The Evaluation of Construction Dust Diffusion and Sedimentation Using Wind Tunnel Experiment
Abstract
:1. Introduction
2. Materials and Methods
2.1. Indoor Experiment Setup
2.2. Experimental Method
2.3. Assessment Method
- (1)
- Particle inhibition rate
- (2)
- Mass of drift losses
- (3)
- Suspension percentage
- (4)
- Diffusion distance
- (5)
- Particle suppression efficiency
3. Results
3.1. Impact of Moisture on Concentration of PM2.5
3.2. Particle Inhibition Rate
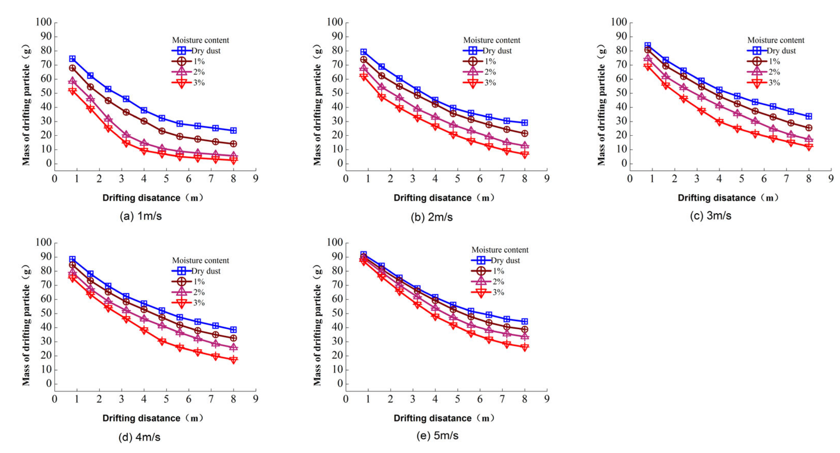
3.3. Prediction of Spread Distance
4. Discussion
5. Conclusions
- (1)
- The moisture content of dust and wind velocity have direct effects on the concentration distribution of PM2.5. The concentration of PM2.5 increased with the increase in wind velocity, and the peak concentration appeared in its initial position at the height of 0.8 m. The peak concentration decreased with the increase in moisture content; compared with dry dust, the peak concentrations for 1%, 2% and 3% moisture content were reduced by 37.07%, 39.53% and 65.38%, respectively.
- (2)
- The average concentrations in the cross-section decreased with the increase in the moisture content, resulting in an increasing tendency in the particle inhibition rate. When the moisture content was 3%, the inhibition rate was 91.67%, 90.08%, 85.07%, 83.90% and 80.44 as the wind velocity increased from 1 to 5 m/s, respectively.
- (3)
- Considering some particles were unable to land within a specific distance, dust suspension percentages of 1%, 3% and 5% were applied to analyze the influence of moisture content on the diffusion distance. The results show that the forecast of the particle dispersion distance decreases with the increase in the moisture content. When the suspension percentage was 1%, the diffusion distances of dry dust, 1%, 2% and 3% moisture content were 641.58, 116.08, 19.33 and 3.82 km, respectively with a 5 m/s wind speed.
- (4)
- Increasing the particulate moisture content can reduce the particulate diffusion; therefore, the dust should be irrigated before construction. Considering the increase in wind velocity not only decreases the inhibition rate but also increases the diffusion distance, the dust suppression method by increasing the moisture content of particles in low and medium wind velocity conditions is applicable, while construction activities under high wind conditions are prohibited.
Author Contributions
Funding
Institutional Review Board Statement
Informed Consent Statement
Data Availability Statement
Conflicts of Interest
References
- Wang, J.; Zhang, Y.; Wang, Y. Environmental impacts of short building lifespans in China considering time value. J. Clean Prod. 2018, 203, 696–707. [Google Scholar] [CrossRef]
- Querol, X.; Alastuey, A.; Ruiz, C.R.; Artiñano, B.; Hansson, H.C.; Harrison, R.M.; Buringh, E.; Brink, H.M.T.; Lutz, M.; Bruckmann, P.; et al. Speciation and origin of PM10 and PM2.5 in selected European cities. Atmos. Environ. 2004, 38, 6547–6555. [Google Scholar] [CrossRef]
- Vallius, M.; Janssen, N.A.H.; Heinrich, J.; Hoek, G.; Ruuskanen, J.; Cyrys, J.; van Grieken, R.; de Hartog, J.J.; Kreyling, W.G.; Pekkanen, J. Sources and elemental composition of ambient PM(2.5) in three European cities. Sci. Total Environ. 2005, 337, 147–162. [Google Scholar] [CrossRef] [PubMed]
- Chan, C.K.; Yao, X. Air pollution in mega cities in China. Atmos. Environ. 2008, 42, 1–42. [Google Scholar] [CrossRef]
- Zhang, X.; Shen, L.; Zhang, L. Life cycle assessment of the air emissions during building construction process: A case study in Hong Kong. Renew. Sust. Energ. Rev. 2013, 17, 160–169. [Google Scholar] [CrossRef]
- Tharr, D.; Lofgren, D.J. Case studies: Silica exposure for Concrete workers and masons. Appl. Occup. Environ. Hyg. 1993, 8, 832–836. [Google Scholar] [CrossRef]
- Tomb, T.F.; Emmerling, J.E.; Kellner, R.H. Collection of airborne coal dust by water spray in a horizontal duct. AIHA J. 1972, 33, 715–721. [Google Scholar] [CrossRef]
- Zhou, G.; Zhang, Q.; Hu, Y.; Gao, D.; Wang, S.; Sun, B. Dust removal effect of negatively-pressured spraying collector for advancing support in fully mechanized coal mining face: Numerical simulation and engineering application. Tunn. Undergr. Space Technol. 2020, 95, 103149. [Google Scholar] [CrossRef]
- Guo, C.; Nie, W.; Xu, C.; Peng, H.; Zhang, C.; Li, S.; Yue, N.; Liu, Z.; Yang, S.; Ma, Q.; et al. A study of the spray atomization and suppression of tunnel dust pollution based on a CFD-based simulation. J. Clean. Prod. 2020, 276, 123632. [Google Scholar] [CrossRef]
- Zhu, Y.; Hinds, W.C.; Kim, S.; Sioutas, C. Concentration and Size Distribution of Ultrafine Particles near a Major Highway. Air Repair. 2002, 52, 1032–1042. [Google Scholar] [CrossRef]
- Imhof, D.; Weingartner, E.; Vogt, U.; Dreiseidler, A.; Rosenbohm, E.; Scheer, V.; Vogt, R.; Nielsen, O.J.; Kurtenbach, R.; Corsmeier, U.; et al. Vertical distribution of aerosol particles and NOx close to a motorway. Atmos. Environ. 2005, 39, 5710–5721. [Google Scholar] [CrossRef]
- Tian, G.; Li, G.; Yan, B.L.; Qin, J.P. Spatial dispersion laws of fugitive dust from construction sites. Huan Jing Ke Xue 2008, 29, 259–262. [Google Scholar] [PubMed]
- Neuman, M.K.; Boulton, J.W.; Sanderson, S. Wind tunnel simulation of environmental controls on fugitive dust emissions from mine tailings. Atmos. Environ. 2009, 43, 520–529. [Google Scholar] [CrossRef]
- Amato, F.; Karanasiou, A.; Moreno, T.; Alastuey, A.; Orza, J.A.G.; Lumbreras, J.; Borge, R.; Boldo, E.; Linares, C.; Querol, X. Emission factors from road dust resuspension in a Mediterranean freeway. Atmos. Environ. 2012, 61, 580–587. [Google Scholar] [CrossRef] [Green Version]
- He, M.; Dhaniyala, S. Vertical and horizontal concentration distributions of ultrafine particles near a highway. Atmos. Environ. 2012, 46, 225–236. [Google Scholar] [CrossRef]
- Sanderson, R.S.; Neuman, C.M.K.; Boulton, J.W. Wind blown fugitive dust emissions from smelter slag. Aeolian Res. 2014, 13, 19–29. [Google Scholar] [CrossRef]
- Nield, J.M.; Neuman, C.M.K.; O’Brien, P.; Bryant, R.G.; Wiggs, G.F.S. Evaporative sodium salt crust development and its wind tunnel derived transport dynamics under variable climatic conditions. Aeolian Res. 2016, 23, 51–62. [Google Scholar] [CrossRef] [Green Version]
- Wu, Z.; Zhang, X.; Wu, M. Mitigating construction dust pollution: State of the art and the way forward. J. Clean. Prod. 2015, 112 Pt 2, 1658–1666. [Google Scholar] [CrossRef]
- Zhu, J.; He, X.; Wang, L.; Liao, X.; Teng, G.; Jing, P. Performance of N95 elastomeric respirators in high humidity and high coal dust concentration environment. Int. J. Min. Sci. Technol. 2022, 32, 215–224. [Google Scholar] [CrossRef]
- Zhao, J.; Shao, S.; Ni, D.; Shang, D.; Liu, X.; Zhang, Q.; Yu, X. Analysis of the impact of road construction dust on glacier environment. E3S Web Conf. 2020, 145, 02048. [Google Scholar] [CrossRef] [Green Version]
- Katra, I.; Elperin, T.; Fominykh, A.; Krasovitov, B.; Yizhaq, H. Modeling of particulate matter transport in atmospheric boundary layer following dust emission from source areas. Aeolian Res. 2016, 20, 147–156. [Google Scholar] [CrossRef]











| Factors | Value | ||||
|---|---|---|---|---|---|
| Particle moisture content (%) | 0 | 1 | 2 | 3 | |
| Wind velocity (m·s−1) | 1 | 2 | 3 | 4 | 5 |
| Wind Velocity | Moisture Content | a | b | R2 |
|---|---|---|---|---|
| 1 m/s | dry dust | 76.17 | 0.54 | 0.96 |
| 1% | 72.01 | 0.73 | 0.94 | |
| 2% | 63.91 | 1.11 | 0.95 | |
| 3% | 60.09 | 1.40 | 0.94 | |
| 2 m/s | dry dust | 81.90 | 0.47 | 0.95 |
| 1% | 78.57 | 0.54 | 0.92 | |
| 2% | 74.33 | 0.71 | 0.91 | |
| 3% | 72.19 | 0.92 | 0.90 | |
| 3 m/s | dry dust | 86.34 | 0.40 | 0.94 |
| 1% | 85.76 | 0.50 | 0.91 | |
| 2% | 81.96 | 0.61 | 0.90 | |
| 3% | 75.14 | 0.75 | 0.93 | |
| 4 m/s | dry dust | 90.19 | 0.37 | 0.95 |
| 1% | 87.34 | 0.43 | 0.94 | |
| 2% | 82.59 | 0.49 | 0.90 | |
| 3% | 82.38 | 066 | 0.92 | |
| 5 m/s | dry dust | 94.29 | 0.34 | 0.95 |
| 1% | 94.46 | 0.39 | 0.93 | |
| 2% | 93.68 | 0.46 | 0.93 | |
| 3% | 93.33 | 0.55 | 0.92 |
| Moisture Content | Wind Velocity (m/s) | ||||
|---|---|---|---|---|---|
| 1 | 2 | 3 | 4 | 5 | |
| 1% | 54.87% | 27.05% | 32.83% | 23.42% | 17.62% |
| 2% | 90.94% | 64.51% | 58.25% | 42.73% | 37.87% |
| 3% | 97.26% | 84.84% | 77.87% | 70.63% | 56.47% |
Publisher’s Note: MDPI stays neutral with regard to jurisdictional claims in published maps and institutional affiliations. |
© 2022 by the authors. Licensee MDPI, Basel, Switzerland. This article is an open access article distributed under the terms and conditions of the Creative Commons Attribution (CC BY) license (https://creativecommons.org/licenses/by/4.0/).
Share and Cite
Zhang, Y.; Tang, W.; Li, H.; Guo, J.; Wu, J.; Guo, Y. The Evaluation of Construction Dust Diffusion and Sedimentation Using Wind Tunnel Experiment. Toxics 2022, 10, 412. https://doi.org/10.3390/toxics10080412
Zhang Y, Tang W, Li H, Guo J, Wu J, Guo Y. The Evaluation of Construction Dust Diffusion and Sedimentation Using Wind Tunnel Experiment. Toxics. 2022; 10(8):412. https://doi.org/10.3390/toxics10080412
Chicago/Turabian StyleZhang, Yisheng, Wei Tang, Hao Li, Jinjun Guo, Jingjiang Wu, and Yongfu Guo. 2022. "The Evaluation of Construction Dust Diffusion and Sedimentation Using Wind Tunnel Experiment" Toxics 10, no. 8: 412. https://doi.org/10.3390/toxics10080412
APA StyleZhang, Y., Tang, W., Li, H., Guo, J., Wu, J., & Guo, Y. (2022). The Evaluation of Construction Dust Diffusion and Sedimentation Using Wind Tunnel Experiment. Toxics, 10(8), 412. https://doi.org/10.3390/toxics10080412

