Reynolds-Dependent Velocity Profile Correction and Its Uncertainty Demonstrated on an Ultrasonic Clamp-On Meter
Abstract
1. Introduction
2. Methodological Concepts and Model Scope
2.1. Separation Approach
2.2. Assumption of Fully Developed Flow Conditions at the test rig
2.3. Validity Range
3. Determination and Uncertainty of Model Inputs
- The experimental determination of the combined correction factor at the test rig;
- The evaluation of the associated measurement uncertainty ;
- The reduction of to a function of the reference volume flow of the test rig by averaging over the angular and axial installation positions, including the associated uncertainty;
- The calculation of the uncertainty due to the assumption that at the test rig;
- The transformation of to by applying the separation approach;
- The calculation of by incorporating the uncertainty due to the assumption that .
3.1. Experimental Determination of
3.2. Measurement Uncertainty of
3.3. Reduction of to a Function of
3.4. Uncertainty Due to the Assumption That
3.5. Transformation from to
3.6. Uncertainty in the Realization of
4. Regression Analysis and Model Uncertainty
4.1. Modeling Approach
4.2. Monte Carlo-Based Estimation of Model Parameters and Uncertainty Propagation
4.3. Analytical Fitting of
4.4. Residual Standard Uncertainty
4.5. Combined Model Uncertainty
5. Validation Case
5.1. Experimental Setup
5.2. Measurement Uncertainty
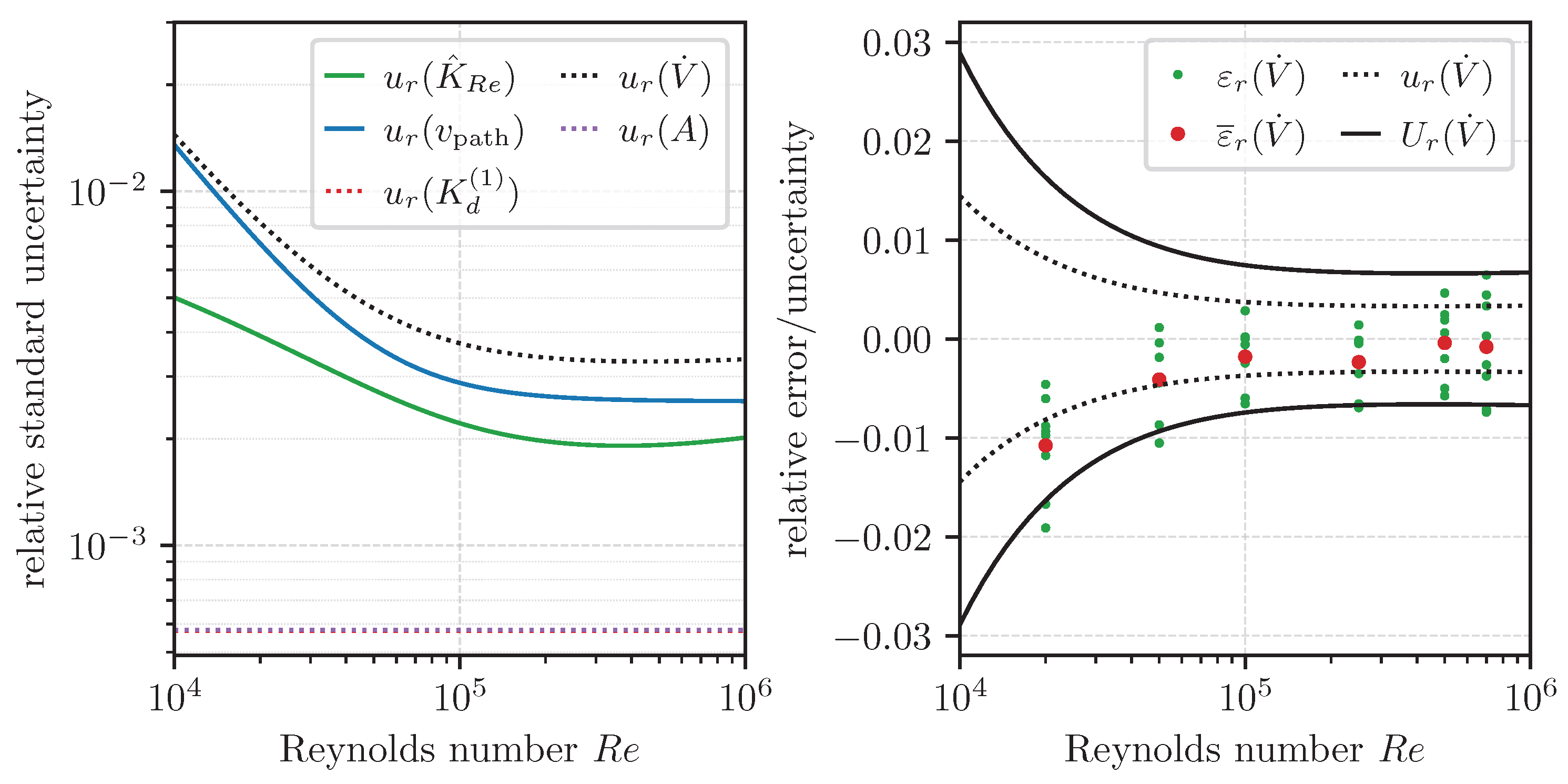
5.3. Comparison with Reference Flow Rate
6. Discussion
6.1. Validation
6.2. Fully Developed Flow Assumption
6.3. Validity Range with Respect to
6.4. Validity Range with Respect to Wall Roughness
6.5. Transferability to Other Meter Types
6.6. Extension to Disturbed Flows Conditions
7. Conclusions
Author Contributions
Funding
Data Availability Statement
Acknowledgments
Conflicts of Interest
Abbreviations
| DN | Diameter Nominal |
| GraTESt | Gravimetric Thermal Energy Standard Flow Facility |
| GUM | Guide to the Expression of Uncertainty in Measurement |
| ISO | International Organization for Standardization |
| LDV | Laser Doppler Velocimetry |
| LULA | Long-Term Ultrasonic and Laser Measurement Facility |
| PTB | Physikalisch-Technische Bundesanstalt |
References
- Weissenbrunner, A.; Fiebach, A.; Schmelter, S.; Bär, M.; Thamsen, P.; Lederer, T. Simulation-based determination of systematic errors of flow meters due to uncertain inflow conditions. Flow Meas. Instrum. 2016, 52, 25–39. [Google Scholar] [CrossRef]
- Mattingly, G.E.; Yeh, T.T. Effects of Pipe Elbows and Tube Bundles on Selected Types of Flowmeters. Flow Meas. Instrum. 1991, 2, 4–13. [Google Scholar] [CrossRef]
- Synowiec, P.; Andruszkiewicz, A.; Wędrychowicz, W.; Piechota, P.; Wróblewska, E. Influence of Flow Disturbances behind the 90 Bend on the Indications of the Ultrasonic Flow Meter with Clamp-On Sensors on Pipelines. Sensors 2021, 21, 868. [Google Scholar] [CrossRef] [PubMed]
- Straka, M. Vergleich Realer und Synthetisch Generierter Strömungszustände in Rohrleitungen Mittels Numerischer und Laseroptischer Verfahren. Ph.D. Thesis, Technische Universität Berlin, Berlin, Germany, 2021. [Google Scholar] [CrossRef]
- ISO 5167-1:2003; Measurement of Fluid Flow by Means of Pressure Differential Devices Inserted in Circular Cross-Section Conduits Running Full—Part 1: General Principles and Requirements. International Organization for Standardization: Geneva, Switzerland, 2003.
- Joint Committee for Guides in Metrology. Evaluation of Measurement Data—Guide to the Expression of Uncertainty in Measurement; International Bureau of Weights and Measures (BIPM): Sèvres, France, 2008. [Google Scholar]
- ISO 24062; Measurement of Fluid Flow in Closed Conduits—Clamp-on Ultrasonic Transit-Time Meters for Liquids and Gases. International Organization for Standardization: Geneva, Switzerland, 2023.
- Papathanasiou, P.; Kissling, B.; Berberig, O.; Kumar, V.; Rohner, A.; Bezděk, M. Flow disturbance compensation calculated with flow simulations for ultrasonic clamp-on flowmeters with optimized path arrangement. Flow Meas. Instrum. 2022, 85, 102167. [Google Scholar] [CrossRef]
- Hakansson, E.; Delsing, J. Effects of Flow Disturbance on an Ultrasonic Gas Flowmeter. Flow Meas. Instrum. 1992, 3, 227–233. [Google Scholar] [CrossRef]
- Heritage, J.E. The Performance of Transit Time Ultrasonic Flowmeters Under Good and Disturbed Flow Conditions. Flow Meas. Instrum. 1989, 1, 24–30. [Google Scholar] [CrossRef]
- Martins, R.S.; Ramos, R. Bend Installation Effects on the Correction Factor of Single Path Ultrasonic Flow Meters. In Proceedings of the XXXII Iberian Latin American Congress on Computational Methods in Engineering, Ouro Preto, Brazil, 13–16 November 2011. [Google Scholar]
- Masasi, B.; Frazier, R.S.; Taghvaeian, S. Review and Operational Guidelines for Portable Ultrasonic Flowmeters; Fact Sheet Bae-1535; Oklahoma State University Extension: Stillwater, OK, USA, 2017. [Google Scholar]
- Yang, T.; Leggoe, J.; McEwan, D. Use of Flow Measurement Devices in Restricted Environments. In Proceedings of the CEED Seminar Proceedings, Perth, Australia, 17 September 2019; The University of Western Australia: Perth, Australia, 2019. [Google Scholar]
- Zhao, H.; Peng, L.; Stephane, S.A.; Ishikawa, H.; Shimizu, K.; Takamoto, M. CFD Aided Investigation of Multipath Ultrasonic Gas Flow Meter Performance Under Complex Flow Profile. IEEE Sens. J. 2014, 14, 897–907. [Google Scholar] [CrossRef]
- Cranfield University. Guidelines for the Use of Ultrasonic Non-Invasive Metering Techniques; Technical Report, Report for NMSPU Flow Programme Project KT12; Cranfield University: Cranfield, UK, 2002. [Google Scholar]
- NEL—National Engineering Laboratory. Project FEUS05 Final Report on Clamp-on Transit Time Ultrasonic Flowmeter Performance; Final Report DTI Reference: GBBK/C/0; National Engineering Laboratory: East Kilbride, UK, 2005. [Google Scholar]
- Zhang, H.; Guo, C.; Lin, J. Effects of Velocity Profiles on Measuring Accuracy of Transit-Time Ultrasonic Flowmeter. Appl. Sci. 2019, 9, 1648. [Google Scholar] [CrossRef]
- Jung, J.C.; Seong, P.H. Estimation of the Flow Profile Correction Factor of a Transit-Time Ultrasonic Flow Meter for the Feedwater Flow Measurement in a Nuclear Power Plant. IEEE Trans. Nucl. Sci. 2005, 52, 714–718. [Google Scholar] [CrossRef]
- Shi, H.; Kang, X.; He, S.; Meng, T. Study on the Influences of Multiple Parameters With Uncertainty in the Clamp-On Ultrasonic Flowmeter. IEEE Access 2020, 8, 183787–183798. [Google Scholar] [CrossRef]
- Johnson, A.L.; Benham, B.L.; Eisenhauer, D.E.; Hotchkiss, R.H. Ultrasonic Water Measurement in Irrigation Pipelines with Disturbed Flow. Trans. ASAE 2001, 44, 899–910. [Google Scholar] [CrossRef][Green Version]
- Heitmann, F.; Leonhardt, J.; Juling, M.; Furuichi, N. Validation of the gravimetric Thermal Energy standard flow facility after extensive modernisation. Meas. Sens. 2024, 38, 101550. [Google Scholar] [CrossRef]
- ISO 5167-2:2003; Measurement of Fluid Flow by Means of Pressure Differential Devices Inserted in Circular Cross-Section Conduits Running Full—Part 2: Orifice Plates. International Organization for Standardization: Geneva, Switzerland, 2003.
- Yin, G.; Ong, M.C.; Zhang, P. Numerical investigations of pipe flow downstream a flow conditioner with bundle of tubes. Eng. Appl. Comput. Fluid Mech. 2023, 17, e2154850. [Google Scholar] [CrossRef]
- Tam, L.M.; Ghajar, A.J. Effect of inlet geometry and heating on the fully developed friction factor in the transition region of a horizontal tube. Exp. Therm. Fluid Sci. 1997, 15, 52–64. [Google Scholar] [CrossRef]
- White, F.M. Fluid Mechanics, 7th ed.; McGraw-Hill Education: Columbus, OH, USA, 2011. [Google Scholar]
- Idelchik, I.E. Handbook of Hydraulic Resistance, 3rd ed.; Begell House: Danbury, CT, USA, 2005. [Google Scholar]
- Straka, M.; Koglin, C.; Eichler, T. Segmental orifice plates and the emulation of the 90∘-bend. Tm-Tech. Mess. 2019, 87, 18–31. [Google Scholar] [CrossRef]
- Mathies, N. Messunsicherheit Einer Gravimetrischen Kalt- und Warmwasser-Normalmessanlage Für große Volumenströme. Ph.D. Thesis, Technische Universität Berlin, Berlin, Germany, 2005. [Google Scholar]
- Straka, M.; Fiebach, A.; Koglin, C.; Eichler, T. Hybrid simulation of a segmental orifice plate. Flow Meas. Instrum. 2018, 60, 124–133. [Google Scholar] [CrossRef]
- Joint Committee for Guides in Metrology. Evaluation of Measurement Data—Supplement 1 to the “Guide to the Expression of Uncertainty in Measurement”—Propagation of Distributions Using a Monte Carlo Method; International Bureau of Weights and Measures (BIPM): Sèvres, France, 2008. [Google Scholar]
- Virtanen, P.; Gommers, R.; Oliphant, T.; Haberland, M.; Reddy, T.; Cournapeau, D.; Burovski, E.; Peterson, P.; Weckesser, W.; Bright, J.; et al. SciPy 1.0: Fundamental Algorithms for Scientific Computing in Python. Nat. Methods 2020, 17, 261–272. [Google Scholar] [CrossRef] [PubMed]
- Straka, M.; Weissenbrunner, A.; Koglin, C.; Höhne, C.; Schmelter, S. Simulation Uncertainty for a Virtual Ultrasonic Flow Meter. Metrology 2022, 2, 335–359. [Google Scholar] [CrossRef]








| Reynolds Number Re | |||||
|---|---|---|---|---|---|
| 2 × 104 | 1 × 105 | 1.5 × 106 | |||
| ur(xi) | Source of Uncertainty | cr(xi) | |cr(xi)·ur(xi)| | ||
| path geometry factor | 1 | 2.5 × 10−3 | |||
| transit time difference | 1 | 2.6 × 10−2 | 4.14 × 10−3 | 2.76 × 10−4 | |
| delay time | 0.04 | 1.7 × 10−4 | |||
| transit time at zero flow | 1 | 3.17 × 10−4 | |||
| cross-sectional area | 1 | 5.55 × 10−5 | |||
| reference flow rate | 1 | 2.00 × 10−4 | |||
| combined standard uncertainty | 2.08 × 10−2 | 4.85 × 10−3 | 2.55 × 10−3 | ||
| B | k | Re0 | C | n | |
|---|---|---|---|---|---|
| 0.3494 | – | – | – | 0.1349 | |
| 0.0029 | 0.0944 | 137,339 | 0.0197 | 0.1331 |
| Reynolds Number Re | |||||
|---|---|---|---|---|---|
| 2 × 104 | 1 × 105 | 7 × 105 | |||
| ur(xi) | Source of Uncertainty | cr(xi) | |cr(xi)·ur(xi)| | ||
| path geometry factor | 1 | 2.5 × 10−3 | |||
| transit time difference | 1 | 6.65 × 10−3 | 1.33 × 10−3 | 1.90 × 10−4 | |
| delay time | 0.11 | 4.93 × 10−4 | |||
| transit time at zero flow | 1 | 1.56 × 10−4 | |||
| path velocity | 1 | 7.12 × 10−3 | 2.88 × 10−3 | 2.56 × 10−3 | |
| residuals (data scatter) | 1 | 1.72 × 10−3 | 1.68 × 10−3 | 1.65 × 10−3 | |
| model prediction (MC) | 1 | 3.51 × 10−3 | 1.44 × 10−3 | 1.05 × 10−3 | |
| 1 | 3.91 × 10−3 | 2.21 × 10−3 | 1.96 × 10−3 | ||
| cross section | 1 | 5.77 × 10−4 | |||
| assumption that | 1 | 5.75 × 10−4 | |||
| combined standard uncertainty | 8.16 × 10−3 | 3.72 × 10−3 | 3.32 × 10−3 | ||
| expanded uncertainty | 1.63 × 10−2 | 7.44 × 10−3 | 6.65 × 10−3 | ||
Disclaimer/Publisher’s Note: The statements, opinions and data contained in all publications are solely those of the individual author(s) and contributor(s) and not of MDPI and/or the editor(s). MDPI and/or the editor(s) disclaim responsibility for any injury to people or property resulting from any ideas, methods, instructions or products referred to in the content. |
© 2025 by the authors. Licensee MDPI, Basel, Switzerland. This article is an open access article distributed under the terms and conditions of the Creative Commons Attribution (CC BY) license (https://creativecommons.org/licenses/by/4.0/).
Share and Cite
Straka, M.; Höhne, C.; Koglin, C.; Funck, B.; Eichler, T. Reynolds-Dependent Velocity Profile Correction and Its Uncertainty Demonstrated on an Ultrasonic Clamp-On Meter. Metrology 2025, 5, 57. https://doi.org/10.3390/metrology5030057
Straka M, Höhne C, Koglin C, Funck B, Eichler T. Reynolds-Dependent Velocity Profile Correction and Its Uncertainty Demonstrated on an Ultrasonic Clamp-On Meter. Metrology. 2025; 5(3):57. https://doi.org/10.3390/metrology5030057
Chicago/Turabian StyleStraka, Martin, Christian Höhne, Christian Koglin, Bernhard Funck, and Thomas Eichler. 2025. "Reynolds-Dependent Velocity Profile Correction and Its Uncertainty Demonstrated on an Ultrasonic Clamp-On Meter" Metrology 5, no. 3: 57. https://doi.org/10.3390/metrology5030057
APA StyleStraka, M., Höhne, C., Koglin, C., Funck, B., & Eichler, T. (2025). Reynolds-Dependent Velocity Profile Correction and Its Uncertainty Demonstrated on an Ultrasonic Clamp-On Meter. Metrology, 5(3), 57. https://doi.org/10.3390/metrology5030057

