Analysis of Wheat Grain Infection by Fusarium Mycotoxin-Producing Fungi Using an Electronic Nose, GC-MS, and qPCR
Abstract
1. Introduction
2. Materials and Methods
2.1. Sample Preparation
- Ten grams of grain were weighed and placed in sterile plastic Petri dishes with a diameter of 9 cm.
- Using a cork-borer with a diameter of 5 mm, fragments of the substrate together with the mycelium were cut out from plates overgrown with Fusarium.
- Then, 5 such fragments were placed on the plates between the wheat grains.
- The pieces with a clean PDA substrate were prepared similarly for the control variant.
- A total of 3 dishes were prepared for each variant: control, inoculated with the F. culmorum fungus, and inoculated with F. graminearum.
- Then, 3 mL of sterile distilled water (SDW) was added to each dish and incubated for 3 days at room temperature (about 22 °C).
- Every day, 1 mL of SDW was added to each dish, which allowed us to maintain a constant level of humidity of samples during the experiment.
- Four days after the contamination, infection was clearly visible and covered a substantial part of the Petri dish. Then, the electronic nose measurements were started.
- After the first 4 days of measurement, all dishes (control and infected) were replaced with fresh ones to avoid the risk of odor absorption from contaminated samples.
2.2. Analysis of the Grain Infection Level by qPCR
2.2.1. Isolation of DNA
- Infected wheat grains and non-infected grains as control (10 g of each trial variant in three biological replicates) were ground using 6775 Freezer/Mil (Spex Sample Prep, Metuchen, NJ, USA).
- Immediately after the wiping, the biological material was transferred to 1.5 mL Eppendorf tubes, and CTAB extraction buffer and RNase A (Promega) were added.
- The samples were incubated for 30 min in a ThermoMixer C with a speed of 350 rpm (Eppendorf, Hamburg, Germany).
- Every 10 min, samples were vortexed for 30 s using AMTAST Vortex 2 (Amtast Co. NORTH POINT HK).
- DNA isolation from infected wheat grain was carried out using the Maxwell 16 instrument and cartridges and reagents recommended by the manufacturer (Promega, Madison, WI, USA).
- The NanoDrop ND 2000C spectrophotometer (Thermo Scientific, Waltham, MA, USA) was used to determine the purity and quantity of the isolated DNA, which was then stored at 4 °C until further analysis.
2.2.2. qPCR Quantification of F. culmorum and F. graminearum DNA in Wheat Grain
- The level of grain infection was determined using the qPCR method, which assessed the presence of DNA of both F. culmorum and F. graminearum fungi.
- The qPCR analysis was performed using the 7500 FAST system from Applied Biosystems in Waltham, MA, USA.
- The studies utilized specific primers for the EF1α gene that is present in both species. The primers used were FculC561 fwd: 5′-CACCGTCATTGGTATGTTGTCACT138-3′; FculC614 rev: 5′-CGGGAGCGTCTGATAGTCG-3′ for F. culmorum and FgramB379 fwd: 5′-CCATTCCCTGGGCGCT-3′; FgramB411 rev: 5′-CCTATTGACAGGTGGTTAGTGACTGG-3′ [26] for F. graminearum detection.
- The qPCR reaction mix consisted of 25 μL, containing 12.5 μL of the SYBR Green Universal PCR Master Mix (Applied Biosystems, Waltham, MA, USA), 10 pM of each primer, 4.5 μL of deionized water, and 5 μL of gDNA.
- The amplification process involved an initial denaturation at 95 °C for 5 min, followed by 40 cycles of denaturation at 95 °C for 15 s, primer annealing at 60 °C for 15 s, and strand synthesis at 72 °C for 1 min.
- The quantity of DNA isolated from each fungal species and genotype was calculated using calibration curves (made for each fungal species), which were determined in a previous study [5]. The Livak and Schmittgen [27] and Pfaffl [28] methods, with some modifications, were used to determine infection levels of grains.
2.3. Mycotoxin Analysis
2.3.1. Standards and Chemical Reagents
2.3.2. Isolation of Mycotoxins from Cereal Grain
2.3.3. HPLC Analysis
- High-performance liquid chromatography (HPLC) analyses were performed using a Nexera UHPLC instrument from Shimadzu (Kyoto, Japan), according to Visconti and Pascale [30].
- Chromatography of zearalenone was performed using a Synergy™ Hydro-RP column (4.6 mm × 250 mm, 4 μm) at a column temperature of 30 °C. The excitation and emission wavelengths were 274 and 440 nm, respectively. Acetonitrile–water–methanol (46:46:8, v/v/v) was used as the mobile phase with a 1 mL/min flow rate.
- Quantification of ZEA was performed by measuring the peak areas at the ZEA retention time according to the relevant calibration curve (correlation coefficient r = 0.9998). The limit of zearalenone detection was 0.003 mg/g, with a recovery range from 96 to 99%. The relative standard deviation (RSD) value was below 1%.
- Deoxynivalenol was quantified by high-performance liquid chromatography (HPLC) using a Nexera UHPLC instrument from Shimadzu (Kyoto, Japan).
- Analytical determination of deoxynivalenol was carried out after chromatographic separation using a Gemini® C18 Phenomenex HPLC column (4.6 mm × 150 mm; 5 μm) at 30 °C. Detection was carried out using a detector set to a wavelength of 218 nm. DON was eluted from the column with a 10% water solution of acetonitrile (flow rate 0.6 mL/min) with retention times of 8.63. The limit of deoxynivalenol detection was 0.002 mg/g, with a recovery range from 95 to 97%.
2.4. Measurement of Volatiles Emitted by F. culmorum and F. graminearum
- Volatile organic compounds (VOCs) emitted by F. culmorum and F. graminearum were investigated by headspace solid-phase microextraction and gas chromatography coupled with mass spectrometry (HS-SPME/GC-MS).
- Petri dishes with F. culmorum and F. graminearum were sealed using parafilm and heated for 30 min at 40 °C. The parafilm was pierced by a needle, and the SPME fiber (Supelco, Bellefonte, PA, USA) with stationary phase DVB/CAR/PDMS (divinylbenzene/carboxen/polydimethylsiloxane) was exposed to the headspace gas phase. The time of fiber exposition was 30 min. Afterward, the fiber was placed for 10 min in an injector of the GC-MS device.
- The GC-MS measurements were performed on an Agilent 7890A gas chromatograph coupled with an Agilent 5975C mass spectrometer (Agilent Technologies Inc., Santa Clara, CA, USA). The injection port was worked in splitless mode at a temperature of 250 °C. The separation of compounds was performed on a capillary column HP-5MS (30 m, 0.25 mm, 0.25 μm), and the helium flow rate was 1 mL/min. The starting temperature of the column was 35 °C and increased at a rate of 5 °C/min to 250 °C. The temperatures of the ion source and quadrupole were 230 °C and 150 °C, respectively. The ionization energy in the mass spectrometer equaled 70 eV. Detection was performed for a range of 29–600 units in full scan mode.
- After integrating the peaks from the chromatogram, the percentage content of the volatile compounds in the total ion current (% TIC) was calculated. The mass spectra and retention indices were used for the identification of volatiles.
- Mass spectrometric analysis was performed using the NIST (2020) and Wiley (2020) mass spectral libraries, as well as the atlas by Adams (2007) and Tkachev (2008). The retention indices of the compounds were calculated considering the retention times of the alkanes.
- In an independent run, the sample of C5-C40 n-alkanes (1 μL) was injected into the GC column and separated using the conditions previously described for GC-MS analyses of volatile compounds. Experimental retention indices () were determined with use of the following expression:where n is the number of carbon atoms in the n-alkane, is the retention time of the compound, is the retention time of the alkane eluting immediately before the compound, is the retention time of the alkane eluting directly after the compound. The experimental retention indices () were compared with the literature retention indices () posted in the database mentioned above.
2.5. Electronic Nose Measurements
2.5.1. Electronic Nose Device
- The electronic nose consists of two main parts. The first part is a set of Figaro Inc. (Osaka, Japan) [32] TGS series MOX sensors (Table A1 in Appendix A), which are placed inside the sensor chamber and consist of a probe that can be applied to the measured sample. The second part is the main electronic unit, which is connected to the computer.
- The gas sensor chamber is designed to expose the sensors to the measured volatiles by opening the shutter. When the sensor chamber is closed, a pneumatic system provides a clean air flow to clean the sensors between measurement cycles and allows measurement of the baseline levels of the sensor’s signals.
- Communication between the sensors and the computer is controlled by the ATmega 328P-PU microcontroller.
- The MOX sensors require high-temperature conditions of several hundred degrees Celsius for proper operation of their sensing element, which is achieved by internally installed heating elements supplied with 5 Volts of electrical power, according to the manufacturers [32]; sensors strongly depend on the conditions of the heating voltage [33]. Our electronic nose circuit is equipped with a stabilization of the heating voltage at a required level [24]. In addition, the heating voltage of the sensor can be modulated, which enables the modulation of the operating temperature.
- The electronic nose is equipped with a separate circuit that detects the sensor’s response signal, i.e., the change in its conductance after changing the measurement conditions. The sensor conductance is estimated by measuring the voltage across a connected resistor [34]. The transient sensor response is recorded, and the sensor measurement cycles are repeated every 0.75 s.

2.5.2. Collecting Electronic Nose Signals
- The sensor chamber with a closed sensor cover was placed on the open pan, and the software to control the device was started.
- The first 100 measurement units (75 s) were performed with a closed sensor chamber with a forced flow of clean air. This phase lasted 75 s and was used to determine the baseline. The collected response in this area was also needed to ensure that the response curve remained flat, meaning that the condition of the sensor was stable and the sensor was clean enough after the previous measurement cycle. (Clean air baseline collection phase.)
- After the first phase, the shutter of the sensor chamber was opened manually, and we recorded the reaction of the sensors to the presence of the measured gas. This phase lasted a total of 3546 measurement units and was divided into several phases of modulation of the heating voltage of the sensors. During this time, the sensors remained exposed to the measured gas sample.
- –
- The first data acquisition phase lasted 500 time units (6 min and 15 s). This duration was chosen so that the sensor would reach a quasi-steady state and its response would not change significantly. We determined this time based on several previous test measurements.
- –
- In the second phase, the sensor heater voltage modulation phase, we switched the heating voltage every 100 time units (75 s) and repeated the modulation periods 5 times. A rectangular modulation shape was used, with the upper nominal voltage recommended by the manufacturer at 5.0 V and the lower nominal voltage at 4.5 V.
- –
- After that modulation cycle, we included an interval of 150 time units (2 min 30 s) at a nominal voltage of 5.0 V, which allowed us to achieve steady-state response conditions of the sensors in the measured gas conditions.
- –
- We then performed the sensor heater voltage modulation cycles with steps of durations of 50, 20, 10, and 5 time units, which were repeated 5, 6, 15, and 26 times, respectively. The rectangular shape of these modulations with voltage levels of 5.0 and 4.5 V was used.
- –
- After each such cycle of several repetitions of modulation periods, we included intervals of 150 time units (2 min 30 s) at a nominal voltage of 5.0 V, allowing us to reach steady-state response conditions of the sensors.
- The last phase of the measurements consisted of closing the sensor chamber and pumping clean air into it to clean the sensors. The responses of the sensors were still recorded but not used for further analysis. This phase lasted 600 measurement units (7 min 30 s). (Desorption phase.)
2.5.3. Extracting of Features Describing Sensor Response Curve
2.5.4. Experiment of Measurements by the Electronic Nose
2.5.5. Machine Learning Classification Models Using Electronic Nose Data
Random Forest Classification
Target and Predictors and of the Classification Models
- Model using features extracted from the adsorption phase of the sensor response.
- Models using sensors’ responses from the first repetition of a given frequency’s heater temperature modulation phase.
- Models using sensors’ responses from the first and last repetition of a given frequency’s heater temperature modulation phase.
- Models using features extracted from the adsorption phase of the sensors’ responses and the heater temperature modulation phase of the responses.
Classification Model Performance Measures
- Accuracy, which reflects the proportion of correctly classified cases compared to the total number of cases.
- Precision, which reflects the ratio of the number of correctly classified cases compared to the number of cases classified as belonging to this category. That means that this measure is focused on the confidence that the classified record truly belongs to this category.
- Recall, which is the ratio between the number of cases correctly classified in proportion to the total number of cases in this category. It reflects the possibility of detecting observations belonging to that group and is not penalized when observations from the opposite category are incorrectly classified.where the components of the confusion matrix (: true positive, : true negative, : false positive, : false negative) reflect whether the observations are classified correctly or not by the model.
Software Packages for Data Analysis
3. Results of the Experiments
3.1. qPCR and Mycotoxins Analysis
3.2. GC-MS Analysis of Volatile Compounds
3.3. Electronic Nose Measurements
3.3.1. Sensor Response during the Gas Adsorption Phase
3.3.2. Sensor Response during Temperature Modulation Phase
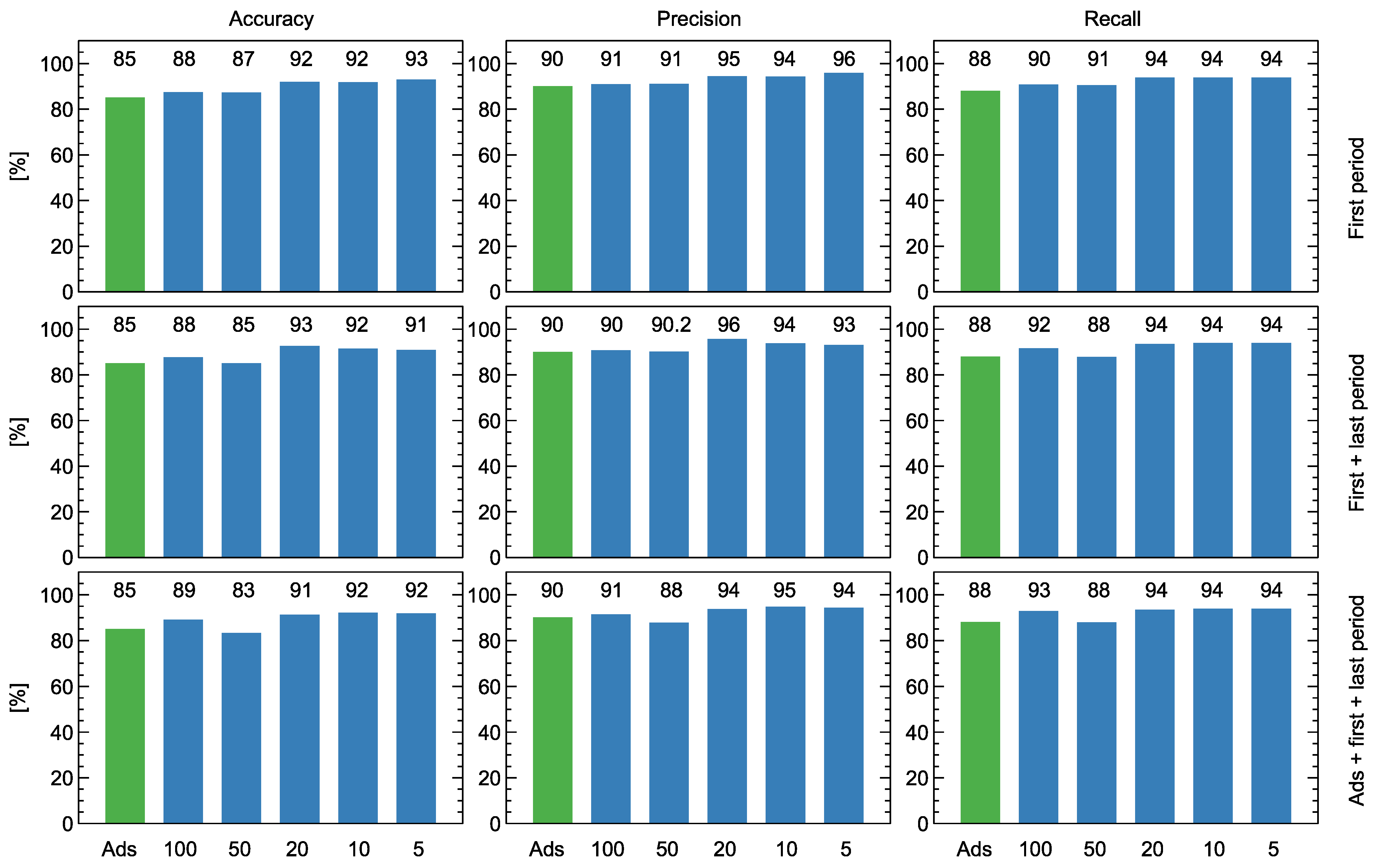
3.3.3. Classification Models Using Electronic Nose Data
4. Discussion
4.1. Operation of MOX Gas Sensors in Temperature Modulation Mode
4.2. Detection of Fusarium Pathogenic Fungi Using Electronic Nose Measurements
5. Summary and Conclusions
Author Contributions
Funding
Institutional Review Board Statement
Informed Consent Statement
Data Availability Statement
Conflicts of Interest
Appendix A. Electronic Nose Sensors
| Sensor | Target Detection |
|---|---|
| TGS 2600 | Highly sensitive to low concentrations of gaseous air contaminants such as hydrogen and carbon monoxide, for example, in cigarette smoke. Can detect hydrogen at a level of several ppm. |
| TGS 2602 | Highly sensitive to low concentrations of odorous gases such as ammonia and H2S generated from waste materials in office and home environments. Highly sensitive to low concentrations of VOCs such as toluene emitted from wood finishing and construction products. |
| TGS 2603 | Highly sensitive to low concentrations of odorous gases such as amine-series and sulfurous odors generated from waste materials or spoiled foods such as fish. |
| TGS 2610 | Uses filter material, eliminating the influence of interference gases such as alcohol, which is highly selective to LP gas. |
| TGS 2611 | Uses filter material, eliminating the influence of interference gases such as alcohol, which is highly selective to methane gas. |
| TGS 2620 | Has high sensitivity to organic solvents and other volatile vapors, making it suitable for organic vapor detectors/alarms. |
Appendix B. Sensor Response to Heater Temperature Modulation

Appendix C. Results of the GC-MS Measurements
| Compounds and Groups of Compounds | Content (% of TIC) | |
|---|---|---|
| F. culmorum | F. greaminarum | |
| Sesquiterpenes | 16.78 ± 1.05 | 55.86 ± 1.72 |
| α-Funebrene | - | 0.37 ± 0.05 |
| α-Barbatene | - | 2.15 ± 0.12 |
| Sesquiterpene (RIexp. = 1419) | 1.04 ± 0.23 | 1.93 ± 0.17 |
| β-Copaene | 11.98 ± 0.80 | 12.36 ± 1.29 |
| Isobazzanene | - | 0.43 ± 0.04 |
| (E)-β-Famesene | - | 1.73 ± 0.07 |
| β-Santalene | - | 0.29 ± 0.04 |
| α-Acoradiene | 0.53 ± 0.05 | 0.47 ± 0.00 |
| β-Acoradiene | - | 1.07 ± 0.14 |
| β-Chamigrene | - | 3.57 ± 0.49 |
| Sesquiterpene (RIexp. = 1484) | - | 1.00 ± 0.10 |
| Germacrene D | 1.45 ± 0.20 | 0.88 ± 0.10 |
| α-Cuprenene | - | 1.42 ± 0.02 |
| α-Chamigrene | - | 0.54 ± 0.07 |
| Sesquiterpene (RIexp. = 1513) | 0.92 ± 0.12 | - |
| β-Bisabolene | - | 4.43 ± 0.14 |
| β-Bazzanene | 0.47 ± 0.06 | 11.74 ± 1.11 |
| (E)-β-Bisabolene | 0.37 ± 0.01 | 7.67 ± 0.77 |
| (E)-α-Bisabolene | - | 3.81 ± 0.41 |
| Monoterpenes | 0.57 ± 0.06 | 1.03 ± 0.10 |
| Myrcene | - | 0.29 ± 0.03 |
| δ-3-Carene | 0.57 ± 0.06 | 0.20 ± 0.03 |
| Limonene | - | 0.23 ± 0.03 |
| α-Terpinolene | - | 0.31 ± 0.02 |
| Alcohols | 62.52 ± 1.40 | 26.90 ± 0.90 |
| Ethanol | 45.56 ± 0.65 | 14.55 ± 1.65 |
| Propan-1-ol | 2.34 ± 0.23 | 1.07 ± 0.07 |
| Isobutanol | 3.98 ± 0.29 | 1.11 ± 0.13 |
| Isopentanol | 5.12 ± 0.41 | 3.40 ± 0.35 |
| 2-Methylbutan-1-ol | 4.78 ± 0.32 | 1.96 ± 0.24 |
| 2.3-Butanediol | - | 3.65 ± 0.70 |
| Oct-1-en-3-ol | - | 0.32 ± 0.08 |
| 2-Ethyl-hexan-1-ol | 0.74 ± 0.08 | - |
| Benzeneethanol | - | 0.09 ± 0.02 |
| Nonan-1-ol | - | 0.75 ± 0.04 |
| Aldehydes | 1.78 ± 0.15 | 0.25 ± 0.05 |
| Isopentanal | 0.52 ± 0.04 | - |
| 2-Methylbutanal | 0.49 ± 0.04 | - |
| Benzeneacetaldehyde | 0.77 ± 0.08 | 0.25 ± 0.05 |
| Ketones | - | 2.19 ± 0.24 |
| 3-Hydroxybutan-2-one, isomer 1 | - | 1.19 ± 0.27 |
| 3-Hydroxybutan-2-one, isomer 2 | - | 0.35 ± 0.05 |
| Nonan-2-one | - | 0.20 ± 0.03 |
| Undecan-2-one | - | 0.15 ± 0.03 |
| Tridecan-2-one | - | 0.30 ± 0.04 |
| Esters | 13.96 ± 0.43 | 3.21 ± 0.15 |
| Ethyl acetate | 9.74 ± 0.50 | 2.21 ± 0.18 |
| Ethyl propanoate | 0.34 ± 0.06 | - |
| Propyl acetate | 0.27 ± 0.01 | - |
| Isobutyl acetate | 0.48 ± 0.02 | 0.12 ± 0.01 |
| Isopentyl acetate | 1.37 ± 0.07 | 0.46 ± 0.05 |
| 2-Methylbutyl acetate | 1.75 ± 0.05 | 0.23 ± 0.02 |
| n-Nonanyl acetate | - | 0.19 ± 0.03 |
| Other compunds | 4.39 ± 0.24 | 6.46 ± 0.69 |
| Acetic acid | 1.65 ± 0.32 | 1.32 ± 0.24 |
| Pyridine | 1.13 ± 0.05 | - |
| Styrene | 1.61 ± 0.12 | 5.14 ± 0.63 |
| Unidentified compunds | - | 4.10 ± 0.41 |
| NN (RIexp. = 1175) | - | 0.35 ± 0.02 |
| NN (RIexp. = 1204) | - | 3.76 ± 0.42 |
References
- Dean, R.; van Kan, J.A.L.; Pretorius, Z.A.; Hammond-Kosack, K.E.; Di Pietro, A.; Spanu, P.D.; Rudd, J.J.; Dickman, M.; Kahmann, R.; Ellis, J.; et al. The Top 10 fungal pathogens in molecular plant pathology. Mol. Plant Pathol. 2012, 13, 414–430. [Google Scholar] [CrossRef]
- Mesterhazy, A. Updating the Breeding Philosophy of Wheat to Fusarium Head Blight (FHB): Resistance Components, QTL Identification, and Phenotyping—A Review. Plants 2020, 9, 1702. [Google Scholar] [CrossRef]
- Pasquali, M.; Beyer, M.; Logrieco, A.; Audenaert, K.; Balmas, V.; Basler, R.; Boutigny, A.L.; Chrpová, J.; Czembor, E.; Gagkaeva, T.; et al. A European Database of Fusarium graminearum and F. culmorum Trichothecene Genotypes. Front. Microbiol. 2016, 7, 406. [Google Scholar] [CrossRef]
- Wegulo, S. Factors Influencing Deoxynivalenol Accumulation in Small Grain Cereals. Toxins 2012, 4, 1157–1180. [Google Scholar] [CrossRef]
- Okorski, A.; Milewska, A.; Pszczółkowska, A.; Karpiesiuk, K.; Kozera, W.; Dąbrowska, J.A.; Radwińska, J. Prevalence of Fusarium fungi and Deoxynivalenol Levels in Winter Wheat Grain in Different Climatic Regions of Poland. Toxins 2022, 14, 102. [Google Scholar] [CrossRef]
- Okorski, A.; Pszczółkowska, A.; Markuszewki, B.; Olszewski, J.; Sięda, M.; Makowczenko, K.G.; Paukszto, Ł.; Jastrzębski, J.P. First Report of a Fusarium Wilt of Black Currant Caused by Fusarium avenaceum in Northeastern Poland. Plant Dis. 2020, 104, 593. [Google Scholar] [CrossRef]
- Yin, Y.; Liu, X.; Ma, Z. Simultaneous detection of Fusarium asiaticum and Fusarium graminearumin wheat seeds using a real-time PCR method. Lett. Appl. Microbiol. 2009, 48, 680–686. [Google Scholar] [CrossRef]
- Eifler, J.; Martinelli, E.; Santonico, M.; Capuano, R.; Schild, D.; Natale, C.D. Differential Detection of Potentially Hazardous Fusarium Species in Wheat Grains by an Electronic Nose. PLoS ONE 2011, 6, e21026. [Google Scholar] [CrossRef]
- Ekwomadu, T.I.; Akinola, S.A.; Mwanza, M. Fusarium Mycotoxins, Their Metabolites (Free, Emerging, and Masked), Food Safety Concerns, and Health Impacts. Int. J. Environ. Res. Public Health 2021, 18, 11741. [Google Scholar] [CrossRef]
- Gautier, C.; Pinson-Gadais, L.; Richard-Forget, F. Fusarium Mycotoxins Enniatins: An Updated Review of Their Occurrence, the Producing Fusarium Species, and the Abiotic Determinants of Their Accumulation in Crop Harvests. J. Agric. Food Chem. 2020, 68, 4788–4798. [Google Scholar] [CrossRef]
- Johns, L.E.; Bebber, D.P.; Gurr, S.J.; Brown, N.A. Emerging health threat and cost of Fusarium mycotoxins in European wheat. Nat. Food 2022, 3, 1014–1019. [Google Scholar] [CrossRef] [PubMed]
- Presicce, D.S.; Forleo, A.; Taurino, A.M.; Zuppa, M.; Siciliano, P.; Laddomada, B.; Logrieco, A.; Visconti, A. Response evaluation of an E-nose towards contaminated wheat by Fusarium poae fungi. Sens. Actuators B Chem. 2006, 118, 433–438. [Google Scholar] [CrossRef]
- Persaud, K.; Dodd, G. Analysis of discrimination mechanisms in the mammalian olfactory system using a model nose. Nature 1982, 299, 352–355. [Google Scholar] [CrossRef] [PubMed]
- Gardner, J.W.; Bartlett, P.N. A brief history of electronic noses. Sens. Actuators B Chem. 1994, 18, 210–211. [Google Scholar] [CrossRef]
- Nagle, H.T.; Gutierrez-Osuna, R.; Schiffman, S.S. The how and why of electronic noses. IEEE Spectr. 1998, 35, 22–31. [Google Scholar] [CrossRef]
- Boeker, P. On ‘Electronic Nose’ methodology. Sens. Actuators B Chem. 2014, 204, 2–17. [Google Scholar] [CrossRef]
- Liu, Y.; Zhang, J.; Yuan, H.; Song, M.; Zhu, Y.; Cao, W.; Jiang, X.; Ni, J. Non-Destructive Quality-Detection Techniques for Cereal Grains: A Systematic Review. Agronomy 2022, 12, 3187. [Google Scholar] [CrossRef]
- Mota, I.; Teixeira-Santos, R.; Rufo, J.C. Detection and identification of fungal species by electronic nose technology: A systematic review. Fungal Biol. Rev. 2021, 37, 59–70. [Google Scholar] [CrossRef]
- Paolesse, R.; Alimelli, A.; Martinelli, E.; Di Natale, C.; D’Amico, A.; D’Egidio, M.G.; Aureli, G.; Ricelli, A.; Fanelli, C. Detection of fungal contamination of cereal grain samples by an electronic nose. Sens. Actuators B Chem. 2006, 119, 425–430. [Google Scholar] [CrossRef]
- Gancarz, M.; Wawrzyniak, J.; Gawrysiak-Witulska, M.; Wiącek, D.; Nawrocka, A.; Tadla, M.; Rusined, R. Application of electronic nose with MOS sensors to prediction of rapeseed quality. Measurement 2017, 103, 227–234. [Google Scholar] [CrossRef]
- Gancarz, M.; Wawrzyniak, J.; Gawrysiak-Witulska, M.; Wiącek, D.; Nawrocka, A.; Rusined, R. Electronic nose with polymer-composite sensors for monitoring fungal deterioration of stored rapeseed. Int. Agrophys. 2017, 31, 317–325. [Google Scholar] [CrossRef]
- Gu, S.; Wang, J.; Wang, Y. Early discrimination and growth tracking of Aspergillus spp. contamination in rice kernels using electronic nose. Food Chem. 2019, 292, 325–335. [Google Scholar] [CrossRef] [PubMed]
- Men, H.; Liu, M.; Shi, Y.; Yuan, H.; Liu, J.; Wang, Q. Ultra-lightweight dynamic attention network combined with gas sensor for distinguishing the quality of rice. Comput. Electron. Agric. 2022, 197, 106939. [Google Scholar] [CrossRef]
- Borowik, P.; Tarakowski, R.; Tkaczyk, M.; Ślusarski, S.; Oszako, T. Application of a Low-Cost Electronic Nose to Detect of Forest Tree Pathogens: Fusarium oxysporum and Phytophthora plurivora. IEEE Access 2022, 10, 93475–93487. [Google Scholar] [CrossRef]
- Borowik, P.; Grzywacz, T.; Tarakowski, R.; Tkaczyk, M.; Ślusarski, S.; Dyshko, V.; Oszako, T. Development of a Low-Cost Electronic Nose with an Open Sensor Chamber: Application to Detection of Ciboria batschiana. Sensors 2023, 23, 627. [Google Scholar] [CrossRef] [PubMed]
- Nicolaisen, M.; Supronienė, S.; Nielsen, L.K.; Lazzaro, I.; Spliid, N.H.; Justesen, A.F. Real-time PCR for quantification of eleven individual Fusarium species in cereals. J. Microbiol. Methods 2009, 76, 234–240. [Google Scholar] [CrossRef] [PubMed]
- Livak, K.J.; Schmittgen, T.D. Analysis of Relative Gene Expression Data Using Real-Time Quantitative PCR and the 2−ΔΔCT Method. Methods 2001, 25, 402–408. [Google Scholar] [CrossRef]
- Pfaffl, M.W. A new mathematical model for relative quantification in real-time RT-PCR. Nucleic Acids Res. 2001, 29, e45. [Google Scholar] [CrossRef]
- Okorski, A.; Polak-Śliwińska, M.; Karpiesiuk, K.; Pszczółkowska, A.; Kozera, W. Real time PCR: A good tool to estimate mycotoxin contamination in pig diets. World Mycotoxin J. 2017, 10, 219–228. [Google Scholar] [CrossRef]
- Visconti, A.; Pascale, M. Determination of zearalenone in corn by means of immunoaffinity clean-up and high-performance liquid chromatography with fluorescence detection. J. Chromatogr. A 1998, 815, 133–140. [Google Scholar] [CrossRef]
- Borowik, P.; Dyshko, V.; Tarakowski, R.; Tkaczyk, M.; Okorski, A.; Oszako, T. Analysis of the Response Signals of an Electronic Nose Sensor for Differentiation between Fusarium Species. Sensors 2023, 23, 7907. [Google Scholar] [CrossRef] [PubMed]
- Figaro Engineering Inc. MOS Type Sensors Operating Principle. Available online: https://www.figarosensor.com/technicalinfo/principle/mos-type.html (accessed on 26 December 2022).
- Borowik, P.; Adamowicz, L.; Tarakowski, R.; Wacławik, P.; Oszako, T.; Ślusarski, S.; Tkaczyk, M. Development of a Low-Cost Electronic Nose for Detection of Pathogenic Fungi and Applying It to Fusarium oxysporum and Rhizoctonia solani. Sensors 2021, 21, 5868. [Google Scholar] [CrossRef]
- Cervera Gómez, J.; Pelegri-Sebastia, J.; Lajara, R. Circuit Topologies for MOS-Type Gas Sensor. Electronics 2020, 9, 525. [Google Scholar] [CrossRef]
- Breiman, L. Random Forests. Mach. Learn. 2001, 45, 5–32. [Google Scholar] [CrossRef]
- Hastie, T.; Tibshirani, R.; Friedman, J. The Elements of Statistical Learning. Data Mining, Inference, and Prediction; Springer Series in Statistics; Springer: New York, NY, USA, 2009. [Google Scholar]
- Pedregosa, F.; Varoquaux, G.; Gramfort, A.; Michel, V.; Thirion, B.; Grisel, O.; Blondel, M.; Prettenhofer, P.; Weiss, R.; Dubourg, V.; et al. Scikit-learn: Machine Learning in Python. J. Mach. Learn. Res. 2011, 12, 2825–2830. [Google Scholar]
- Durán, C.; Benjumea, J.; Carrillo, J. Response Optimization of a Chemical Gas Sensor Array using Temperature Modulation. Electronics 2018, 7, 54. [Google Scholar] [CrossRef]
- Wozniak, L.; Kalinowski, P.; Jasinski, G.; Jasinski, P. FFT analysis of temperature modulated semiconductor gas sensor response for the prediction of ammonia concentration under humidity interference. Microelectron. Reliab. 2018, 84, 163–169. [Google Scholar] [CrossRef]
- Gutierrez-Osuna, R.; Gutierrez-Galvez, A.; Powar, N. Transient response analysis for temperature-modulated chemoresistors. Sens. Actuators B Chem. 2003, 93, 57–66. [Google Scholar] [CrossRef]
- Hossein-Babaei, F.; Hosseini-Golgoo, S.; Amini, A. Extracting discriminative information from the Padé-Z-transformed responses of a temperature-modulated chemoresistive sensor for gas recognition. Sens. Actuators B Chem. 2009, 142, 19–27. [Google Scholar] [CrossRef]
- Hossein-Babaei, F.; Amini, A. A breakthrough in gas diagnosis with a temperature-modulated generic metal oxide gas sensor. Sens. Actuators B Chem. 2012, 166–167, 419–425. [Google Scholar] [CrossRef]
- Hosseini-Golgoo, S.M.; Hossein-Babaei, F. Assessing the diagnostic information in the response patterns of a temperature-modulated tin oxide gas sensor. Meas. Sci. Technol. 2011, 22, 035201. [Google Scholar] [CrossRef]
- Ponzoni, A.; Depari, A.; Comini, E.; Faglia, G.; Flammini, A.; Sberveglieri, G. Exploitation of a low-cost electronic system, designed for low-conductance and wide-range measurements, to control metal oxide gas sensors with temperature profile protocols. Sens. Actuators B Chem. 2012, 175, 149–156. [Google Scholar] [CrossRef]
- Gosangi, R.; Gutierrez-Osuna, R. Active temperature modulation of metal-oxide sensors for quantitative analysis of gas mixtures. Sens. Actuators B Chem. 2013, 185, 201–210. [Google Scholar] [CrossRef]
- Amini, A.; Bagheri, M.A.; Montazer, G.A. Improving gas identification accuracy of a temperature-modulated gas sensor using an ensemble of classifiers. Sens. Actuators B Chem. 2013, 187, 241–246. [Google Scholar] [CrossRef]
- Liu, H.; He, Y.; Nagashima, K.; Meng, G.; Dai, T.; Tong, B.; Deng, Z.; Wang, S.; Zhu, N.; Yanagida, T.; et al. Discrimination of VOCs molecules via extracting concealed features from a temperature-modulated p-type NiO sensor. Sens. Actuators B Chem. 2019, 293, 342–349. [Google Scholar] [CrossRef]
- Hosseini-Golgoo, S.M.; Bozorgi, H.; Saberkari, A. Comparing success levels of different neural network structures in extracting discriminative information from the response patterns of a temperature-modulated resistive gas sensor. Meas. Sci. Technol. 2015, 26, 065103. [Google Scholar] [CrossRef]
- Hossein-Babaei, F.; Amini, A. Recognition of complex odors with a single generic tin oxide gas sensor. Sens. Actuators B Chem. 2014, 194, 156–163. [Google Scholar] [CrossRef]
- Zhao, W.J.; Ding, K.L.; Chen, Y.S.; Xie, F.Y.; Xu, D. Optimized Low Frequency Temperature Modulation for Improving the Selectivity and Linearity of SnO2 Gas Sensor. IEEE Sens. J. 2020, 20, 10433–10443. [Google Scholar] [CrossRef]
- Llobet, E.; Vergara, A.; Brezmes, J.; Ionescu, R. Temperature-modulated gas sensors: Selection of modulating frequencies through noise methods. In Noise and Information in Nanoelectronics, Sensors, and Standards II; Smulko, J.M., Blanter, Y., Dykman, M.I., Kish, L.B., Eds.; SPIE: Bellingham, WA, USA, 2004. [Google Scholar] [CrossRef]
- Vergara, A.; Martinelli, E.; Llobet, E.; D’Amico, A.; Di Natale, C. Optimized Feature Extraction for Temperature-Modulated Gas Sensors. J. Sens. 2009, 2009, 716316. [Google Scholar] [CrossRef]
- Gwiżdż, P.; Brudnik, A.; Zakrzewska, K. Temperature Modulated Response of Gas Sensors Array—Humidity Interference. Procedia Eng. 2012, 47, 1045–1048. [Google Scholar] [CrossRef]
- Herrero-Carrón, F.; Yáñez, D.J.; de Borja Rodríguez, F.; Varona, P. An active, inverse temperature modulation strategy for single sensor odorant classification. Sens. Actuators B Chem. 2015, 206, 555–563. [Google Scholar] [CrossRef]
- Oates, M.J.; Fox, P.; Sanchez-Rodriguez, L.; Carbonell-Barrachina, Á.A.; Ruiz-Canales, A. DFT based classification of olive oil type using a sinusoidally heated, low cost electronic nose. Comput. Electron. Agric. 2018, 155, 348–358. [Google Scholar] [CrossRef]
- Oates, M.J.; Gonzalez-Teruel, J.D.; Ruiz-Abellon, M.C.; Guillamon-Frutos, A.; Ramos, J.A.; Torres-Sanchez, R. Using a Low-Cost Components e-Nose for Basic Detection of Different Foodstuffs. IEEE Sens. J. 2022, 22, 13872–13881. [Google Scholar] [CrossRef]
- Yin, X.; Zhang, L.; Tian, F.; Zhang, D. Temperature Modulated Gas Sensing E-Nose System for Low-Cost and Fast Detection. IEEE Sens. J. 2016, 16, 464–474. [Google Scholar] [CrossRef]
- Krivetskiy, V.; Efitorov, A.; Arkhipenko, A.; Vladimirova, S.; Rumyantseva, M.; Dolenko, S.; Gaskov, A. Selective detection of individual gases and CO/H2 mixture at low concentrations in air by single semiconductor metal oxide sensors working in dynamic temperature mode. Sens. Actuators B Chem. 2018, 254, 502–513. [Google Scholar] [CrossRef]
- Yuan, Z.; Han, E.; Meng, F.; Zuo, K. Detection and Identification of Volatile Organic Compounds Based on Temperature-Modulated ZnO Sensors. IEEE Trans. Instrum. Meas. 2020, 69, 4533–4544. [Google Scholar] [CrossRef]
- He, A.; Wei, G.; Yu, J.; Li, M.; Li, Z.; Tang, Z. A Novel Sparse Representation Classification Method for Gas Identification Using Self-Adapted Temperature Modulated Gas Sensors. Sensors 2019, 19, 2173. [Google Scholar] [CrossRef]
- Iwata, T.; Saeki, M.; Okura, Y.; Yoshikawa, T. Gas discrimination based on enhanced gas-species related information obtained by a single gas sensor with novel temperature modulation. Sens. Actuators B Chem. 2022, 354, 131225. [Google Scholar] [CrossRef]
- Rodriguez Gamboa, J.C.; da Silva, A.J.; Araujo, I.C.S.; Albarracin E., E. S.; Duran A., C.M. Validation of the rapid detection approach for enhancing the electronic nose systems performance, using different deep learning models and support vector machines. Sens. Actuators B Chem. 2021, 327, 128921. [Google Scholar] [CrossRef]
- Nordström, I.; Sherwood, P.; Bohman, B.; Woodward, S.; Peterson, D.L.; Niño-Sánchez, J.; Sánchez-Gómez, T.; Díez, J.J.; Cleary, M. Utilizing volatile organic compounds for early detection of Fusarium circinatum. Sci. Rep. 2022, 12, 21661. [Google Scholar] [CrossRef]
- Falasconi, M.; Gobbi, E.; Pardo, M.; Torre, M.D.; Bresciani, A.; Sberveglieri, G. Detection of toxigenic strains of Fusarium verticillioides in corn by electronic olfactory system. Sens. Actuators B Chem. 2005, 108, 250–257. [Google Scholar] [CrossRef]
- Feng, H.; Viejo, C.G.; Vaghefi, N.; Taylor, P.W.J.; Tongson, E.; Fuentes, S. Early Detection of Fusarium oxysporum Infection in Processing Tomatoes (Solanum lycopersicum) and Pathogen–Soil Interactions Using a Low-Cost Portable Electronic Nose and Machine Learning Modeling. Sensors 2022, 22, 8645. [Google Scholar] [CrossRef] [PubMed]
- Labanska, M.; van Amsterdam, S.; Jenkins, S.; Clarkson, J.P.; Covington, J.A. Preliminary Studies on Detection of Fusarium Basal Rot Infection in Onions and Shallots Using Electronic Nose. Sensors 2022, 22, 5453. [Google Scholar] [CrossRef] [PubMed]
- Camardo Leggieri, M.; Mazzoni, M.; Bertuzzi, T.; Moschini, M.; Prandini, A.; Battilani, P. Electronic Nose for the Rapid Detection of Deoxynivalenol in Wheat Using Classification and Regression Trees. Toxins 2022, 14, 617. [Google Scholar] [CrossRef]








| Adsorption Phase | |
|---|---|
| A_Slope | Slope of the response curve at the beginning of the measurement, just after opening the sensor chamber and exposing the sensors to the measured gas. |
| A_End | Sensor response at the end of the adsorption phase. |
| A_Area | Area under the curve for the adsorption phase of the measurement. It is equivalent to the average of the responses during that measurement phase. |
| Heater Voltage Drop Step | |
| T_SlopeB_D | Slope of the sensor response curve at the beginning of the temperature modulation phase. |
| T_Min_D | Minimum magnitude of the sensor response curve. |
| T_Area_D | Area under the sensor response curve. |
| T_SlopeE_D | Slope of the sensor response curve at the end of the heater voltage drop step. |
| Heater Voltage Increase Step | |
| T_SlopeB_I | Slope of the sensor response curve at the beginning of the heater voltage increase step. |
| T_Max_I | Maximum magnitude of the sensor response curve. |
| T_Area_I | Area under the sensor response curve. |
| T_SlopeE_I | Slope of the sensor response curve at the heater voltage increase step. |
Disclaimer/Publisher’s Note: The statements, opinions and data contained in all publications are solely those of the individual author(s) and contributor(s) and not of MDPI and/or the editor(s). MDPI and/or the editor(s) disclaim responsibility for any injury to people or property resulting from any ideas, methods, instructions or products referred to in the content. |
© 2024 by the authors. Licensee MDPI, Basel, Switzerland. This article is an open access article distributed under the terms and conditions of the Creative Commons Attribution (CC BY) license (https://creativecommons.org/licenses/by/4.0/).
Share and Cite
Borowik, P.; Dyshko, V.; Tkaczyk, M.; Okorski, A.; Polak-Śliwińska, M.; Tarakowski, R.; Stocki, M.; Stocka, N.; Oszako, T. Analysis of Wheat Grain Infection by Fusarium Mycotoxin-Producing Fungi Using an Electronic Nose, GC-MS, and qPCR. Sensors 2024, 24, 326. https://doi.org/10.3390/s24020326
Borowik P, Dyshko V, Tkaczyk M, Okorski A, Polak-Śliwińska M, Tarakowski R, Stocki M, Stocka N, Oszako T. Analysis of Wheat Grain Infection by Fusarium Mycotoxin-Producing Fungi Using an Electronic Nose, GC-MS, and qPCR. Sensors. 2024; 24(2):326. https://doi.org/10.3390/s24020326
Chicago/Turabian StyleBorowik, Piotr, Valentyna Dyshko, Miłosz Tkaczyk, Adam Okorski, Magdalena Polak-Śliwińska, Rafał Tarakowski, Marcin Stocki, Natalia Stocka, and Tomasz Oszako. 2024. "Analysis of Wheat Grain Infection by Fusarium Mycotoxin-Producing Fungi Using an Electronic Nose, GC-MS, and qPCR" Sensors 24, no. 2: 326. https://doi.org/10.3390/s24020326
APA StyleBorowik, P., Dyshko, V., Tkaczyk, M., Okorski, A., Polak-Śliwińska, M., Tarakowski, R., Stocki, M., Stocka, N., & Oszako, T. (2024). Analysis of Wheat Grain Infection by Fusarium Mycotoxin-Producing Fungi Using an Electronic Nose, GC-MS, and qPCR. Sensors, 24(2), 326. https://doi.org/10.3390/s24020326

