Kinetic and Mechanistic Release Studies on Hyaluronan Hydrogels for Their Potential Use as a pH-Responsive Drug Delivery Device
Abstract
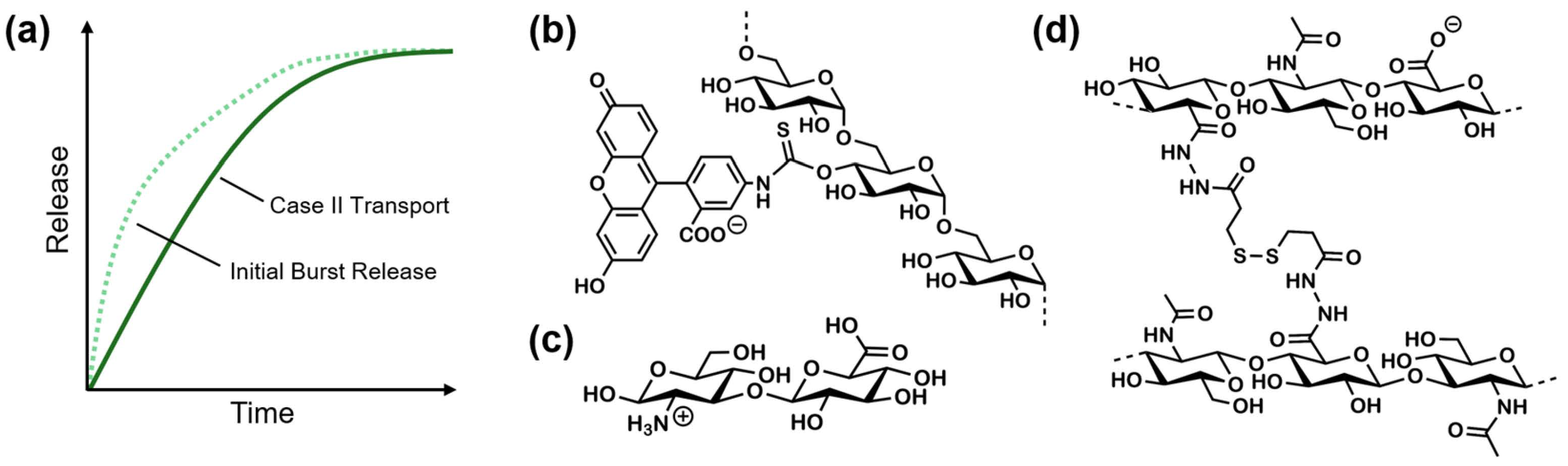
1. Introduction

2. Results
2.1. pH-Dependent Swelling
2.2. Drug Release
2.3. Gel Loading
3. Discussion
4. Conclusions
5. Materials and Methods
5.1. Gel and Cross-Linker Preparation and Determination of the Degree of Thiolation
5.2. Swelling Ratio of Buffered and Unbuffered Systems
5.3. Gel Loading Experiments
5.4. Drug Release Experiment
5.5. Student’s t-Test
5.6. Fluorescence Spectroscopy and Absorption Measurements
Author Contributions
Funding
Institutional Review Board Statement
Data Availability Statement
Acknowledgments
Conflicts of Interest
Appendix A

Appendix B
| pH | HA35 | HA55 | |||
|---|---|---|---|---|---|
| 10 kDa Dextran | 40 kDa Dextran | 10 kDa Dextran | 40 kDa Dextran | ||
| 5.0 | Model | Second-order | Logarithmic | Logarithmic | Logarithmic | 
| Parameters | k2 = 0.036 ± 0.003 | a = 14.0 ± 1.0 | a = 24.4 ± 1.7 | a = 16.8 ± 1.6 | |
| b = −16.4 ± 1.7 | b = 22.7 ± 2.6 | b = −11.5 ± 3.7 | |||
| R2 | 0.9340 | 0.9633 | 0.9708 | 0.9406 | |
| 7.4 | Model | Logarithmic | Second-order | Logarithmic | Logarithmic | 
| Parameters | a = 42.4 ± 2.9 | k2 = 0.0057 ± 0.0003 | a = 49.9 ± 2.1 | a = 37.9 ± 1.8 | |
| b = −32.8 ± 4.8 | b = −40.6 ± 3.1 | b = −37.9 ± 3.5 | |||
| R2 | 0.9771 | 0.9923 | 0.9926 | 0.9874 | |
| 10.0 | Model | Logarithmic | Korsmeyer–Peppas | Korsmeyer–Peppas | Korsmeyer–Peppas | 
| Parameters | a = 46.0 ± 3.5 | kp = 0.031 ± 0.006 | kp = 0.086 ± 0.012 | kp = 0.042 ± 0.007 | |
| b = −28.8 ± 6.9 | n = 0.51 ± 0.04 | n = 0.39 ± 0.03 | n = 0.48 ± 0.03 | ||
| R2 | 0.9669 | 0.9732 | 0.9744 | 0.9795 | |
| pH | Parameter | HA35 | HA55 | ||
|---|---|---|---|---|---|
| 10 kDa Dextran | 40 kDa Dextran | 10 kDa Dextran | 40 kDa Dextran | ||
| 5.0 | n | 0.22 ± 0.04 | 0.56 ± 0.11 | 0.16 ± 0.01 | 0.33 ± 0.05 | 
| k0 | −0.0033 ± 0.0002 | 0.0002 ± 0.0005 | −0.0051 ± 0.0007 | −0.0014 ± 0.0004 | |
| Mechanism | (hind.) Fickian | Fickian to anomal. | (hind.) Fickian | (hind.) Fickian | |
| 7.4 | n | 0.38 ± 0.03 | 0.57 ± 0.06 | 0.47 ± 0.03 | 053 ± 0.05 | 
| k0 | −0.0010 ± 0.0002 | 0.0002 ± 0.0003 | −0.0004 ± 0.0003 | 0.0001 ± 0.0003 | |
| Mechanism | (hind.) Fickian | Fickian to anomal. | Fickian to anomal. | Fickian to anomal. | |
| 10.0 | n | 0.38 ± 0.04 | 0.51 ± 0.04 | 0.39 ± 0.03 | 0.48 ± 0.03 | 
| k0 | −0.0011 ± 0.0003 | 0.0001 ± 0.0002 | −0.0010 ± 0.0003 | −0.0001 ± 0.0002 | |
| Mechanism | (hind.) Fickian | Fickian to anomal. | (hind.) Fickian | Fickian to anomal. | |
Appendix C

References
- Han, Z.; Yuan, M.; Liu, L.; Zhang, K.; Zhao, B.; He, B.; Liang, Y.; Li, F. pH-Responsive wound dressings: Advances and prospects. Nanoscale Horiz. 2023, 8, 422–440. [Google Scholar] [CrossRef] [PubMed]
- Wolf, K.J.; Kumar, S. Hyaluronic Acid: Incorporating the Bio into the Material. ACS Biomater. Sci. Eng. 2019, 5, 3753–3765. [Google Scholar] [CrossRef] [PubMed]
- Stern, R.; Asari, A.A.; Sugahara, K.N. Hyaluronan fragments: An information-rich system. Eur. J. Cell Biol. 2006, 85, 699–715. [Google Scholar] [CrossRef] [PubMed]
- Rizwan, M.; Yahya, R.; Hassan, A.; Yar, M.; Azzahari, A.D.; Selvanathan, V.; Sonsudin, F.; Abouloula, C.N. pH Sensitive Hydrogels in Drug Delivery: Brief History, Properties, Swelling, and Release Mechanism, Material Selection and Applications. Polymers 2017, 9, 137. [Google Scholar] [CrossRef]
- Giubertoni, G.; Burla, F.; Martinez-Torres, C.; Dutta, B.; Pletikapic, G.; Pelan, E.; Rezus, Y.L.A.; Koenderink, G.H.; Bakker, H.J. Molecular Origin of the Elastic State of Aqueous Hyaluronic Acid. J. Phys. Chem. B 2019, 123, 3043–3049. [Google Scholar] [CrossRef]
- Zhang, W.; Jin, X.; Li, H.; Zhang, R.-R.; Wu, C.-W. Injectable and body temperature sensitive hydrogels based on chitosan and hyaluronic acid for pH sensitive drug release. Carbohydr. Polym. 2018, 186, 82–90. [Google Scholar] [CrossRef]
- Wang, K.; Fu, Q.; Chen, X.; Gao, Y.; Dong, K. Preparation and characterization of pH-sensitive hydrogel for drug delivery system. RSC Adv. 2012, 2, 7772–7780. [Google Scholar] [CrossRef]
- Adepu, S.; Ramakrishna, S. Controlled Drug Delivery Systems: Current Status and Future Directions. Molecules 2021, 26, 5905. [Google Scholar] [CrossRef]
- Higuchi, T. Rate of release of medicaments from ointment bases containing drugs in suspension. J. Pharm. Sci. 1961, 50, 874–875. [Google Scholar] [CrossRef]
- Nawaz, S.; Khan, S.; Farooq, U.; Haider, M.S.; Ranjha, N.M.; Rasul, A.; Nawaz, A.; Arshad, N.; Hameed, R. Biocompatible hydrogels for the controlled delivery of anti-hypertensive agent: Development, characterization and in vitro evaluation. Des. Monomers Polym. 2018, 21, 18–32. [Google Scholar] [CrossRef]
- Ritger, P.L.; Peppas, N.A. A simple equation for description of solute release II. Fickian and anomalous release from swellable devices. J. Control. Release 1987, 5, 37–42. [Google Scholar] [CrossRef]
- Korsmeyer, R.W.; Gurny, R.; Doelker, E.; Buri, P.; Peppas, N.A. Mechanisms of solute release from porous hydrophilic polymers. Int. J. Pharm. 1983, 15, 25–35. [Google Scholar] [CrossRef]
- Peppas, N.A.; Sahlin, J.J. A simple equation for the description of solute release. III. Coupling of diffusion and relaxation. Int. J. Pharm. 1989, 57, 169–172. [Google Scholar] [CrossRef]
- Lee, P.I. Kinetics of Drug Release from Hydrogel Matrices. J. Control. Release 1985, 2, 277–288. [Google Scholar] [CrossRef]
- Singhvi, G.; Singh, M. Review: In-vitro Drug Release Characterization Models. Int. J. Pharm. Stud. Res. 2011, 2, 77–84. [Google Scholar]
- Supramaniam, J.; Adnan, R.; Kaus, N.H.M.; Bushra, R. Magnetic nanocellulose alginate hydrogel beads as potential drug delivery system. Int. J. Biol. Macromol. 2018, 118, 640–648. [Google Scholar] [CrossRef]
- Fosca, M.; Rau, J.V.; Uskoković, V. Factors influencing the drug release from calcium phosphate cements. Bioact. Mater. 2022, 7, 341–363. [Google Scholar] [CrossRef]
- Wójcik-Pastuszka, D.; Krzak, J.; Macikowski, B.; Berkowski, R.; Osinski, B.; Musial, W. Evaluation of the Release Kinetics of a Pharmacologically Active Substance from Model Intra-Articular Implants Replacing the Cruciate Ligaments of the Knee. Materials 2019, 12, 1202. [Google Scholar] [CrossRef]
- Huang, X.; Brazel, C.S. On the importance and mechanisms of burst release in matrix-controlled drug delivery systems. J. Control. Release 2001, 73, 121–136. [Google Scholar] [CrossRef]
- Narasimhan, B.; Langer, R. Zero-order release of micro- and macromolecules from polymeric devices: The role of the burst effect. J. Control. Release 1997, 47, 13–20. [Google Scholar] [CrossRef]
- Jeong, J.O.; Park, J.S.; Kim, E.J.; Jeong, S.I.; Lee, J.Y.; Lim, Y.M. Preparation of Radiation Cross-Linked Poly(Acrylic Acid) Hydrogel Containing Metronidazole with Enhanced Antibacterial Activity. Int. J. Mol. Sci. 2019, 21, 187. [Google Scholar] [CrossRef] [PubMed]
- Li, L.; Shan, H.; Yue, C.Y.; Lam, Y.C.; Tam, K.C.; Hu, X. Thermally Induced Association and Dissociation of Methylcellulose in Aqueous Solutions. Langmuir 2002, 18, 7291–7298. [Google Scholar] [CrossRef]
- Bao, Y.; Ma, J.; Li, N. Synthesis and swelling behaviors of sodium carboxymethyl cellulose-g-poly(AA-co-AM-co-AMPS)/MMT superabsorbent hydrogel. Carbohydr. Polym. 2011, 84, 76–82. [Google Scholar] [CrossRef]
- Bej, R.; Haag, R. Mucus-Inspired Dynamic Hydrogels: Synthesis and Future Perspectives. J. Am. Chem. Soc. 2022, 144, 20137–20152. [Google Scholar] [CrossRef]
- Watkins, K.A.; Chen, R. pH-responsive, lysine-based hydrogels for the oral delivery of a wide size range of molecules. Int. J. Pharm. 2015, 478, 496–503. [Google Scholar] [CrossRef]
- Peers, S.; Montembault, A.; Ladavière, C. Chitosan hydrogels for sustained drug delivery. J. Control. Release 2020, 326, 150–163. [Google Scholar] [CrossRef]
- Kleemann, K.; Bolduan, P.; Battagliarin, G.; Christl, I.; McNeill, K.; Sander, M. Molecular Structure and Conformation of Biodegradable Water-Soluble Polymers Control Adsorption and Transport in Model Soil Mineral Systems. Environ. Sci. Technol. 2024, 58, 1274–1286. [Google Scholar] [CrossRef]
- Armstrong, J.K.; Wenby, R.B.; Meiselman, H.J.; Fisher, T.C. The Hydrodynamic Radii of Macromolecules and Their Effect on Red Blood Cell Aggregation. Biophys. J. 2004, 87, 4259–4270. [Google Scholar] [CrossRef]
- Shawkat, H.; Westwood, M.-M.; Mortimer, A. Mannitol: A review of its clinical uses. BJA Educ. 2012, 12, 82–85. [Google Scholar] [CrossRef]
- Rosak, C.; Mertes, G. Critical evaluation of the role of acarbose in the treatment of diabetes: Patient considerations. Diabetes Metab. Syndr. Obes. 2012, 5, 357–367. [Google Scholar] [CrossRef]
- Zhang, W.; Chen, J.; Chen, Q.; Wu, H.; Mu, W. Sugar alcohols derived from lactose: Lactitol, galactitol, and sorbitol. Appl. Microbiol. Biotechnol. 2020, 104, 9487–9495. [Google Scholar] [CrossRef] [PubMed]
- Stegmayr, J.; Zetterberg, F.; Carlsson, M.C.; Huang, X.; Sharma, G.; Kahl-Knutson, B.; Schambye, H.; Nilsson, U.J.; Oredsson, S.; Leffler, H. Extracellular and intracellular small-molecule galectin-3 inhibitors. Sci. Rep. 2019, 9, 2186. [Google Scholar] [CrossRef] [PubMed]
- Zerbe, R.L.; Vinicor, F.; Robertson, G.L. Regulation of plasma vasopressin in insulin-dependent diabetes mellitus. Am. J. Physiol. Endocrinol. Metab. 1985, 249, E317–E325. [Google Scholar] [CrossRef] [PubMed]
- Díaz, L.P.; Millán, S.; Chaban, N.; Campo, A.D.; Spitzer, E. Current State and Comparison of the Clinical Development of Bevacizumab, Rituximab and Trastuzumab Biosimilars. Future Oncol. 2021, 17, 2529–2544. [Google Scholar] [CrossRef]
- Erikci, S.; Mundinger, P.; Boehm, H. Small Physical Cross-Linker Facilitates Hyaluronan Hydrogels. Molecules 2020, 25, 4166. [Google Scholar] [CrossRef]
- Ferreira, N.N.; Ferreira, L.M.B.; Cardoso, V.M.O.; Boni, F.I.; Souza, A.L.R.; Gremão, M.P.D. Recent advances in smart hydrogels for biomedical applications: From self-assembly to functional approaches. Eur. Polym. J. 2018, 99, 117–133. [Google Scholar] [CrossRef]
- Li, J.; Mooney, D.J. Designing hydrogels for controlled drug delivery. Nat. Rev. Mater. 2016, 1, 16071. [Google Scholar] [CrossRef]
- Dharmalingam, K.; Anandalakshmi, R. Fabrication, characterization and drug loading efficiency of citric acid crosslinked NaCMC-HPMC hydrogel films for wound healing drug delivery applications. Int. J. Biol. Macromol. 2019, 134, 815–829. [Google Scholar] [CrossRef]
- Vercruysse, K.P.; Marecak, D.M.; Marecek, J.F.; Prestwich, G.D. Synthesis and in Vitro Degradation of New Polyvalent Hydrazide Cross-Linked Hydrogels of Hyaluronic Acid. Bioconjug. Chem. 1997, 8, 686–694. [Google Scholar] [CrossRef]
- Kurtzhals, P.; Larsen, C.; Johansen, M. High-performance size-exclusion chromatographic procedure for the determination of fluoresceinyl isothiocyanate dextrans of various molecular masses in biological media. J. Chromatogr. 1989, 491, 117–127. [Google Scholar] [CrossRef]
- Amsden, B. Solute diffusion in hydrogels. An examination of the retardation effect. Polym. Gels Netw. 1998, 6, 13–43. [Google Scholar] [CrossRef]
- Sim, P.; Strudwick, X.L.; Song, Y.; Cowin, A.J.; Garg, S. Influence of Acidic pH on Wound Healing In Vivo: A Novel Perspective for Wound Treatment. Int. J. Mol. Sci. 2022, 23, 13655. [Google Scholar] [CrossRef] [PubMed]
- Vibert, A.; Jacquinet, J.-C.; Lopin-Bon, C. From Polymer to Size-Defined Oligomers: A Step Economy Process for the Efficient and Stereocontrolled Construction of Chondroitin Oligosaccharides and Biotinylated Conjugates thereof: Part 1. Chem. Eur. J. 2009, 15, 9561–9578. [Google Scholar] [CrossRef] [PubMed]
- Siepmann, J.; Siepmann, F. Sink conditions do not guarantee the absence of saturation effects. Int. J. Pharm. 2020, 577, 119009. [Google Scholar] [CrossRef]





| Model | Equation | Specifications | 
|---|---|---|
| Korsmeyer–Peppas | with kh and n = 0.5: Higuchi’s model with k0 and n = 1: zero-order model | |
| Peppas–Sahlin | , where d is the diameter and l the thickness (height) of the gel [13] | |
| Logarithmic | - | |
| First-order | - | |
| Second-order | k2 is dependent on the drug concentration inside the gel | 
| Geometry | (Hindered) Fickian | Anomalous Transport | Case II Transport | 
|---|---|---|---|
| Film | ≤0.50 | 0.50 < n < 1.00 | 1.00 | 
| Cylinder | ≤0.45 | 0.45 < n < 0.89 | 0.89 | 
| Sphere | ≤0.43 | 0.43 < n < 0.85 | 0.85 | 
| Disclaimer/Publisher’s Note: The statements, opinions and data contained in all publications are solely those of the individual author(s) and contributor(s) and not of MDPI and/or the editor(s). MDPI and/or the editor(s) disclaim responsibility for any injury to people or property resulting from any ideas, methods, instructions or products referred to in the content. | 
© 2024 by the authors. Licensee MDPI, Basel, Switzerland. This article is an open access article distributed under the terms and conditions of the Creative Commons Attribution (CC BY) license (https://creativecommons.org/licenses/by/4.0/).
Share and Cite
Erikci, S.; van den Bergh, N.; Boehm, H. Kinetic and Mechanistic Release Studies on Hyaluronan Hydrogels for Their Potential Use as a pH-Responsive Drug Delivery Device. Gels 2024, 10, 731. https://doi.org/10.3390/gels10110731
Erikci S, van den Bergh N, Boehm H. Kinetic and Mechanistic Release Studies on Hyaluronan Hydrogels for Their Potential Use as a pH-Responsive Drug Delivery Device. Gels. 2024; 10(11):731. https://doi.org/10.3390/gels10110731
Chicago/Turabian StyleErikci, Saliha, Niklas van den Bergh, and Heike Boehm. 2024. "Kinetic and Mechanistic Release Studies on Hyaluronan Hydrogels for Their Potential Use as a pH-Responsive Drug Delivery Device" Gels 10, no. 11: 731. https://doi.org/10.3390/gels10110731
APA StyleErikci, S., van den Bergh, N., & Boehm, H. (2024). Kinetic and Mechanistic Release Studies on Hyaluronan Hydrogels for Their Potential Use as a pH-Responsive Drug Delivery Device. Gels, 10(11), 731. https://doi.org/10.3390/gels10110731
 
        


 
                         
       