Solution of Internal Forces in Statically Indeterminate Structures Under Localized Distributed Moments
Abstract
1. Introduction
2. Derivation of the Load Constant Formula for a Single Concentrated Moment
2.1. Beam Fixed at Both Ends
2.2. Beam Fixed at One End and Simply Supported at the Other
2.3. Beam Fixed at One End and Sliding at the Other
3. Derivation of the Load Constant Formula Under Localized Uniform Moments
3.1. Beam Fixed at Both Ends
3.2. Beam Fixed at One End and Simply Supported at the Other
3.3. Beam Fixed at One End and Sliding at the Other
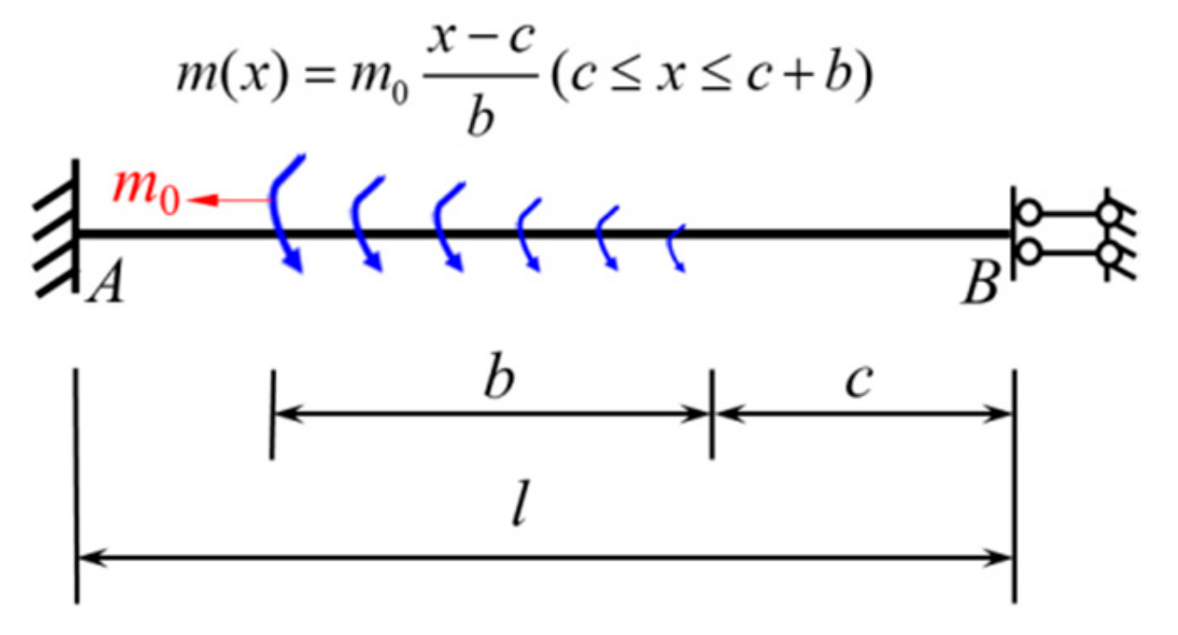
4. Derivation of Load Constant Formulas for Localized Linearly Distributed Moments
4.1. Beam Fixed at Both Ends
4.1.1. Case of Linearly Distributed Moments Increasing from Left to Right
4.1.2. Case of Linearly Distributed Moments Decreasing from Left to Right
4.2. Beam Fixed at One End and Simply Supported at the Other
4.2.1. Case of Linearly Distributed Moments Increasing from Left to Right
4.2.2. Case of Linearly Distributed Moments Decreasing from Left to Right
4.3. Beam Fixed at One End and Sliding at the Other
4.3.1. Case of Linearly Distributed Moments Increasing from Left to Right
4.3.2. Case of Linearly Distributed Moments Decreasing from Left to Right
5. Derivation of Load Constant Formula Using the Force Method
- (1)
- Determine the number of times the super-static beam shown in Figure 9 has been super-static for 1 time.
- (2)
- Selection of the basic system (Figure 17).
- (3)
- Write the force method equation
- (4)
- Solve the coefficients δ11 and Δ1P of the force law equation.
- (5)
- Solving the fundamental unknown X1.
- (6)
- Solve the bending moment at end A using the section method (Figure 19)
6. Example Verification
6.1. Example of a Statically Indeterminate Beam
- (1)
- Determine the primary unknown quantity: the angular displacement θB at node B.
- (2)
- Calculate the fixed-end moment for each member (load constant) induced by the load.
- (3)
- Calculate the bending moments at the ends of the members owing to the load and end displacements (load constants + shape constants × end displacements).
- (4)
- Establish the displacement method equations and solve the primary unknown quantity.
- (5)
- Determine the end moments of each member and construct the bending moment diagram:
6.2. Example of a Super-Static Rigid Frame Without Sidesway
- (1)
- Determine the primary unknown quantity: the angular displacement θB at node B.
- (2)
- Calculate the fixed-end moment for each member (load constant) induced by the load.
- (3)
- Calculate the bending moments at the ends of the members owing to the load and end displacements (load constants + shape constants × end displacements).
- (4)
- Establish the displacement method equations and solve the primary unknown quantity.
- (5)
- Determine the end moments of each member and construct the bending moment diagram.
6.3. Example of a Super-Static Rigid Frame with Sidesway
- (1)
- Determine the primary unknown quantities: the angular displacement θB at node B and the horizontal displacement Δ of end B of member AB and end C of member CD.
- (2)
- Calculate the fixed-end moment for each member induced by the load.
- (3)
- Calculate the bending moments at the ends of the members owing to the load and end displacements (load constants + shape constants × end displacements).
- (4)
- Establish the displacement method equations and solve the primary unknown quantities.
- (5)
- Determine the end moments of each member and construct the bending moment diagram.
7. Conclusions
- (1)
- The derivation of load constants under the action of a single concentrated moment has been simplified. Using the load constant formula for a single concentrated force, the derivation of the load constant formula for a single concentrated moment is reduced to combining like terms.
- (2)
- The integral method allows the derivation of load constants for distributed moments to be transformed into solving a definite integral of a polynomial function, which is more efficient and requires less effort, compared with the force, virtual beam, and energy methods. The advantages of the integral method become more pronounced with the increasing complexity of the distributed moment, such as quadratic and higher-order parabolic distributions.
- (3)
- The results of this study provide significant convenience for solving internal forces in statically indeterminate structures under distributed moments using the displacement method. The approach is of great significance for both educational practice and engineering applications.
- (4)
- In the future, the concept of substructures can be applied to derive the commonly used formulas for the fixed-end moment of substructures under the action of localized distributed moments, thereby facilitating the solution of internal forces in certain specific hyperstatic structures.
Author Contributions
Funding
Data Availability Statement
Acknowledgments
Conflicts of Interest
Nomenclature
| fixed-end moment of end A | fixed-end moment of end B | ||
| single concentrated forces | single concentrated moment | ||
| distributed moment | maximum value of distributed moment | ||
| bending moment at point B | angular displacement at node B | ||
| angular displacement at node C | linear displacement |
References
- Chang, W.Y.; Tong, X.H.; Wu, D.S.; Lian, J.; Ding, X.M. A new model for mechanical calculation of h-type anti-slide piles. Structures 2023, 56, 104891. [Google Scholar]
- Liu, X.R.; Kou, M.M.; Feng, H.; Zhou, Y. Experimental and numerical studies on the deformation response and retaining mechanism of h-type anti-sliding piles in clay landslide. Environ. Earth Sci. 2018, 77, 163. [Google Scholar] [CrossRef]
- Zhu, B.L.; Ren, L.; Feng, K.; Wu, H.G.; Li, J.; Shao, J. Investigation of the dynamic response of h-type anti-slide pile based on shaking table test. Soil Dyn. Earthq. Eng. 2024, 182, 108716. [Google Scholar] [CrossRef]
- Wang, L.; Gao, Y.; Zhou, E.Q.; Feng, J.X.; Huang, A.P.; Xu, M.J. Pseudo-static analysis of 3D unsaturated bench slopes stabilized by multiple rows of piles. Transp. Geotech. 2024, 46, 101255. [Google Scholar] [CrossRef]
- Yu, L.C.; Yan, C.H.; Guo, S.L.; Hao, S.F.; Cai, Y.; Wang, P.B. Earth Pressure Reduction and Transmission Between Rows of Portal Anti-Slide Piles. Geotech. Geol. Eng. 2024, 42, 6165–6177. [Google Scholar] [CrossRef]
- Long, Y.Q.; Bao, S.H.; Yuan, S. Structural Mechanics I-Basic Tutorial; Beijing Higher Education Press: Beijing, China, 2018. [Google Scholar]
- Wu, X. A general method of solutions for engineering statically indeterminate structure force. J. Cent. South Univ. (Sci. Technol.) 2016, 47, 262–272. [Google Scholar]
- Wang, D.Y.; Sun, J.; Liang, Y.J.; Liu, D.Y.; Cai, C.Q.; Zhu, Y. A new method for solving complex statically indeterminate structures based on force equivalent idea. Mech. Eng. 2023, 45, 899–908. [Google Scholar]
- Dowell, R.K. Closed-form moment solution for continuous beams and bridge structures. Eng. Struct. 2009, 31, 1880–1887. [Google Scholar] [CrossRef]
- Li, W.X.; Chen, S.Y.; Huang, H. system reduction-based approximate reanalysis method for statically indeterminate structures with high-rank modification. Structures 2023, 55, 1423–1436. [Google Scholar] [CrossRef]
- Shen, M.Y.; Deodatis, G. Variability response functions for statically indeterminate structures. Probabilistic Eng. Mech. 2022, 70, 103361. [Google Scholar] [CrossRef]
- Shan, J. Fun with Structutal Mechanics; Beijing Higher Education Press: Beijing, China, 2008. [Google Scholar]
- He, B.; Zhang, H.L.; Fan, Q.S. Revisiting the Basic Assumptions of the Thin Beam Theory from a Strange Example. Mech. Eng. 2011, 33, 79–80. [Google Scholar]
- He, B.; Fan, Q.S.; Zhang, H.L. Mechanical analysis of uniform slender beam acted by uniform couple. Chin. J. Solid Mech. 2011, 32, 534–540. [Google Scholar]
- Liu, X.L.; Du, P.; Wu, S.C.; Zheng, J. Application of Structural Mechanics Solver in Internal Force Calculation of Frame Structure. In Proceedings of the 6th International Conference on Energy, Environment and Materials Science, Hulun Buir, China, 28–30 August 2020; Volume 585, p. 012112. [Google Scholar]
































Disclaimer/Publisher’s Note: The statements, opinions and data contained in all publications are solely those of the individual author(s) and contributor(s) and not of MDPI and/or the editor(s). MDPI and/or the editor(s) disclaim responsibility for any injury to people or property resulting from any ideas, methods, instructions or products referred to in the content. |
© 2024 by the authors. Licensee MDPI, Basel, Switzerland. This article is an open access article distributed under the terms and conditions of the Creative Commons Attribution (CC BY) license (https://creativecommons.org/licenses/by/4.0/).
Share and Cite
Wei, P.; Hu, J.; Man, H.; Hong, S. Solution of Internal Forces in Statically Indeterminate Structures Under Localized Distributed Moments. Mathematics 2024, 12, 3649. https://doi.org/10.3390/math12233649
Wei P, Hu J, Man H, Hong S. Solution of Internal Forces in Statically Indeterminate Structures Under Localized Distributed Moments. Mathematics. 2024; 12(23):3649. https://doi.org/10.3390/math12233649
Chicago/Turabian StyleWei, Pengyun, Junhong Hu, Haizhong Man, and Shunjun Hong. 2024. "Solution of Internal Forces in Statically Indeterminate Structures Under Localized Distributed Moments" Mathematics 12, no. 23: 3649. https://doi.org/10.3390/math12233649
APA StyleWei, P., Hu, J., Man, H., & Hong, S. (2024). Solution of Internal Forces in Statically Indeterminate Structures Under Localized Distributed Moments. Mathematics, 12(23), 3649. https://doi.org/10.3390/math12233649
