Improvement of Biohydrogen and Usable Chemical Products from Glycerol by Co-Culture of Enterobacter spH1 and Citrobacter freundii H3 Using Different Supports as Surface Immobilization
Abstract
:1. Introduction
2. Materials and Methods
2.1. Fermentable Substrates and Chemicals
2.2. Microorganism, Medium and Culture Conditions
2.2.1. Microorganisms
2.2.2. Culture Medium
2.2.3. Support Materials
2.3. Batch Dark Fermentation
2.4. Analytical Methods
2.4.1. Biomass Growth
2.4.2. Analysis of Gas Production
2.4.3. Analysis of Liquid Metabolites
2.4.4. Support Characterization
2.4.5. Total Organic Carbon Analysis
2.5. Data Analysis
Data Analysis and Kinetic Parameters
3. Results and Discussion
3.1. Textural Characteristics of Supports
3.2. Support Characterization
3.3. Morphology and Count of Cells Attached to the Support
Effect of Supports on Bacterial Surface Attachment
3.4. Effect of Supports and Iron on Glycerol Fermentation Products
3.5. Effect of Supports and Iron on H2 Production and Metabolites
3.5.1. Effect of Supports on H2 Production
3.5.2. Effect of Iron on Glycerol Metabolites
- (i).
- Maximum H2 production (mmol/L) and yield (mol H2/mol glycerol consumed) increased in the following order: FC < γ-Al2O3 < Fe2O3 < SiO2 < Fe/SiO2 < AC < Fe/AC.
- (ii).
- Maximum ethanol production (mmol/L) increased in the following order: FC < Fe2O3 < Al2O3 < SiO2 < Fe/SiO2 < Fe/AC < AC and the yield (mol EtOH/mol glycerol consumed) increased > > > > > FC < Fe2O3 < Fe/AC < Fe/SiO2 < SiO2 < AC < γ-Al2O3
- (iii).
- Maximum 1,3-propanediol production (mmol/L) and yield (mol 1,3PDO/mol glycerol consumed) increased in the following order: γ-Al2O3 < SiO2 < Fe/SiO2 < AC < Fe2O3 < Fe/AC < FC.
- (iv).
- Maximum lactate production (mmol/L) and yield (mol lactate/mol glycerol consumed) increased in the following order: γ-Al2O3 < SiO2 < AC < Fe/SiO2 < Fe/AC < Fe2O3 < FC.
3.6. Effect of Support on Glycerol Adsorption
4. Conclusions
- (i).
- For each of the supports, H2 production (mmol/L) increased in the following order: FC (120) < γ-Al2O3(135) < Fe2O3(156) < SiO2 (174) < Fe/SiO2 (183)< AC (184) < Fe/AC (192).
- (ii).
- Ethanol production (mmol/L) increased in the following order: FC(112) < Fe2O3 (143) < γ-Al2O3 (165) < SiO2 (182) < Fe/SiO2 (183) < Fe/AC (186) < AC (211).
- (iii).
- 1,3-propanediol production (mmol/L) increased in the following order: γ-Al2O3 (16) < SiO2 (17) < Fe/SiO2 (22) < AC (34) < Fe2O3(35) < Fe/AC (36) < FC (45).
- (iv).
- Lactate production (mmol/L) increased in the following order: γ-Al2O3(28) < SiO2 (29) < AC (36) < Fe/SiO2 (38) < Fe/AC (36) < Fe2O3(49) < FC (56).
Author Contributions
Funding
Conflicts of Interest
References
- Das, D.; Veziroglu, T.N. Hydrogen production by biological processes: A survey of literature. Int. J. Hydrogen Energy 2001, 26, 13–28. [Google Scholar] [CrossRef]
- Sung, S. Biohydrogen Production from Renewable Organic Wastes, Finial Technical Report; Iowa State University: Ames, IA, USA, 2004. [Google Scholar]
- Zhang, Z.-P.; Show, K.-Y.; Tay, J.-H.; Liang, D.T.; Lee, D.-J. Enhanced continuous biohydrogen production by immobilized anaerobic microflora. Energy Fuels 2008, 22, 87–92. [Google Scholar] [CrossRef]
- Lin, C.; Lay, C. A nutrient formulation for fermentative hydrogen production using anaerobic sewage sludge microflora. Int. J. Hydrogen Energy 2005, 30, 285–292. [Google Scholar] [CrossRef]
- Levin, D.B.; Pitt, L.; Love, M. Biohydrogen production: Prospects and limitations to practical application. Int. J. Hydrogen Energy 2004, 29, 173–185. [Google Scholar] [CrossRef]
- Carriquiry, M. U.S. biodiesel production: Recent developments and prospects, Iowa. Agric. Rev. 1997, 13, 8–9. [Google Scholar]
- Yazdani, S.; Gonzalez, R. Anaerobic fermentation of glycerol: A path to economic viability for the biofuels industry. Curr. Opin. Biotechnol. 2007, 18, 213–219. [Google Scholar] [CrossRef] [PubMed]
- Bickerstaff, G.F. Immobilization of Enzyme and Cells; Humana Press Inc.: Totowa, NJ, USA, 1997. [Google Scholar]
- Gungormusler, M.; Tamayol, A.; Levin, D.B. Hydrogen production by immobilized cells of Clostridium intestinale strain URNW using alginate beads. Appl. Biochem. Biotechnol. 2021, 193, 1558–1573. [Google Scholar] [CrossRef]
- Lee, K.-S.; Wu, J.F.; Lin, P.-J.; Chang, J.-S. Anaerobic hydrogen production with an efficient carrier-induced granular sludge bed bioreactor. Biotechnol. Bioeng. 2004, 87, 648–657. [Google Scholar] [CrossRef]
- Boshagh, F.; Rostami, K.; Moazami, N. Immobilization of Enterobacter aerogenes on carbon fiber and activated carbon to study hydrogen production enhancement. Biochem. Eng. J. 2019, 44, 64–72. [Google Scholar] [CrossRef]
- Chen, C.-Y.; Chang, J.-S. Enhancing phototropic hydrogen production by solid-carrier assisted fermentation and internal optical-fiber illumination. Process. Biochem. 2006, 41, 2041–2049. [Google Scholar] [CrossRef]
- Lee, C.M.; Chen, P.C.; Wang, C.C.; Tung, Y.C. Photohydrogen production using purple nonsulfur bacteria with hydrogen fermentation reactor effluent. Int. J. Hydrogen Energy 2002, 27, 1309–1313. [Google Scholar] [CrossRef]
- Wu, S.Y.; Hung, C.H.; Lin, C.N.; Chen, H.W.; Lee, A.S.; Chang, J.S. Fermentative hydrogen production and bacterial community structure in high-rate anaerobic bioreactors containing silicone-immobilized and self-flocculated sludge. Biotechnol. Bioeng. 2006, 93, 934–946. [Google Scholar] [CrossRef] [PubMed]
- Lee, K.-S.; Lo, Y.-S.; Lo, Y.-C.; Lin, P.-J.; Chang, J.-S. Hydrogen fermentation with anaerobic sludge using activated-carbon supported packed-bed bioreactors. Biotechnol. Lett. 2003, 25, 133–138. [Google Scholar] [CrossRef] [PubMed]
- Wu, S.-Y.; Lin, C.-N.; Lee, K.-S.; Lin, P.-J.; Chang, J.-S. Microbial hydrogen production with immobilized anaerobic cultures. Biotechnol. Prog. 2002, 18, 921–926. [Google Scholar] [CrossRef]
- Mason, C.A.; Ward, G.; Abu-Salah, K.; Keren, O.; Dosoretz, C.G. Biodegradation of BTEX by bacteria on powdered activated carbon. Bioprocess Eng. 2000, 23, 333–336. [Google Scholar] [CrossRef]
- Orshansky, F.; Narkis, N. Characteristics of organics removal by PACT simultaneous adsorption and biodegradation. Water Res. 1997, 31, 391–398. [Google Scholar] [CrossRef]
- Fißler, J.; Kohring, G.W.; Giffhorn, F. Enhanced hydrogen production from aromatic acids by immobilized cells of Rhodopseudomonas palustris. Appl. Microbiol. Biotechnol. 1995, 44, 43–46. [Google Scholar]
- Vincenzini, M.; Materassi, R.; Tredigi, M.R.; Florenzano, G. Hydrogen production by immobilized cells-light dependent dissimilation of organic substrates by Rhodopseudomonas palustris. Int. J. Hydrogen Energy 1982, 7, 231–236. [Google Scholar] [CrossRef]
- Fang, H.H.P.; Liu, H.; Zhang, T. Phototrophic hydrogen production from acetate and butyrate in wastewater. Int. J. Hydrogen Energy 2005, 30, 785–793. [Google Scholar] [CrossRef]
- Haag, R.; Roller, S. Polymeric Supports for the Immobilization of Catalysts. Top. Curr. Chem. 2004, 242, 1–42. [Google Scholar]
- Juanita, M.; Guangyi, W. Metabolic pathway engineering for enhanced biohydrogen production. Int. J. Hydrogen Energy 2009, 34, 7404–7416. [Google Scholar]
- Adams, M.W.W.; Mortenson, L.E.; Chen, J.S. Hydrogenase. Biochim. Biophys. Acta 1980, 594, 105–176. [Google Scholar] [CrossRef]
- Vignais, P.M.; Billoud, B.; Meyer, J. Classification and phylogeny of hydrogenases. FEMS Microbiol. Rev. 2001, 25, 455–501. [Google Scholar] [CrossRef]
- Shekhar, C.; Kai, T.; Garcia-Contreras, R. Evaluation of hydrogen metabolism by Escherichia coli strains possessing only a single hydrogenase in the genome. Int. J. Hydrogen Energy 2021, 46, 1728–1739. [Google Scholar] [CrossRef]
- Valle, A.; Cantero, D.; Bolivar, J. Metabolic engineering for the optimization of hydrogen production in Escherichia coli: A review. Biotechnol. Adv. 2019, 37, 616–633. [Google Scholar] [CrossRef]
- Nath, K.; Das, D. Improvement of fermentative hydrogen production: Various approaches. Appl. Microbiol. Biotechnol. 2004, 65, 520–529. [Google Scholar] [CrossRef] [PubMed]
- Dabrock, B.; Bahl, H.; Gottschalk, G. Parameters affecting solvent production by Clostridium pasteurianum. Appl. Environ. Microbiol. 1992, 58, 1233–1239. [Google Scholar] [CrossRef] [Green Version]
- Peguin, S.; Soucaille, P. Modulation of carbon and electron flow in Clostridium acetobutylicum by iron limitation and methyl viologen addition. Appl. Environ. Microbiol. 1995, 61, 403–405. [Google Scholar] [CrossRef] [Green Version]
- Wu, H.; Wang, C.; Chen, P. Effects of pH and ferrous iron on the production of butanol and hydrogen by Clostridium beijerinckii IB4. Int. J. Hydrogen Energy 2017, 42, 6547–6555. [Google Scholar] [CrossRef]
- Zhang, J.; Fan, C.; Zang, L. Improvement of hydrogen production from glucose by ferrous iron and biochar. Biores. Technol. 2017, 245, 98–105. [Google Scholar] [CrossRef]
- Wu, K.-J.; Chang, J.-S. Batch and continuous fermentative production of hydrogen with anaerobic sludge entrapped in a composite polymeric matrix. Process. Biochem. 2007, 4, 2279–2284. [Google Scholar] [CrossRef]
- Maru, B.T.; Constanti, M.; Stchigel, A.M.; Medina, F.; Sueiras, J.E. Biohydrogen production by dark fermentation of glycerol using Enterobacter and Citrobacter Sp. Biotechnol. Progr. 2013, 29, 31–38. [Google Scholar] [CrossRef]
- Güell, E.J.; Maru, B.T.; Chimentão, R.J.; Gispert-Guirado, F.; Constantí, M.; Medina, F. Combined heterogeneous catalysis and dark fermentation systems for the conversion of cellulose into biohydrogen. Biochem. Eng. J. 2015, 101, 209–219. [Google Scholar] [CrossRef]
- Gavilà, L.; Güell, E.J.; Maru, B.T.; Medina, F.; Constantí, M. Combining catalytical and biological processes to transform cellulose into high value-added products. In Polymer Engineering; Tylkowski, B., Wieszczycka, K., Jastrzab, R., Eds.; De Gruyter: Berlin, Germany; Boston, MA, USA, 2017; pp. 457–468. [Google Scholar]
- Ito, T.; Nakashimada, Y.; Senba, K.; Matsui, T.; Nishio, N. Hydrogen and ethanol production from glycerol-containing wastes discharged after biodiesel manufacturing process. J. Biosci. Bioeng. 2005, 100, 260–265. [Google Scholar] [CrossRef]
- Zazo, J.A.; Casas, J.A.; Mohedano, A.F.; Rodriguez, J.J. Catalytic wet peroxide oxidation of phenol with a Fe/active carbon catalyst. Appl. Catal. B Environ. 2006, 65, 261–268. [Google Scholar] [CrossRef]
- Lindsay, D.; von Holy, A. Evaluation of dislodging methods for laboratory grown bacterial biofilms. Food Microbiol. 1997, 14, 383–390. [Google Scholar] [CrossRef]
- Mu, Y.; Yu, H.; Wang, G. A kinetic approach to anaerobic hydrogen-producing process. Water Res. 2007, 41, 1152–1160. [Google Scholar] [CrossRef] [PubMed]
- Seifert, K.; Waligorska, M.; Wojtowski, M.; Laniecki, M. Hydrogen generation from glycerol in batch fermentation process. Int. J. Hydrogen Energy 2009, 34, 3671–3678. [Google Scholar] [CrossRef]
- Oh, Y.K.; Park, S.; Seol, E.H.; Kim, S.H.; Kim, M.S.; Hwang, J.W.; Ryu, D.D. Carbon and energy balances of glucose fermentation with hydrogen producing bacterium Citrobacter amalonaticus Y19. J. Microbiol. Biotechnol. 2008, 18, 532–538. [Google Scholar]
- Converti, A.; Perego, P. Use of carbon and energy balances in the study of the anaerobic metabolism of Enterobacter aerogenes at variable starting glucose concentrations. J. Appl. Microbiol. Biotechnol. 2002, 59, 303–309. [Google Scholar]
- Habtu, N.G. Catalytic Wet Air Oxidation of Phenol over Active Carbon in Fixed Bed Reactor: Steady State and Periodic Operation. Ph.D. Thesis, University of Rovira i Virgili, Tarragona, Spain, 2011. [Google Scholar]
- Costerton, J.W.; Lewandowski, Z.; Caldwell, D.E.; Korber, D.R.; Lappin-Scott, H.M. Microbial biofilms. Annu. Rev. Microbiol. 1995, 49, 711–745. [Google Scholar] [CrossRef]
- Thompson, L.J.; Gray, V.; Lindsay, D.; von Holy, A. Carbon: Nitrogen: Phosphorus ratios influence biofilm formation by Enterobacter cloacae and Citrobacter freundii. J. Appl. Microbiol. 2006, 101, 1364–5072. [Google Scholar] [CrossRef]
- Donlan, R.M. Biofilms: Microbial life on surfaces. Emerg. Infect. Dis. 2002, 8, 881–890. [Google Scholar] [CrossRef] [PubMed]
- Singh, P.; Patil, Y.; Rale, V. Biosurfactant production: Emerging trends and promising strategies. J. Appl. Microbiol. 2019, 126, 2–13. [Google Scholar] [CrossRef] [PubMed] [Green Version]
- Choughuri, I.; Khanra, K.; Maity, P. Structure and biological properties of exopolisaccharide isolated from Citrobacter freundii. Int. J. Biol. Macromol. 2021, 168, 537–549. [Google Scholar] [CrossRef] [PubMed]
- Cowan, M.M.; Warren, T.M.; Fletcher, M. Mixed species colonization of solid surfaces in laboratory biofilms. Biofouling 1991, 3, 23–34. [Google Scholar] [CrossRef]
- Lindsay, D.; von Holy, A. What food safety professionals should know about bacterial biofilms. Br. Food J. 2006, 108, 27–37. [Google Scholar] [CrossRef]
- Lee, Y.; Miyahara, J.; Noike, T. Effect of iron concentration on hydrogen fermentation. Bioresour. Technol. 2001, 80, 227–231. [Google Scholar] [CrossRef]
- Gauthier, F.; Archibald, F. The ecology of “fecal indicator” bacteria commonly found in pulp and paper mill water systems. Water Res. 2001, 35, 2207–2218. [Google Scholar] [CrossRef]
- Sharma, M.; Anand, S.K. Biofilms evaluation as an essential component of HACCP for food/dairy processing industry—A case. Food Control 2002, 13, 469–477. [Google Scholar] [CrossRef]
- Yeh, M.-S.; Wei, Y.-H.; Chang, J.-S. Enhanced production of surfactin from Bacillus subtilis by addition of solid carriers. Biotechnol. Progr. 2005, 21, 1329–1334. [Google Scholar] [CrossRef] [PubMed]
- Yamashita, M.; Nakagawa, Y.; Li, H.; Matsuyama, T. Silica gel-dependent production of prodigiosin and serrawettins by Serratia marcescens in a liquid culture. Microb. Environ. 2001, 16, 250–254. [Google Scholar] [CrossRef] [Green Version]
- Imaizumi, A.; Suzuki, Y.; Ono, S.; Sato, H. Heptakis (2,6-O-dimethyl) bcyclodextrin: A novel growth stimulant for Bordetella pertussis phase I. J. Clin. Microbiol. 1983, 17, 781. [Google Scholar] [CrossRef] [PubMed] [Green Version]
- Maru, B.T.; Medina, F.; Sueiras, J.E.; Stchigel, A.M. Biohydrogen production from different biodegradable substrates through dark fermentation. New Biotechnol. 2009, 25, 216–217. [Google Scholar] [CrossRef]






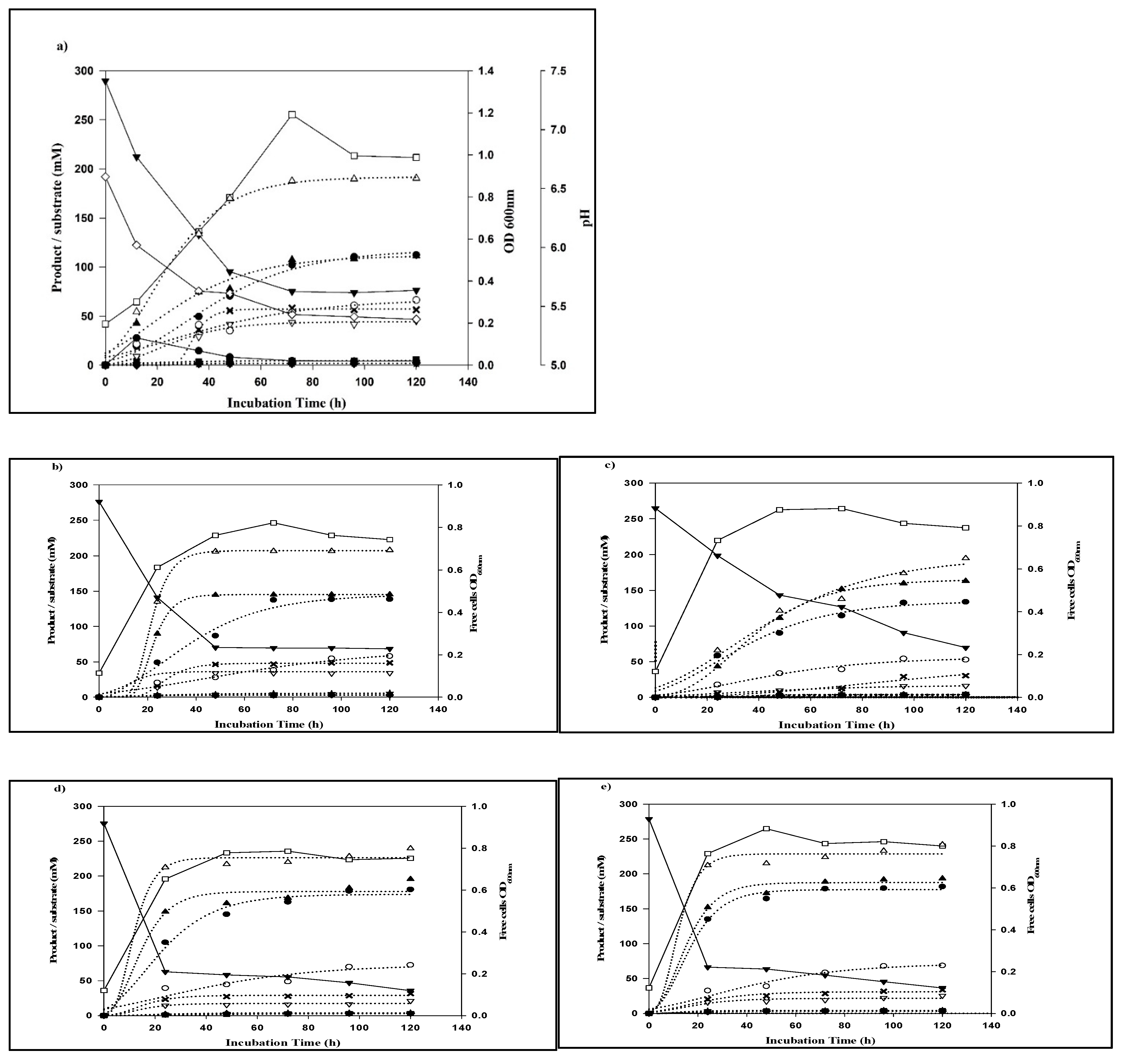
), glycerol consumed (Δ), lactate (✖) acetate (■), 1,3-propanediol (∇), ethanol (▲), butyrate (♦), succinate(★),formate (
), H2 (●), CO2 (○), pH(
) and OD600 nm (
). The data was fitted using the modified Gompertz equation (Equations (1) and (2)) (dotted lines).
), glycerol consumed (Δ), lactate (✖) acetate (■), 1,3-propanediol (∇), ethanol (▲), butyrate (♦), succinate(★),formate (
), H2 (●), CO2 (○), pH(
) and OD600 nm (
). The data was fitted using the modified Gompertz equation (Equations (1) and (2)) (dotted lines).



| Carrier | Before Dark Fermentation | After Dark Fermentation | ||||
|---|---|---|---|---|---|---|
| * SBET (m2/g) | Porous Volume (cm3/g) | Porous Size (nm) | SBET (m2/g) | Porous Volume (cm3/g) | Porous Size (nm) | |
| Fe2O3 | 205 | 0.779 | 13.99 | 158 | 0.403 | 2.897 |
| γ-Al2O3 | 253 | 0.450 | 4.54 | 105 | 0.192 | 2.271 |
| SiO2 | 685 | 0.822 | 3.32 | 202 | 0.347 | 1.872 |
| Fe/SiO2 | 440 | 0.540 | 2.84 | 150 | 0.251 | 1.871 |
| AC | 1195 | 0.675 | 1.69 | 462 | 0.269 | 1.614 |
| Fe/AC | 736 | 0.413 | 0.84 | 382 | 0.085 | 0.807 |
| Support | Initial Substrate | Maximal Consumption (Smax,i) and Production (Pmax,i) * | Support | Glycerol Conversion | C-Balance | ξ-Reduction | ||||||||
|---|---|---|---|---|---|---|---|---|---|---|---|---|---|---|
| (mmol/L) | (%) | (%) | (%) | |||||||||||
| Smax | Pmax,EtOH | Pmax,Lact | Pmax,1,3PDO | Pmax,Suc | Pmax,Act | Pmax,But | Pmax,CO2 | Pmax,H2 | Specific Area (m2/g) | |||||
| FC | 266.8 | 195.7 | 111.8 | 56.2 | 44.3 | 1.9 | 4.6 | 3.2 | 63.7 | 120.1 | 72 | 109.8 | 108.5 | |
| Fe2O3 | 276.2 | 213 | 143.1 | 49 | 35.1 | 5.2 | 3.2 | 2.4 | 67.2 | 156 | 205 | 78.4 | 107.7 | 107.6 |
| Al2O3 | 264.7 | 196.6 | 165.3 | 28.2 | 17.1 | 3.3 | 3.8 | 3.8 | 55.9 | 135 | 253 | 72.3 | 104 | 107.2 |
| SiO2 | 275.6 | 226.4 | 182.9 | 29 | 17.4 | 3.9 | 3.1 | 3.1 | 73.3 | 174.8 | 685 | 83.3 | 100.6 | 102.7 |
| Fe/SiO2 | 278.8 | 228.8 | 182.6 | 38.1 | 21.8 | 4.2 | 3.9 | 3.3 | 71.9 | 183.5 | 440 | 84.2 | 104.1 | 106.2 |
| AC | 266.3 | 251 | 210.9 | 36.3 | 34.3 | 4.2 | 2 | 1.8 | 68.3 | 184.2 | 1195 | 92.4 | 107.8 | 112.9 |
| Fe/AC | 277.7 | 242.5 | 185.7 | 43.1 | 36.4 | 4.8 | 3.4 | 3.2 | 62.4 | 191.7 | 736 | 89.3 | 108 | 111.6 |
| Support | Initial Substrate | Maximal Consumption (Rmax,i) and Production Rate (Rmax, i) | Support | Dry Cell Weight (DCW) | Final pH | |||||||||
| (mmol/L/h) | (g/L) | |||||||||||||
| Rmax,S | Rmax,EtOH | Rmax,Lact | Rmax,1,3PDO | Rmax,Suc | RmaxAct | Rmax,But | Rmax,CO2 | Rmax,H2 | ||||||
| FC | 266.8 | 4.5 | 1.9 | 4.8 | 1.1 | 0.1 | 0.1 | 0.1 | 0.8 | 1.8 | FC | 1.25 | 5.39 | |
| Fe2O3 | 276.2 | 14.1 | 10.5 | 2.5 | 2.2 | 0.1 | 0.1 | 0.1 | 0.6 | 2.4 | Fe2O3 | 1.58 | 5.61 | |
| Al2O3 | 264.7 | 2.4 | 3.2 | 0.4 | 0.2 | 0.1 | 0.1 | 0.3 | 0.7 | 2.1 | Al2O3 | 1.65 | 5.81 | |
| SiO2 | 275.6 | 15.9 | 8.6 | 1.3 | 0.8 | 0.1 | 0 | 0.1 | 0.8 | 4.4 | SiO2 | 1.88 | 5.82 | |
| Fe/SiO2 | 278.8 | 15.2 | 9.1 | 0.8 | 0.6 | 0.2 | 0.1 | 0.1 | 0.9 | 7.3 | Fe/SiO2 | 2.05 | 5.72 | |
| AC | 266.3 | 24.1 | 13.1 | 2.7 | 2.2 | 0.2 | 0.1 | 0.1 | 1.8 | 7.6 | AC | 2.22 | 5.87 | |
| Fe/AC | 277.7 | 16.2 | 9.7 | 2.1 | 1.3 | 0.1 | 0.1 | 0.1 | 0.9 | 7.8 | Fe/AC | 2.19 | 5.66 | |
| Support | Maximal Specific (qmax,i) and Production Rate (qmax, i) | ||||||||||
|---|---|---|---|---|---|---|---|---|---|---|---|
| Specific Area (m2/g) | (mmol/gDCW × h) | ||||||||||
| qmax,S | qmax,EtOH | qmax,Lact | qmax,1,3PDO | qmax,Suc | qmaxAct | qmaxBut | qmax,CO2 | qmax,H2 | |||
| FC | 3.6 | 1.5 | 3.8 | 0.9 | 0.1 | 0.1 | 0 | 0.6 | 1.4 | ||
| Fe2O3 | 205 | 8.9 | 6.6 | 1.6 | 1.4 | 0.1 | 0.1 | 0.1 | 0.4 | 1.5 | |
| Al2O3 | 253 | 1.4 | 2 | 0.2 | 0.1 | 0 | 0.1 | 0.2 | 0.4 | 1.3 | |
| SiO2 | 685 | 8.4 | 4.5 | 0.7 | 0.4 | 0.1 | 0 | 0 | 0.4 | 2.4 | |
| Fe/SiO2 | 440 | 7.4 | 4.2 | 0.4 | 0.3 | 0.1 | 0.1 | 0.1 | 0.4 | 3.6 | |
| AC | 1195 | 10.8 | 5.9 | 1.2 | 1 | 0.1 | 0 | 0 | 0.8 | 3.4 | |
| Fe/AC | 736 | 7.4 | 4.4 | 1 | 0.6 | 0.1 | 0 | 0 | 0.4 | 3.6 | |
| Support | Molar Yields | Biomass Yield | |||||||||
| Specific Area (m2/g) | (mol/mol) | gDCWmax/mol | |||||||||
| YEtoH | YLact | Y1,3PDO | Ysuc | YAct | Ybut | YCO2 | YH2 | ||||
| FC | 0.57 | 0.29 | 0.23 | 0.01 | 0.02 | 0.02 | 0.33 | 0.61 | 6.4 | ||
| Fe2O3 | 205 | 0.67 | 0.23 | 0.17 | 0.02 | 0.01 | 0.01 | 0.32 | 0.73 | 7.4 | |
| Al2O3 | 253 | 0.84 | 0.14 | 0.09 | 0.02 | 0.02 | 0.02 | 0.28 | 0.69 | 8.4 | |
| SiO2 | 685 | 0.81 | 0.13 | 0.08 | 0.02 | 0.01 | 0.01 | 0.32 | 0.77 | 8.3 | |
| Fe/SiO2 | 440 | 0.8 | 0.15 | 0.1 | 0.02 | 0.02 | 0.01 | 0.31 | 0.8 | 9.0 | |
| AC | 1195 | 0.84 | 0.14 | 0.14 | 0.02 | 0.01 | 0.01 | 0.27 | 0.74 | 8.8 | |
| Fe/AC | 736 | 0.77 | 0.18 | 0.15 | 0.02 | 0.01 | 0.01 | 0.26 | 0.79 | 9.0 | |
Publisher’s Note: MDPI stays neutral with regard to jurisdictional claims in published maps and institutional affiliations. |
© 2021 by the authors. Licensee MDPI, Basel, Switzerland. This article is an open access article distributed under the terms and conditions of the Creative Commons Attribution (CC BY) license (https://creativecommons.org/licenses/by/4.0/).
Share and Cite
Maru, B.T.; Lopez, F.; Medina, F.; Constantí, M. Improvement of Biohydrogen and Usable Chemical Products from Glycerol by Co-Culture of Enterobacter spH1 and Citrobacter freundii H3 Using Different Supports as Surface Immobilization. Fermentation 2021, 7, 154. https://doi.org/10.3390/fermentation7030154
Maru BT, Lopez F, Medina F, Constantí M. Improvement of Biohydrogen and Usable Chemical Products from Glycerol by Co-Culture of Enterobacter spH1 and Citrobacter freundii H3 Using Different Supports as Surface Immobilization. Fermentation. 2021; 7(3):154. https://doi.org/10.3390/fermentation7030154
Chicago/Turabian StyleMaru, Biniam T., Francisco Lopez, Francesc Medina, and Magda Constantí. 2021. "Improvement of Biohydrogen and Usable Chemical Products from Glycerol by Co-Culture of Enterobacter spH1 and Citrobacter freundii H3 Using Different Supports as Surface Immobilization" Fermentation 7, no. 3: 154. https://doi.org/10.3390/fermentation7030154
APA StyleMaru, B. T., Lopez, F., Medina, F., & Constantí, M. (2021). Improvement of Biohydrogen and Usable Chemical Products from Glycerol by Co-Culture of Enterobacter spH1 and Citrobacter freundii H3 Using Different Supports as Surface Immobilization. Fermentation, 7(3), 154. https://doi.org/10.3390/fermentation7030154

