Abstract
Rice protein is considered an important dietary protein source. Information regarding rice nutrient-related protein expression is still scarce, hence further study investigating this aspect is highly needed. Herein, we applied sequential window acquisition of all theoretical mass spectra (SWATH-MS) for a comparative proteomic analysis across six different Malaysian rice varieties. These consisted of black rice (BR: PH9 and BALI), red rice (RR: MRQ100 and MRM16), and white rice (WR: MRQ76 and MR297). This study aimed to unravel rice nutrient-related proteins and if their expressions were significantly different across varieties. A total of 4022 quantified proteins were found to be significantly expressed across all varieties with a false discovery rate (FDR) < 1% and p < 0.05. While among 1792 differentially expressed proteins (DEPs) that were identified, 74 DEPs had functions related to nutrient biosynthesis. There were significantly higher expressions of key enzymes for the carotenoid and amylopectin biosynthesis pathways and seed storage proteins, i.e., prolamins and glutelins in RR. Glycoproteins such as cupin and germin-like protein, as well as enzymes that are involved in the biosynthesis of thiamine and anthocyanin were abundantly found in BR. WR was particularly enriched with biosynthesis enzymes for essential amino acids (methionine and arginine), vitamin B, and unsaturated fatty acid. This study provides us insights into the differential expressions of storage and functional proteins with nutrient-related properties in shaping rice grain pigmentations and plant immunity, as well as in contributing diverse health benefits as daily functional food for human consumption.
1. Introduction
Rice is one of the major staple foods worldwide, feeding more than half of the world’s population, where rice has become their daily energy source [1]. Rice grains could be an important dietary protein source, where its proteins accounts for about 24% of required dietary protein [2]. Besides a large quantity of starch (85–90%), rice grains contain a substantial amount of protein (7–12%), and a small portion of lipids (0.3–3%) [3]. The grain protein contents vary among different rice, for instance, red rice has the highest protein content (24.6%), followed by black rice (19.23%), brown rice (16.08%), aromatic rice (13.19%), and lastly the white rice (13.13%) [4]. Basically, these proteins are found to be seed storage proteins with the majority consisting of albumin, globulin, prolamin, and glutelin, in addition to a variety of essential amino acids. When compared to other staple crops such as oats, wheat and barley, the quality of rice proteins is considered more superior due to its balanced essential amino acids composition [5]. The protein composition of a particular rice is also closely linked to its palatability and physiochemical properties [6].
To date, there have been more than 110,000 cultivated rice varieties, with the preference for rice varying based on regions and cultures [7]. Nevertheless, traditional landrace rice varieties are still preserved by indigenous people in most of the rice farming regions, mainly because of their high nutritional properties and nutraceutical potentials [8]. These include pigmented rice (i.e., black, dark purple, brown, red) that contain health benefiting antioxidative and bioactive compounds, besides serve as a better source of essential amino acids, protein, vitamins, minerals, and lipids than non-pigmented rice. Among pigmented rice varieties, black rice has the highest content of anthocyanins, whereas a relatively higher amount of proanthocyanidin was observed in red rice [9]; both compounds are potent antioxidants in preventing chronic diseases that are associated with oxidative stress [10,11]. In concurrence with the increasing global health awareness among rice consumers, there has been a growing demand for these pigmented rice varieties, where rice consumption is no longer considered a sole energy source but also driven by its nutritional value and quality.
In the present study, we used a sequential window acquisition of all theoretical mass spectra (SWATH-MS)-based proteomics approach to identify and quantify proteins that were extracted from grains of six rice varieties with different pigmentations, namely black rice (Pulut Hitam 9 or PH9 and BALI), red rice (MRM16 and MRQ100), and white rice (MR297 and MRQ76). Of note is that PH9 and MRQ76 have additional attributes of which PH9 is known as a black glutinous rice, whereas MRQ76 is a white aromatic rice. Our primary aim was to investigate nutrient-related proteins that are differentially expressed across those varieties. Proteins with nutritional properties of interest include storage and functional proteins that are involved in the biosynthesis processes of amino acids, antioxidants, starch, fatty acids, and vitamins. This study has increased our understanding about the nutritional content of rice grains that differed in pigmentation, glutinosity, and aroma characteristics.
2. Materials and Methods
2.1. Plant Materials
The mature grains of six selected Malaysian rice varieties with their grain pigmentation categorized as black (i.e., BALI and Pulut Hitam or PH9), red (i.e., MRM16 and MRQ100), and white (i.e., MR297 and MRQ76), respectively, were harvested from MARDI Seberang Prai rice field, with coordinates at 5.5399872, 100.4700515. These rice varieties were chosen on the basis of different grain pigmentations and hence a varying antioxidant content. Of these, four pigmented rice varieties namely BALI, PH9, MRM16 and MRQ100 possess significantly higher antioxidant activities than the other two non-pigmented rice grains, i.e., MRQ76 and MR297, as reported earlier [12]. MRQ76 is also known to be an aromatic rice with good consumer demand, whereas MR297 is rich with micronutrients.
2.2. Rice Protein Extraction
The matured grains that were collected from three independent plants of each rice variety were de-husked and ground into a fine powder using liquid nitrogen. Approximately 0.5 g fine powder was suspended in 3 vol of extraction buffer (containing 700 mM sucrose, 500 mM Tris pH 8, 100 mM KCl, 2% (v/v) β-mercaptoethanol, 2 mM phenylmethylsulfonyl fluoride pH 8.5) and the total protein was extracted according to a modified phenol extraction method as described in Faurobert, et al. [13]. The obtained protein pellets were resuspended using 8 M urea in 100 mM Tris-HCl (pH 8.8), and vortexed before water-sonication for 15 min. The concentration of each protein sample was determined using a bicinchoninic acid (BCA) assay.
2.3. Determination of Protein Composition via SWATH-MS
2.3.1. Sample Preparation and SWATH-Based Proteomics
Proteins (50 µg) were reduced using 10 mM dithiothreitol (DTT) for 1 h at 37 °C, followed by alkylation using 25 mM iodoacetamide (IAA) for 30 min in the dark and trypsin digestion (1:20 trypsin/protein ratio) for 16 h at 37 °C. The digested samples were purified using CDS Analytical™ Empore™ styrenedivinylbenzene reverse phase sulfonate (SDB-RPS) polymer sorbent StageTips (Thermo Fisher Scientific, Sunnyvale, CA, USA), dried, and resuspended in 50 µL of loading buffer (2% acetonitrile and 0.1% formic acid). A total of 4 μL of each digested sample was diluted with 6 μL of loading buffer (total n = 18 samples) and was used for SWATH spectrometry analyses, where analyses were performed using a TripleTOF™ 6600 mass spectrometer (AB SCIEX, Foster City, CA, USA) coupled to an Eksigent NanoLC® Ultra systems (Eksigent Technologies, Dublin, CA, USA). There were two technical replicates for each injection and three biological replicates that were used for each rice variety (total 18 rice samples for 6 rice varieties). SWATH data were acquired with one blank run between every sample analysis. The detailed experimental steps are as described previously [14].
2.3.2. Data Analysis and Protein Identification
Protein identification was performed by searching the data files that were generated by two-dimensional data-independent acquisition mass spectrometry (2D IDA-MS) using the Paragon TM algorithm with ProteinPilot (v5.0, AB Sciex) (≥95% confidence and false discovery rate or FDR ≤ 1%). A customized rice database was created by combining both UniProt accessible resources, Oryza sativa subsp. japonica (Strain: cv. Nipponbare, Proteome ID: UP000059680) and Oryza sativa subsp. indica (Strain: cv. 93-11, Proteome ID: UP000007015) for protein annotation. Data from 2D-IDAs ion library and SWATH files were imported into PeakView version 2.2 (AB SCIEX Foster City, CA, USA), where protein peak area information were extracted and used for quantification based on the following parameters: 1. The top 6 most intense fragments of each peptide (75 ppm mass tolerance, 5 min retention time window); 2. No shared or modified peptides; and 3. Peptides with confidence ≥ 99% and FDR ≤ 1% (max. 100 peptides per protein). The protein peaks were normalized to the total peak area for each run prior to performing the one-way analysis of variance (ANOVA), in order to statistically compare the relative protein peak areas between the samples. Differentially expressed proteins were defined as proteins that exhibited a fold-change (FC) ± 1.5 and p-value < 0.05. The maximum fold change (MaxFC) was calculated based on the ratio of the largest over the lowest rice group average fold change of protein abundance, where BR, RR, and WR are the three designated rice groups.
2.4. Bioinformatics and Statistical Analyses
Functional enrichment analysis via Gene Ontology (GO) annotation was subsequently carried out on significantly expressed proteins (FDR ≤ 1%) using agriGO (http://bioinfo.cau.edu.cn/agriGO, accessed on 12 June 2022). A GO chart was visualized using WEGO 2.0 (http://wego.genomics.org.cn, accessed on 20 June 2022). Volcano plot and K-means clustering (Pearson correlation method) analyses were performed on log2 transformed normalized protein abundance data using MultiExperiment Viewer software (http://www.tm4.org/mev.html, accessed on 24 June 2022). A Protein–protein interactions (PPIs) network between DEPs in BR, RR, and WR varieties was constructed using STRING database and were visualized in Cytoscape version 3.8 [15].
3. Results
3.1. Overall Proteome Representation across Pigmented and Non-Pigmented Rice Grains
The present study employed SWATH-MS-based quantitative proteomics to compare the proteomes across rice varieties comprised of black rice (BR: PH9 and BALI), red rice (RR: MRM16 and MRQ100), and white rice (WR: MRQ76 and MR297) (Figure 1) with triplicate samples for each variety. The MS raw data, including the results of protein and peptide identification, were deposited to the ProteomeXchange Consortium with the identifier PXD018338 [10]. A total of 5673 proteins were identified across 18 samples on the basis of the data-dependent acquisition. Among these, 4022 significantly expressed proteins were identified (FDR < 1%, confidence level of ≥99%). Amongst a total of 3280 annotated proteins that were retrieved from the rice databases, there were 1606, 2766, and 2277 functional terms that were assigned to all 4022 identified proteins that were assigned to cellular component (CC), molecular function (MF), and biological process (BP), respectively (Figure 2). As for cellular component ontology, annotated proteins were majorly assigned to cell (1441 proteins), cell part (1441 proteins), and organelle (1128 proteins), where these proteins were actively involved in metabolic (1865 proteins) and cellular processes (1371 proteins). Meanwhile, the molecular functions of these proteins were largely associated with catalytic activity (1807 proteins) and binding (1751 proteins). Of note is that a small portion of annotated proteins (50 proteins) exhibited antioxidant activity, suggesting that they are the key contributors of rice grain antioxidant properties.
Figure 1.
Selected de-husked grains of pigmented and non-pigmented rice varieties that were used in this study. Black rice (BR) varieties are represented by PH9 (A) and BALI (B); red rice varieties (RR) consist of MRM16 (C) and MRQ100 (D); and white rice (WR) varieties are comprised of MRQ76 (E) and MR297 (F).
Figure 2.
Gene ontology annotation for all 4022 identified proteins of Oryza sativa indica spp. across four pigmented and two non-pigmented rice varieties using the WEGO biological tool. The annotations were grouped into three categories: cellular component, molecular function, and biological process. The left-hand Y axis represents the percentage of the genes in categories and the right-hand Y axis stands for the number of the genes in each group.
3.2. Differentially Expressed Proteins across Pigmented and Non-Pigmented Rice Varieties
For a better understanding of the proteomic profile underpinned by distinct grain pigmentation of black, red, and white rice varieties, we performed differential protein expression analysis based on three designated groups: 1. Black rice (BR: PH9 and BALI), 2. Red rice (RR: MRM16 and MRQ100), and 3. white rice (WR: MRQ76 and MR297). ANOVA analysis revealed that a total of 1716 differentially expressed proteins (DEPs) were identified from 4022 normalized proteins across all varieties. Figure 3 shows the highest significant differences between BR and WR, where 195 and 481 of up- and down-regulated proteins were found, respectively (fold change ±1.5, p-value < 0.05). This was followed by RR vs. WR, where 192 and 448 proteins were deemed to be significantly up- and down-regulated, respectively. While BR vs. RR showed the lowest numbers of DEPs, with a total of 163 up-regulated and 101 down-regulated proteins.

Figure 3.
Volcano plots between black and white rice (BR vs. WR) (A), red and white rice (RR vs. WR) (B), and black and red rice (BR vs. RR) (C). The protein abundance data were plotted on a log2 scale (x-axis) versus a –log10 transformation of the p-value (y-axis). A significant cut off (p < 0.05) was set (grey line on the y-axis) and the significant up- and down-regulated proteins were determined using ± 1.5-fold change, respectively. BR vs. WR: 195 and 481 significant up- dan down-regulated proteins, respectively (A); RR vs. WR: 192 and 448 significant up- and down-regulated proteins, respectively (B); and BR vs. RR: 163 and 101 significant up- and down-regulated proteins, respectively (C).
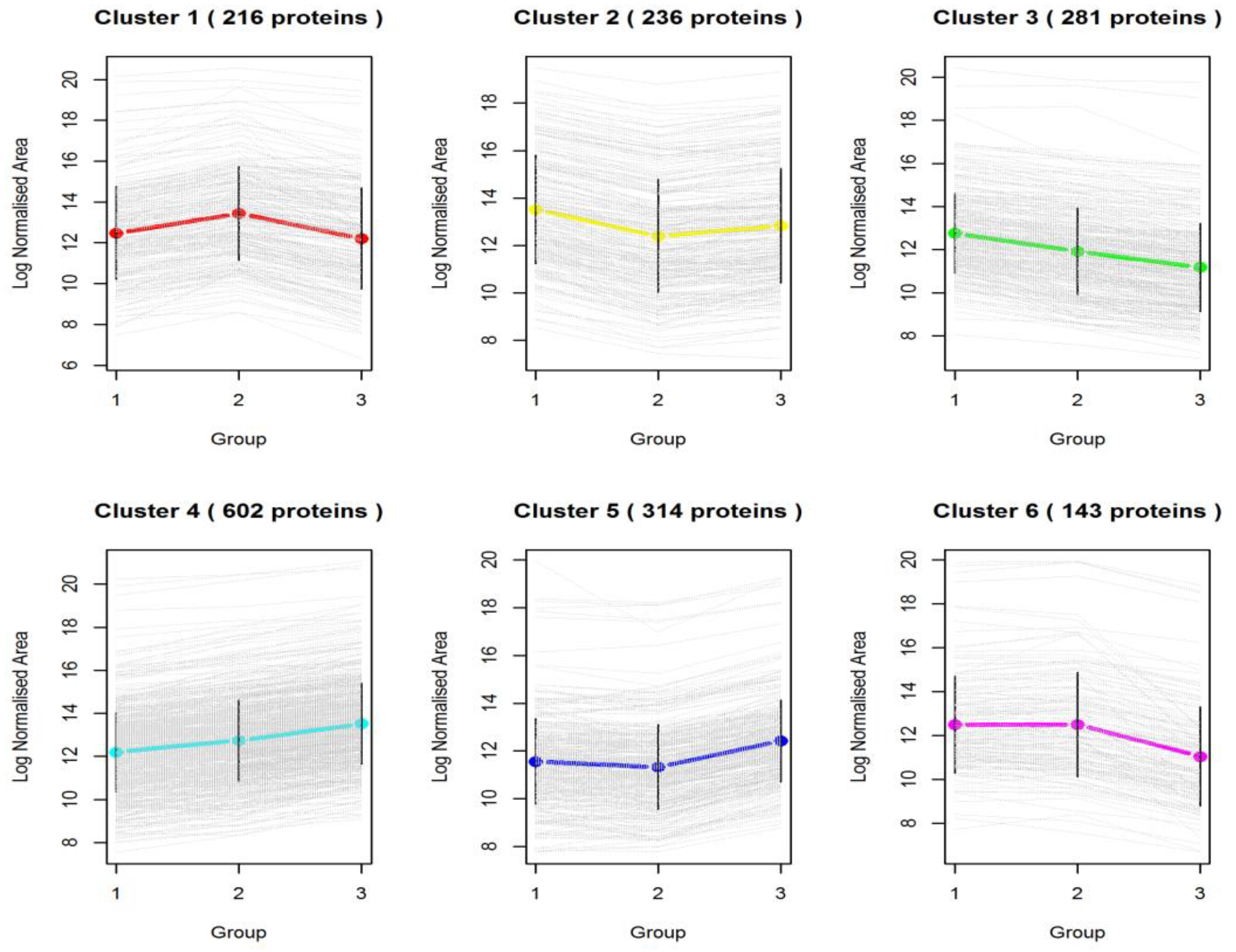
A total of six clusters were derived from K-means clustering analysis, where the average protein expression pattern could be deduced from the line joining the centroid of each rice group in an individual cluster (Figure 4). Notably, Cluster 4 constituted the greatest number of differentially expressed proteins (602 DEPs), followed by Cluster 5 (314 DEPs) and Cluster 3 (281 DEPs). Interestingly, DEPs in both Cluster 4 and 5 revealed notably higher expressions in WR compared to BR or RR. These findings indicated that WR displayed a unique protein expression compared to the pigmented ones (BR and RR).
Figure 4.
K-means clustering of differentially expressed proteins across three designated rice groups (BR, RR, and WR). Values represent the log transformed normalized abundance value of proteins that significantly differed between group(s) with a fold change ±1.5 and significance threshold, p < 0.05 according to ANOVA analysis. Group 1, 2, and 3 represent BR, RR, and WR, respectively. Colored data points mark the centroids of each cluster.
3.3. Nutrient-Related Differentially Expressed Proteins between Rice Groups
All DEPs with functions that were involved in rice nutrient biosynthesis processes were next marked based on BlastP and GO annotation search results. This allows us to examine the association between distinctive grain pigmentation and its nutritional properties. From a total of 1716 DEPs that were identified, 74 or 4.3% of them were involved in the biosynthesis of amino acids and storage proteins, fatty acids and lipids, starch, secondary metabolites (e.g., flavonoid, terpenoid, anthocyanins), and vitamins (Table S1). Of these, the highest number of nutrient-related DEPs were expressed in WR (34 DEPs), followed by RR (19 DEPs) and BR (9 DEPs). Among these, DEP with the highest fold change was found to be Prolamin PPROL 14E (Q0DJ45) (~300-FC), with its expression abundantly found in both BR and RR but exclusively high in BR: BALI. Other types of prolamins which include 13- kDa (P17048 and Q6ZIX4) and 17-kDa (P20698) prolamins were also abundantly expressed in RR, ranging from 54- to 185-FC with a predominant expression in MRM16. Besides prolamins, other seed storage proteins such as glutelin type-A (Q09151 and P07730) and B (Q6T725 and P14323) were also abundantly found in RR, particularly in MRQ100 (1.7- to 29.8-FC).
In addition to seed storage proteins, RR particularly for MRM16 was found to be significantly enriched with starch biosynthetic enzymes. These enzymes include ADP-glucose pyrophosphorylase (P93430, 4-FC), in addition to starch synthases (B1B5Z0 and A2YAY8, 3 to 16-FC) and soluble starch synthases (SSIIa and SSIIIa) (Q0DDE3 and A0A0P0XCU3, approx. 5-FCs). While several other starch biosynthesis enzymes such as pullulanases (A0A0P0W7K6 and B8AV01, 24 to 49 FCs) and isoamylases (ISA2 and ISA3, approx. 3-FCs) were abundantly found in WR. Nutrient-related DEPs with exclusively high expression in BR include cupin type-1 domain-containing protein (B8ALS3, 37-FC) and germin-like proteins (A2XN35, 33-FC), in addition to antioxidative proteins, e.g., chalcone synthase (Q2R3A1, 22-FC) and leucoanthocyanidin dioxygenase 1 (Q93VC3, 13-FC). In contrast, WR was enriched with proteins that were involved in the biosynthesis of essential amino acids such as methionine (A2ZMX3, 9-FC) and arginine (Q6YVI0 and Q10N79, 2 to 3-FC); vitamin B complex, i.e., thiamine thiazole synthase (Q7XXS4, 2.9-FC), pyridoxal 5′-phosphate synthase (Q8W3D0, 2.2-FC), and 6,7-dimethyl-8-ribityllumazine synthase (Q7XUK6, 2.4-FC); vitamin C, i.e., inositol-1-monophosphatase (Q6F2U7, 2.3-FC); and fatty acid, i.e., FabA domain-containing protein (A2YSI3, 4-FC), pyruvate kinase (B8ACE9, 2-FC), and oleosin (Q10EK7, 3-FC).
3.4. Protein–Protein Interactions among Nutrient-Related Differentially Expressed Proteins between Rice Groups
In silico prediction of protein–protein interactions (PPIs) enables the identification of interacting DEPs clusters in a network constructed on the basis of different grain pigmentations across black, red, and white rice varieties. Among all 78 DEP clusters that were identified, 30, 13, and 35 DEPs were predicted to have interactions in BR, RR, and WR, respectively (Figure 5). Gene ontology and Kyoto Encyclopedia of Genes and Genomes (KEGG) pathway analyses were performed to understand how these functional DEPs that are involved in certain metabolic pathways interact with each other. According to the KEGG pathway enrichment analysis results, there were 11, 5, and 11 pathways that were enriched in PPIs of BR, RR, and WR, respectively (Table 1). Of these, pathways related to the biosynthesis of amino acids and proteins (aminoacyl-tRNA synthesis) were found to be significantly enriched in all three rice groups (p < 0.05). In contrast, some enriched KEGG pathways that were represented by those DEPs were found to be unique to each rice group. For instance, BR were exclusively enriched with DEPs that were involved in the biosynthesis of fatty acids, while RR were particularly enriched in starch and sucrose metabolism (p = 0.0027). It is worth mentioning that some DEPs in WR were involved in terpenoid backbone biosynthesis and the MAPK signaling pathway in plant.

Figure 5.
Protein–protein interactions (PPIs) network between differential expression proteins (DEPs) in black (PH9 and BALI), red (MRM16 and MRQ100), and white (MRQ76 and MR297) rice. Colors indicate nodes of different types of protein. A total of 30, 13, and 35 DEPs were interacted in black, red, and white rice varieties, respectively (A–C).
Table 1.
KEGG and gene ontology (GO) enrichment analysis for differentially expressed proteins (DEPs) in the protein–protein interaction network of black (BR), red (RR) and white (WR) rice group.
4. Discussion
The SWATH-MS-based proteomic analysis approach was undertaken in this study to provide a global view on the protein expression across pigmented and on-pigmented rice grains. Among a total of 4022 proteins that were identified from all six selected rice varieties, approximately half of those proteins were involved in metabolic (56.9%) and cellular processes (41.8%). The molecular function of these proteins was mainly associated with catalytic activity (55.1%) and binding (53.4%). In general, rice grain proteins are largely constituted of seed storage proteins (~90%) and a small portion of functional proteins (~10%). Seed storage proteins, which accumulate gradually during seed developmental stages as an important nutrient reservoir, are mostly hydrophilic and involved in catalytic, binding, cellular, and metabolic processes [16]. These proteins could act as the enabler for initiating a series of seed germination events such as storage substance degradation and mobilization, phosphorylation, and substrate binding upon imbibition [17]. In contrast, the functional proteins are lesser in abundance, mostly represented by proteins that are derived from hydrophobic acids (alanine, leucine, and proline); aromatic amino acids (phenylalanine, tryptophane, and tyrosine); and sulfur-rich amino acids (methionine and cysteine), and reported to exhibit antioxidant activity [18]. Notably, the present study revealed approximately 1.5% antioxidative proteins (50 from a total of 3280 annotated proteins) across pigmented and non-pigmented rice grains, which was reasonably higher than 1% antioxidative protein from white rice grain itself as reported earlier by Yang, et al. [19].
Approximately 4.3% of DEPs with functions related to rice nutrient biosynthesis were identified from all DEPs when a targeted protein annotation with GO enrichment analysis was performed. Among the six clusters derived by K-mean clustering analysis, it was observed that nutrient-related DEPs were found to be exclusively enriched in BR (Cluster 3), RR (Cluster 1), and WR (Cluster 4 and 5), with approximately 12% (9/74 DEPs), 26% (19/74 DEPs), and 46% (34/74 DEPs), respectively. The highest expression of protein among all was prolamins (~54- to 300-FC) and these proteins are abundantly available in black and red rice. Similarly, glutelin type A and B were also abundant in black and red rice, particularly in red rice of MRQ100 with a maximum 30-fold change observed. Both prolamins and glutelin are the major seed storage proteins in rice, where they accounted for 20–30% and 70–80% of the total seed protein content, respectively [20,21]. These seed storage proteins are synthesized and accumulated during grain filling and become the stored nitrogen sources for germinating seedlings. The exceptional high expressions of these proteins in red rice varieties could be reasonably explained by significant interactions between ribosomal proteins and proteins that are involved in the translation process and aminoacyl-tRNA biosynthesis pathway. According to a study that was reported by Wang et al. [22], both glutelin and prolamin could exert antioxidant activities in the in vitro gastrointestinal tract. They found that when these proteins were subjected to pepsin-pancreatin digestion, glutelin exhibited stronger free scavenging and metal chelating activities as well as reducing power compared to prolamin. The antioxidant activities of these proteins were likely to be due to the release of antioxidant peptides IY and VY upon pepsin treatment [23]. In addition, prolamin was found to exert bioactive activities which could activate anti-leukemia immunity in human [24,25], with additional hypoglycemic as well as antioxidant and antihypertensive effects [26,27].
The expressions of stress-related glycoproteins namely cupin type-1 domain-containing protein and germin-like proteins were found to be up-regulated the most in BR. These two proteins are highly similar in structure where germin-like proteins are part of the cupin superfamily proteins [28,29,30]. Cupin and germin-like proteins possess superoxide dismutase activity [31,32], which is an important antioxidant defense against oxidative stress [33], thereby increasing plant resistance against broad-spectrum diseases [34,35,36] and abiotic stresses [37,38,39]. These characteristics could be explained by the oxalate oxidase activity of germin-like protein which catalyzes the aerobic oxidation of oxalic acid into carbon dioxide and hydrogen peroxide, and in turn triggers plant defense mechanisms [40]. In addition, the functional proteins that are involved in rice pericarp pigment biosynthesis were significantly enriched in black and red rice varieties. Notably, enzymes that catalyze the very first (chalcone synthase) and penultimate steps (anthocyanidin synthase) of the flavonoid biosynthesis pathway were abundantly found in black rice varieties, while a significant increase in geranylgeranyl diphosphate synthase, the precursor for carotenoid biosynthesis was observed in red rice varieties. Studies have reported the important roles of chalcone synthase, anthocyanins, and geranylgeranyl diphosphate synthase in contributing to plant biotic and abiotic resistances [41,42,43].
The palatability of cooked rice is always of great concern for the consumer and rice breeders, which are highly dependent on rice grain’s starch content and composition (amylose and amylopectin). The present study found that red rice varieties were significantly enriched with starch biosynthetic enzymes with a relatively higher expression observed in MRM16. This is in accordance with the PPI analysis results, where DEPs from red rice varieties were demonstrated to strongly interact with proteins that were involved in starch and sucrose metabolism. The enriched enzymes include ADP-glucose pyrophosphorylase, which catalyzes the first step of starch biosynthesis in the cytosol, in addition to starch synthase and soluble starch synthase (SSIIa and SSIIIa) in the subsequent reactions. Mutation of either SSIIa or SSIIIa and double mutation of these genes produced rice grains with a chalky kernel appearance, decreased viscosity, and increased amylose content [44]. In contrast, the enrichment of starch synthase and soluble starch synthase could lead to increased amylopectin content in rice, where cooked rice becomes softer, with a higher degree of stickiness and palatability [45,46]. In the present study, white rice varieties are hypothesized to have increased pullulanase and isoamylase activities, as up-regulated expressions of putative pullulanases (A0A0P0W7K6 and B8AV01) and isoamylases (ISA2 and ISA3) were observed. Both pullulanase and isoamylase hydrolyse α-1-6 linkages of amylopectin result in a water-insoluble amylopectin structure and resistant starch, thereby increasing the apparent amylose content of rice grain [47,48]. These collectively could reasonably explain the a lower amylose content in red rice varieties (i.e., MRM16, amylose content = 17.6%) than white rice varieties (i.e., MRQ76, amylose content = 19%; MR297, amylose content = 23%) [49,50].
Nutrient compositions such as fatty acids, essential amino acids, micronutrients, and vitamins are among those important components contributing to the nutritional and quality attributes of a particular rice grain. The present study revealed a range of functional proteins that were associated with these attributes that were found to be highly expressed in black and white rice varieties. For instance, significantly up-regulated expressions of FabA domain-containing protein, pyruvate kinase, and oleosin, which are crucial for the biosynthesis and mobilization of unsaturated fatty acids [51,52,53], were found particularly in the white rice varieties, where these health benefiting unsaturated fatty acids are mostly available within the aleurone layer of rice bran. Likewise, white rice varieties were significantly enriched with functional proteins that were involved in the biosynthesis of essential amino acids such as methionine and arginine. Studies have shown that proteins containing methionine or arginine residues have the ability to scavenge reactive oxygen species (ROS), effectively defending against oxidative stress [54,55,56]. Apart from these, the biosynthetic enzymes for vitamin B1, i.e., thiamine thiazole synthase and thiamine pyrophosphokinase, were abundantly expressed in white rice (higher in MRQ76) and black rice (higher in BALI), respectively. In contrast, the proteins that are involved in vitamin B2 and B6 biosynthetic processes were highly expressed in white rice, as 6,7-dimethyl-8-ribityllumazine synthase and pyridoxal 5′-phosphate synthase subunit PDX1.2 were the key enzymes for those respective processes. The potency of vitamin B family members as antioxidants has been well-studied and their roles in activating defense mechanisms against environmental stresses in plants has been discussed [57,58,59]. This is plausible that a collective antioxidant activity that is exerted by vitamin Bs and essential amino acids confer pest and disease tolerance and resistance characteristics in white rice varieties (MRQ76 and MR297) as reported earlier [60,61,62]. This could be supported by PPI analysis where oxidative stress and plant defense associated pathways i.e., oxidative phosphorylation, peroxisome and MAPK signaling pathway, were over-represented in white rice varieties. More importantly, the consumption of these antioxidative proteins could protect our body against oxidative stresses [54,56,63,64].
5. Conclusions
A general public acceptance for an ideal diet should be largely composed of whole-grain foods such as rice that is enriched with antioxidants, essential amino acids, unsaturated fats, vitamins, and micronutrients, as well as high amylose content that is known to lower risk of non-communicable diseases. The present study has clearly alluded to the potential of rice with different grain pigmentations as a daily functional food, on the basis of their unique nutritional protein compositions contributing to a diverse health benefit for human consumption. As some of the rice nutrient-related proteins are removed during the milling process, consumers are, therefore, advised to choose lightly milled rice, especially for white rice, in order to retain as much of the nutrition as possible, and therefore, the health benefits that are available from rice grain. In addition, information on the varying protein content and composition governed by grain pigmentation in this selected rice germplasm is an invaluable resource and can be utilized for future works such as developing protein-based biomarkers that are related to nutritional and quality traits. Hence, the outcome of this study holds high potential in facilitating rice breeding activities for generating elite rice varieties with enhanced nutritional levels and improved health benefits.
Supplementary Materials
The following supporting information can be downloaded at: https://www.mdpi.com/article/10.3390/crops3010007/s1, Table S1: Nutrient-related differentially expressed proteins across pigmented and non-pigmented rice varieties.
Author Contributions
Y.S.S.: conceptualization, methodology, formal analysis, investigation, data curation, visualization, and writing the original manuscript. W.M.A. conceptualization, methodology, validation, resources, and review and editing the manuscript. R.-A.Z.-A.: formal analysis, data curation, visualization, and review and editing the manuscript. M.S.F.A.R.: resources, project administration, and review and the editing manuscript. S.S.: supervision, project administration, funding acquisition, and review and the editing manuscript. N.A.-B.: conceptualization, methodology, investigation, supervision, project administration, and review and editing the manuscript. All authors proofread the final submission. All authors have read and agreed to the published version of the manuscript.
Funding
This research received no external funding.
Data Availability Statement
The raw MS data of the pigmented and non-pigmented rice varieties are available at ProteomeXchange database with accession number PXD018338 and can be accessed via this link: https://www.ebi.ac.uk/pride/archive/projects/PXD018338 (accessed on 2 April 2020).
Acknowledgments
This research was funded by Malaysian Agricultural Research and Development Institute (MARDI) RMK-11 Developmental Fund (P21003004010001).
Conflicts of Interest
The authors declare no conflict of interest.
References
- Sharif, M.K.; Butt, M.S.; Anjum, F.M.; Khan, S.H. Rice bran: A novel functional ingredient. Crit. Rev. Food Sci. Nutr. 2014, 54, 807–816. [Google Scholar] [CrossRef] [PubMed]
- Kennedy, G.; Burlingame, B.; Nguyen, V. Nutritional Contribution of Rice and Impact of Biotechnology and Biodiversity in Rice-Consuming Countries; FAO: Rome, Italy, 2003. [Google Scholar]
- Yoshida, H.; Tomiyama, Y.; Mizushina, Y. Lipid components, fatty acids and triacylglycerol molecular species of black and red rices. Food Chem. 2010, 123, 210–215. [Google Scholar] [CrossRef]
- Neoh, W.T.; Lum, M.S. Nutritional quality of rice variety in Sabah, Malaysia. Trans. Sci. Technol. 2018, 5, 88–92. [Google Scholar]
- Patrick, R.M. Protein and Amino Acid Content of Rice as Affected by Environmental Modifications; Louisiana State University and Agricultural & Mechanical College: Baton Rouge, LA, USA, 1971. [Google Scholar]
- Martin, M.; Fitzgerald, M. Proteins in rice grains influence cooking properties! J. Cereal Sci. 2002, 36, 285–294. [Google Scholar] [CrossRef]
- Bai, S.; Yu, H.; Wang, B.; Li, J. Retrospective and perspective of rice breeding in China. J. Genet. Genom. 2018, 45, 603–612. [Google Scholar] [CrossRef]
- Savitha, P.; Kumari, R.U. Indigenous knowledge of traditional landraces in rice (Oryza sativa L.) in situ conservation of Tamil Nadu, India. Indian J. Tradit. Knowl. 2016, 15, 321–329. [Google Scholar]
- Thompson, L.U. Antioxidants and hormone-mediated health benefits of whole grains. Crit. Rev. Food Sci. Nutr. 1994, 34, 473–497. [Google Scholar] [CrossRef]
- Tsuda, T.; Horio, F.; Osawa, T. The role of anthocyanins as an antioxidant under oxidative stress in rats. BioFactors 2000, 13, 133–139. [Google Scholar] [CrossRef]
- Yang, L.; Xian, D.; Xiong, X.; Lai, R.; Song, J.; Zhong, J. Proanthocyanidins against oxidative stress: From molecular mechanisms to clinical applications. BioMed Res. Int. 2018, 2018, 8584136. [Google Scholar] [CrossRef]
- Sew, Y.S.; Ahmad, M.A.; Abd Rashid, M.R.; Abu Bakar, N.; Machap, C.; Ling, A.C.K.; Zainal Abidin, R.A.; Rozano, L.; Simoh, S. Antioxidant activities and microelement composition of Malaysian local pigmented and non-pigmented rice varieties. Trans. Persat. Genet. Malays. 2016, 3, 205–212. [Google Scholar]
- Faurobert, M.; Mihr, C.; Bertin, N.; Pawlowski, T.; Negroni, L.; Sommerer, N.; Causse, M. Major proteome variations associated with cherry tomato pericarp development and ripening. Plant Physiol. 2007, 143, 1327–1346. [Google Scholar] [CrossRef]
- Sew, Y.S.; Aizat, W.M.; Ab Razak, M.S.F.; Zainal-Abidin, R.-A.; Simoh, S.; Abu-Bakar, N. Comprehensive proteomics data on whole rice grain of selected pigmented and non-pigmented rice varieties using SWATH-MS approach. Data Brief 2020, 31, 105927. [Google Scholar] [CrossRef]
- Shannon, P.; Markiel, A.; Ozier, O.; Baliga, N.S.; Wang, J.T.; Ramage, D.; Amin, N.; Schwikowski, B.; Ideker, T. Cytoscape: A software environment for integrated models of biomolecular interaction networks. Genome Res. 2003, 13, 2498–2504. [Google Scholar] [CrossRef]
- Kermode, A.R. Regulatory mechanisms involved in the transition from seed development to germination. Crit. Rev. Plant Sci. 1990, 9, 155–195. [Google Scholar] [CrossRef]
- Yang, P.; Li, X.; Wang, X.; Chen, H.; Chen, F.; Shen, S. Proteomic analysis of rice (Oryza sativa) seeds during germination. Proteomics 2007, 7, 3358–3368. [Google Scholar] [CrossRef]
- Xu, N.; Chen, G.; Liu, H. Antioxidative categorization of twenty amino acids based on experimental evaluation. Molecules 2017, 22, 2066. [Google Scholar] [CrossRef] [PubMed]
- Yang, Y.; Dai, L.; Xia, H.; Zhu, K.; Liu, H.; Chen, K. Protein profile of rice (Oryza sativa) seeds. Genet. Mol. Biol. 2013, 36, 87–92. [Google Scholar] [CrossRef] [PubMed]
- Ogawa, M.; Kumamaru, T.; Satoh, H.; Iwata, N.; Omura, T.; Kasai, Z.; Tanaka, K. Purification of protein body-I of rice seed and its polypeptide composition. Plant Cell Physiol. 1987, 28, 1517–1527. [Google Scholar]
- Zhao, W.-M.; Gatehouse, J.A.; Boulter, D. The purification and partial amino acid sequence of a polypeptide from the glutelin fraction of rice grains; homology to pea legumin. FEBS Lett. 1983, 162, 96–102. [Google Scholar] [CrossRef]
- Wang, Z.; Li, H.; Liang, M.; Yang, L. Glutelin and prolamin, different components of rice protein, exert differently in vitro antioxidant activities. J. Cereal Sci. 2016, 72, 108–116. [Google Scholar] [CrossRef]
- Szerszunowicz, I.; Kłobukowski, J. Characteristics of potential protein nutraceuticals of plant origin with antioxidant activity. Molecules 2020, 25, 1621. [Google Scholar] [CrossRef]
- Chen, Y.-J.; Chen, Y.-Y.; Wu, C.-T.; Yu, C.-C.; Liao, H.-F. Prolamin, a rice protein, augments anti-leukaemia immune response. J. Cereal Sci. 2010, 51, 189–197. [Google Scholar] [CrossRef]
- Liu, C.-K.; Chen, C.-A.; Lee, T.-Y.; Chang, H.-H.; Liao, H.-F.; Chen, Y.-J. Rice protein prolamin promotes anti-leukemia immunity and inhibits leukemia growth in vivo. Food Chem. Toxicol. 2018, 112, 435–440. [Google Scholar] [CrossRef] [PubMed]
- Fu, Y.; Yin, R.; Liu, Z.; Niu, Y.; Guo, E.; Cheng, R.; Diao, X.; Xue, Y.; Shen, Q. Hypoglycemic Effect of Prolamin from Cooked Foxtail Millet (Setaria italic) on Streptozotocin-Induced Diabetic Mice. Nutrients 2020, 12, 3452. [Google Scholar] [CrossRef] [PubMed]
- Valverde, M.E.; Orona-Tamayo, D.; Nieto-Rendón, B.; Paredes-López, O. Antioxidant and antihypertensive potential of protein fractions from flour and milk substitutes from canary seeds (Phalaris canariensis L.). Plant Foods Hum. Nutr. 2017, 72, 20–25. [Google Scholar] [CrossRef]
- Khuri, S.; Bakker, F.T.; Dunwell, J.M. Phylogeny, function, and evolution of the cupins, a structurally conserved, functionally diverse superfamily of proteins. Mol. Biol. Evol. 2001, 18, 593–605. [Google Scholar] [CrossRef]
- Uberto, R.; Moomaw, E.W. Protein similarity networks reveal relationships among sequence, structure, and function within the cupin superfamily. PLoS ONE 2013, 8, e74477. [Google Scholar] [CrossRef]
- Zimmermann, G.; Bäumlein, H.; Mock, H.-P.; Himmelbach, A.; Schweizer, P. The multigene family encoding germin-like proteins of barley. Regulation and function in basal host resistance. Plant Physiol. 2006, 142, 181–192. [Google Scholar] [CrossRef]
- Bernier, F.; Berna, A. Germins and germin-like proteins: Plant do-all proteins. But what do they do exactly? Plant Physiol. Biochem. 2001, 39, 545–554. [Google Scholar] [CrossRef]
- Gucciardo, S.; Wisniewski, J.-P.; Brewin, N.J.; Bornemann, S. A germin-like protein with superoxide dismutase activity in pea nodules with high protein sequence identity to a putative rhicadhesin receptor. J. Exp. Bot. 2007, 58, 1161–1171. [Google Scholar] [CrossRef]
- Alscher, R.G.; Erturk, N.; Heath, L.S. Role of superoxide dismutases (SODs) in controlling oxidative stress in plants. J. Exp. Bot. 2002, 53, 1331–1341. [Google Scholar] [CrossRef] [PubMed]
- Banerjee, J.; Maiti, M.K. Functional role of rice germin-like protein1 in regulation of plant height and disease resistance. Biochem. Biophys. Res. Commun. 2010, 394, 178–183. [Google Scholar] [CrossRef] [PubMed]
- Manosalva, P.M.; Davidson, R.M.; Liu, B.; Zhu, X.; Hulbert, S.H.; Leung, H.; Leach, J.E. A germin-like protein gene family functions as a complex quantitative trait locus conferring broad-spectrum disease resistance in rice. Plant Physiol. 2009, 149, 286–296. [Google Scholar] [CrossRef]
- Pei, Y.; Li, X.; Zhu, Y.; Ge, X.; Sun, Y.; Liu, N.; Jia, Y.; Li, F.; Hou, Y. GhABP19, a novel germin-like protein from Gossypium hirsutum, plays an important role in the regulation of resistance to Verticillium and Fusarium wilt pathogens. Front. Plant Sci. 2019, 10, 583. [Google Scholar] [CrossRef]
- Banerjee, J.; Gantait, S.; Maiti, M.K. Physiological role of rice germin-like protein 1 (OsGLP1) at early stages of growth and development in indica rice cultivar under salt stress condition. Plant Cell Tissue Organ Cult. 2017, 131, 127–137. [Google Scholar] [CrossRef]
- He, Z.-D.; Tao, M.-L.; Leung, D.W.M.; Yan, X.-Y.; Chen, L.; Peng, X.-X.; Liu, E.-E. The rice germin-like protein OsGLP1 participates in acclimation to UV-B radiation. Plant Physiol. 2021, 186, 1254–1268. [Google Scholar] [CrossRef]
- Ke, Y.; Han, G.; He, H.; Li, J. Differential regulation of proteins and phosphoproteins in rice under drought stress. Biochem. Biophys. Res. Commun. 2009, 379, 133–138. [Google Scholar] [CrossRef]
- Mittler, R. Oxidative stress, antioxidants and stress tolerance. Trends Plant Sci. 2002, 7, 405–410. [Google Scholar] [CrossRef]
- Ali, F.; Qanmber, G.; Wei, Z.; Yu, D.; Gan, L.; Li, F.; Wang, Z. Genome-wide characterization and expression analysis of geranylgeranyl diphosphate synthase genes in cotton (Gossypium spp.) in plant development and abiotic stresses. BMC Genom. 2020, 21, 561. [Google Scholar] [CrossRef]
- Dao, T.; Linthorst, H.; Verpoorte, R. Chalcone synthase and its functions in plant resistance. Phytochem. Rev. 2011, 10, 397–412. [Google Scholar] [CrossRef]
- Kaur, S.; Tiwari, V.; Kumari, A.; Chaudhary, E.; Sharma, A.; Ali, U.; Garg, M. Protective and defensive role of anthocyanins under plant abiotic and biotic stresses: An emerging application in sustainable agriculture. J. Biotechnol. 2022, 361, 12–29. [Google Scholar] [CrossRef] [PubMed]
- Zhang, G.; Cheng, Z.; Zhang, X.; Guo, X.; Su, N.; Jiang, L.; Mao, L.; Wan, J. Double repression of soluble starch synthase genes SSIIa and SSIIIa in rice (Oryza sativa L.) uncovers interactive effects on the physicochemical properties of starch. Genome 2011, 54, 448–459. [Google Scholar] [CrossRef] [PubMed]
- Li, H.; Gilbert, R.G. Starch molecular structure: The basis for an improved understanding of cooked rice texture. Carbohydr. Polym. 2018, 195, 9–17. [Google Scholar] [CrossRef]
- Irshad, A.; Guo, H.; Rehman, S.U.; Wang, X.; Wang, C.; Raza, A.; Zhou, C.; Li, Y.; Liu, L. Soluble starch synthase enzymes in cereals: An updated review. Agronomy 2021, 11, 1983. [Google Scholar] [CrossRef]
- Babu, A.S.; Parimalavalli, R. Effect of pullulanase debranching and storage temperatures on structural characteristics and digestibility of sweet potato starch. J. Saudi Soc. Agric. Sci. 2018, 17, 208–216. [Google Scholar]
- Li, Y.; Xu, J.; Zhang, L.; Ding, Z.; Gu, Z.; Shi, G. Investigation of debranching pattern of a thermostable isoamylase and its application for the production of resistant starch. Carbohydr. Res. 2017, 446, 93–100. [Google Scholar] [CrossRef]
- Gray-Weale, A.A.; Cave, R.A.; Gilbert, R.G. Extracting physically useful information from multiple-detection size-separation data for starch. Biomacromolecules 2009, 10, 2708–2713. [Google Scholar] [CrossRef]
- Rafii, M.; Zakiah, M.; Asfaliza, R.; Haifaa, I.; Latif, M.; Malek, M. Grain quality performance and heritability estimation in selected F1 rice genotypes. Sains Malays. 2014, 43, 1–7. [Google Scholar]
- Dentin, R.; Benhamed, F.; Pégorier, J.-P.; Foufelle, F.; Viollet, B.; Vaulont, S.; Girard, J.; Postic, C. Polyunsaturated fatty acids suppress glycolytic and lipogenic genes through the inhibition of ChREBP nuclear protein translocation. J. Clin. Investig. 2005, 115, 2843–2854. [Google Scholar] [CrossRef]
- Oyola-Robles, D.; Gay, D.C.; Trujillo, U.; Sánchez-Parés, J.M.; Bermúdez, M.L.; Rivera-Díaz, M.; Carballeira, N.M.; Baerga-Ortiz, A. Identification of novel protein domains required for the expression of an active dehydratase fragment from a polyunsaturated fatty acid synthase. Protein Sci. 2013, 22, 954–963. [Google Scholar] [CrossRef]
- Parthibane, V.; Rajakumari, S.; Venkateshwari, V.; Iyappan, R.; Rajasekharan, R. Oleosin is bifunctional enzyme that has both monoacylglycerol acyltransferase and phospholipase activities. J. Biol. Chem. 2012, 287, 1946–1954. [Google Scholar] [CrossRef] [PubMed]
- Hasanuzzaman, M.; Nahar, K.; Rahman, A.; Inafuku, M.; Oku, H.; Fujita, M. Exogenous nitric oxide donor and arginine provide protection against short-term drought stress in wheat seedlings. Physiol. Mol. Biol. Plants 2018, 24, 993–1004. [Google Scholar] [CrossRef] [PubMed]
- Li, H.; Liang, M.; Wang, Z.; Zhang, Y.; Wu, Q.; Yang, L. Rice protein exerts endogenous antioxidant capacity via methionine sulfoxide reductase and the nrf2 antioxidant system independent of age. J. Med. Food 2020, 23, 565–574. [Google Scholar] [CrossRef] [PubMed]
- Luo, S.; Levine, R.L. Methionine in proteins defends against oxidative stress. FASEB J. 2009, 23, 464–472. [Google Scholar] [CrossRef]
- Chen, H.; Xiong, L. Pyridoxine is required for post-embryonic root development and tolerance to osmotic and oxidative stresses. Plant J. 2005, 44, 396–408. [Google Scholar] [CrossRef]
- Deng, B.; Jin, X.; Yang, Y.; Lin, Z.; Zhang, Y. The regulatory role of riboflavin in the drought tolerance of tobacco plants depends on ROS production. Plant Growth Regul. 2014, 72, 269–277. [Google Scholar] [CrossRef]
- Fitzpatrick, T.B.; Chapman, L.M. The importance of thiamine (vitamin B1) in plant health: From crop yield to biofortification. J. Biol. Chem. 2020, 295, 12002–12013. [Google Scholar] [CrossRef]
- Esa, N.; Puteh, A.; Mat, M.; Ismail, R.; Yusop, M.R. Increasing yield of susceptible and resistant rice blast cultivars using silicon fertilization. Indones. J. Agric. Sci. 2020, 21, 49–58. [Google Scholar] [CrossRef]
- Hasan, N.; Rafii, M.Y.; Rahım, H.A.; Ahmad, F.; Ismail, N.N. Identification of bacterial leaf blight resistance genes in Malaysian local rice varieties. Gene Conserve 2020, 19, GMR18545. [Google Scholar] [CrossRef]
- Wilonita, W.; Nurliyana, R.; Asma, D.; Noorazizah, M.; Hirzun, M. Distribution of disease and pest resistance markers in Malaysian rice varieties. ASM Sci. J. 2013, 7, 105–112. [Google Scholar]
- Ashoori, M.; Saedisomeolia, A. Riboflavin (vitamin B2) and oxidative stress: A review. Br. J. Nutr. 2014, 111, 1985–1991. [Google Scholar] [CrossRef] [PubMed]
- Liang, M.; Wang, Z.; Li, H.; Cai, L.; Pan, J.; He, H.; Wu, Q.; Tang, Y.; Ma, J.; Yang, L. l-Arginine induces antioxidant response to prevent oxidative stress via stimulation of glutathione synthesis and activation of Nrf2 pathway. Food Chem. Toxicol. 2018, 115, 315–328. [Google Scholar] [CrossRef] [PubMed]
Disclaimer/Publisher’s Note: The statements, opinions and data contained in all publications are solely those of the individual author(s) and contributor(s) and not of MDPI and/or the editor(s). MDPI and/or the editor(s) disclaim responsibility for any injury to people or property resulting from any ideas, methods, instructions or products referred to in the content. |
© 2023 by the authors. Licensee MDPI, Basel, Switzerland. This article is an open access article distributed under the terms and conditions of the Creative Commons Attribution (CC BY) license (https://creativecommons.org/licenses/by/4.0/).






