Under Review. [Google Scholar]
- Alsisi, A. Analytical and numerical solutions to the Klein-Gordon model with cubic nonlinearity. Alexandria Eng. J. 2024, 99, 31–37. [Google Scholar] [CrossRef]
- Alqudah, M.A.; Ashraf, R.; Rashid, S.; Singh, J.; Hammouch, Z.; Abdeljawad, T. Novel numerical investigations of fuzzy Cauchy reaction-diffusion models via generalized fuzzy fractional derivative operators. Fractal Fract. 2021, 5, 151. [Google Scholar] [CrossRef]
- Mohamed, K.; Alsisi, A. Numerical simulation of Suliciu relaxation model via an mR scheme. AIMS Math. 2024, 9, 6513–6527. [Google Scholar] [CrossRef]
- Biazar, J.; Aminikhah, H. Exact and numerical solutions for non-linear Burgers equation by VIM. Math. Comp. Model. 2009, 47, 1394–1400. [Google Scholar] [CrossRef]
- Afsar, H.; Alshamrani, G.; Aldandani, M.; Alam, M.M.; Aljohani, A.F. Dimensionless dynamics: Multipeak and envelope solitons in perturbed nonlinear Schrodinger equation with Kerr law nonlinearity. Phys. Fluids 2024, 36, 067126. [Google Scholar] [CrossRef]













Disclaimer/Publisher’s Note: The statements, opinions and data contained in all publications are solely those of the individual author(s) and contributor(s) and not of MDPI and/or the editor(s). MDPI and/or the editor(s) disclaim responsibility for any injury to people or property resulting from any ideas, methods, instructions or products referred to in the content. |
© 2024 by the authors. Licensee MDPI, Basel, Switzerland. This article is an open access article distributed under the terms and conditions of the Creative Commons Attribution (CC BY) license (https://creativecommons.org/licenses/by/4.0/).
Share and Cite
Alshehri, M.N.; Althobaiti, S.; Althobaiti, A.; Nuruddeen, R.I.; Sambo, H.S.; Aljohani, A.F. Solitonic Analysis of the Newly Introduced Three-Dimensional Nonlinear Dynamical Equations in Fluid Mediums. Mathematics 2024, 12, 3205. https://doi.org/10.3390/math12203205
Alshehri MN, Althobaiti S, Althobaiti A, Nuruddeen RI, Sambo HS, Aljohani AF. Solitonic Analysis of the Newly Introduced Three-Dimensional Nonlinear Dynamical Equations in Fluid Mediums. Mathematics. 2024; 12(20):3205. https://doi.org/10.3390/math12203205
Chicago/Turabian StyleAlshehri, Mohammed N., Saad Althobaiti, Ali Althobaiti, Rahmatullah Ibrahim Nuruddeen, Halliru S. Sambo, and Abdulrahman F. Aljohani. 2024. "Solitonic Analysis of the Newly Introduced Three-Dimensional Nonlinear Dynamical Equations in Fluid Mediums" Mathematics 12, no. 20: 3205. https://doi.org/10.3390/math12203205
APA StyleAlshehri, M. N., Althobaiti, S., Althobaiti, A., Nuruddeen, R. I., Sambo, H. S., & Aljohani, A. F. (2024). Solitonic Analysis of the Newly Introduced Three-Dimensional Nonlinear Dynamical Equations in Fluid Mediums. Mathematics, 12(20), 3205. https://doi.org/10.3390/math12203205

