Magnetic Sensor Angle Adjustment to Improve Corrosion under Insulation Detection
Abstract
1. Introduction
2. Finite Element Modelling Simulations
2.1. FEM Simulation Approach
2.2. FEM Sensor Angle Effect
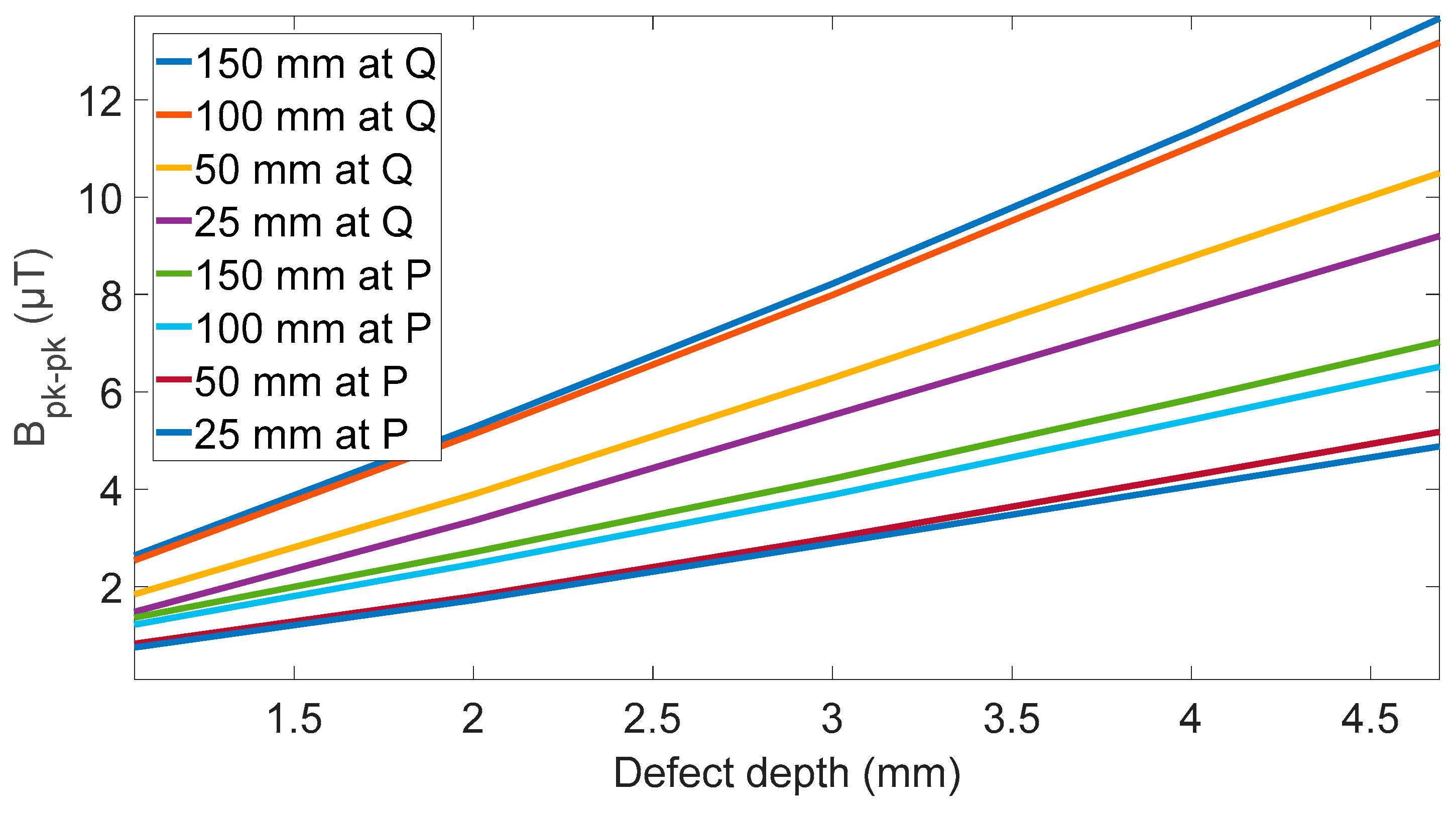
2.3. Defect Size Effects
2.4. FEM Summary
3. Experimental Design and Results
3.1. Experiment Setup
3.1.1. Sensor
3.1.2. Pipe Samples
3.1.3. Motion and Excitation System
3.2. Experimental Results
3.2.1. Effect of Sensor Angle and Position Relative to Excitation Coil
3.2.2. Defect-Free Pipe Mapping
3.2.3. Map of Pipe with Defects
4. Discussion
5. Conclusions
Author Contributions
Funding
Institutional Review Board Statement
Informed Consent Statement
Data Availability Statement
Acknowledgments
Conflicts of Interest
References
- IOSH Magazine. Marathon Oil Fined £1.16m for Offshore Gas Blast after Corroded Pipe Ruptured. Available online: https://www.ioshmagazine.com/marathon-oil-fined-ps116m-offshore-gas-blast-after-corroded-pipe-ruptured (accessed on 11 February 2021).
- Eltai, E.O.; Musharavati, F.; Mahdi, E. Severity of corrosion under insulation (CUI) to structures and strategies to detect it. Corros. Rev. 2019, 37, 553–564. [Google Scholar] [CrossRef]
- Amer, A.; Cunningham, V.; Alshehri, A.; Al-Taie, I. Inspection Challenges for Detecting Corrosion Under Insulation (CUI) in the Oil and Gas Industry. In Proceedings of the 17th Middle East Corrosion Conference and Exhibition (MECC), International NACEA, Sanabis, Bahrain, 30 September–3 October 2018. [Google Scholar]
- Zhu, W.; Rose, J.L.; Barshinger, J.N.; Agarwala, V.S. Ultrasonic Guided Wave NDT for Hidden Corrosion Detection. Res. Nondestruct. Eval. 1998, 10, 205–225. [Google Scholar] [CrossRef]
- Bray, A.V.; Corley, C.J.; Fischer, R.B.; Rose, J.L.; Quarry, M.J. Development of Guided Wave Ultrasonic Techniques for Detection of Corrosion under Insulation in Metal Pipe. Art. No. CONF-980213-. 1998. Available online: https://www.osti.gov/biblio/357813 (accessed on 11 December 2023).
- Jones, R.E.; Simonetti, F.; Lowe, M.J.S.; Bradley, I.P. Use of Microwaves for the Detection of Water as a Cause of Corrosion Under Insulation. J. Nondestruct. Eval. 2012, 31, 65–76. [Google Scholar] [CrossRef]
- Ong, P.S.; Patel, V.; Balasubramanyan, A. Quantitative characterization of corrosion under insulation. J. Nondestruct. Eval. 1997, 16, 135–146. [Google Scholar] [CrossRef]
- Balamesh, A.; Abdul-Majid, S. Imaging Corrosion Under Insulation by Gamma Ray Backscattering Method. In Proceedings of the 18th World Conference on Nondestructive Testing, Durban, South Africa, 16–20 April 2012. [Google Scholar]
- Kwun, H.; Holt, A.E. Feasibility of under-lagging corrosion detection in steel pipe using the magnetostrictive sensor technique. NDT E Int. 1995, 28, 211–214. [Google Scholar] [CrossRef]
- Rifai, D.; Abdalla, A.; Razali, R.; Ali, K.; Faraj, M. An Eddy Current Testing Platform System for Pipe Defect Inspection Based on an Optimized Eddy Current Technique Probe Design. Sensors 2017, 17, 579. [Google Scholar] [CrossRef] [PubMed]
- Xu, Z.; Zhou, Z.; Chen, H.; Qu, Z.; Liu, J. Effects of the wire mesh on pulsed eddy current detection of corrosion under insulation. Nondestruct. Test. Eval. 2023, 38, 233–253. [Google Scholar] [CrossRef]
- Guilizzoni, R.; Finch, G.; Harmon, S. Subsurface Corrosion Detection in Industrial Steel Structures. IEEE Magn. Lett. 2019, 10, 1–5. [Google Scholar] [CrossRef]
- Rifai, D.; Abdalla, A.N.; Ali, K.; Razali, R. Giant Magnetoresistance Sensors: A Review on Structures and Non-Destructive Eddy Current Testing Applications. Sensors 2016, 16, 298. [Google Scholar] [CrossRef] [PubMed]
- Bailey, J.A.S. Giant Magneto Resistance (GMR) Sensors for Non Destructive Testing. Master’s Thesis, Victoria University of Wellington, Wellington, New Zealand, 2015. [Google Scholar]
- Bailey, J.; Long, N.; Hunze, A. Eddy Current Testing with Giant Magnetoresistance (GMR) Sensors and a Pipe-Encircling Excitation for Evaluation of Corrosion under Insulation. Sensors 2017, 17, 2229. [Google Scholar] [CrossRef] [PubMed]
- Bailey, J.; Long, N.; Gouws, G. Detection of rebar corrosion in concrete power poles. In Proceedings of the EEA Conference and Exhibition 2021, Wellington, New Zealand, 30 June–1 July 2021. [Google Scholar]
- Basic Principles of ET. Available online: https://www.nde-ed.org/NDETechniques/EddyCurrent/Introduction/IntroductiontoET.xhtml (accessed on 6 January 2024).
- Burch, S. HOIS/OGTC Guidelines for In-Situ Inspection of Corrosion under Insulation (CUI); ESR Technology Ltd.: Oxfordshire, UK, 2020; Available online: https://www.esrtechnology.com/index.php/centres-of-excellence/hois/publications (accessed on 17 November 2020).
- Burch, S.; Collett, N.J. Results of HOIS/OGTC HOIS CUI Blind NDT Trials; HOIS-R-015; Engineering, Safety & Risk (ESR): Oxfordshire, UK, 2019. [Google Scholar]
- MultiDimension Technology, MDT-Linear-Sensors-TMR2001-Datasheet. TMR2001. Available online: https://www.aecsensors.com/components/com_virtuemart/shop_image/product/Magnetic-Tunnelling-Magnetoresistive-TMR-Linear-Sensors/pdfs/TMR2001-Datasheet-EN-V1.0a.pdf (accessed on 15 September 2023).
- Khan, M.; Mokhtar, A.; Hussin, H.; Muhammad, M. Prediction for CUI in Piping Systems using Fuzzy Logic with Sensitivity Analysis of Corrosion Producing Factors. MATEC Web Conf. 2018, 225, 06002. [Google Scholar] [CrossRef]
- Opera|SIMULIA by Dassault Systèmes®. Available online: https://www.3ds.com/products-services/simulia/products/opera/ (accessed on 24 January 2023).
- Opera-2d Reference Manual 2022; Vector Fields Limited: Oxford, UK, 2022.
- Advantage of Crocus TMR Axis of Sensitivity for Crosstalk and Current Trace Density—Crocus Technology—Advanced Magnetic Sensor Products. Available online: https://crocus-technology.com/advantage-of-crocus-tmr-axis-of-sensitivity-for-crosstalk-and-current-trace-density/ (accessed on 2 October 2023).
- Luo, P.; Tang, Q.; Jing, H.; Chen, X. Design and Development of a Self-Calibration- Based Inductive Absolute Angular Position Sensor. IEEE Sens. J. 2019, 19, 5446–5453. [Google Scholar] [CrossRef]
- Kakarakis, S.-D.J.; Spantideas, S.T.; Kapsalis, N.C.; Capsalis, C.N.; Junge, A. A Software-Based Calibration Technique for Characterizing the Magnetic Signature of EUTs in Measuring Facilities. IEEE Trans. Electromagn. Compat. 2017, 59, 334–341. [Google Scholar] [CrossRef]
- Springmann, J.; Cutler, J.; Bahcivan, H. Magnetic Sensor Calibration and Residual Dipole Characterization for Application to Nanosatellites. In Proceedings of the AIAA/AAS Astrodynamics Specialist Conference, Toronto, ON, Canada, 2–5 August 2010; American Institute of Aeronautics and Astronautics: Toronto, ON, Canada, 2010. [Google Scholar] [CrossRef]
- Bonnet, S.; Bassompierre, C.; Godin, C.; Lesecq, S.; Barraud, A. Calibration methods for inertial and magnetic sensors. Sens. Actuators A Phys. 2009, 156, 302–311. [Google Scholar] [CrossRef]
- ASTM A106/A106M-19a; Standard Specification For Seamless Carbon Steel Pipe for High-Temperature Service. World Trade Organization: Geneva, Switzerland, 2019. [CrossRef]





















| Unit 1 | Unit 2 | Unit 3 | Unit 4 | Expected | |
|---|---|---|---|---|---|
| Cross-sensitivity (%) | 0.59 | 0.82 | 0.43 | 0.74 | Unknown |
| Average field at zero current (µT) | −123.9 | −104.8 | −54.0 | 17.0 | ±375 |
| Average sensitivity at 5° (mV/µT) | 338.0 | 371.2 | 406.4 | 361 | 398.0 |
| Sensitivity range at 5° (mV/µT) | 3.3 | 9.0 | 2.1 | 25.7 | Unknown |
| Estimated misalignment (°) | −0.9 | 0.0 | −1.1 | 1.7 | ±2 |
| Defect ID Number | Axial Length (mm) | Radial Length (mm) or (°) | Max Depth (mm) | Defect Type |
|---|---|---|---|---|
| 1 | 25 | 25, (10) | 1.62 | Box |
| 2 | 70 | 35, (15.8) | 1.21 | Slot |
| 3 | 70 | 70, (30) | 7.42 | Box |
| 4 | 70 | 70, (30) | 5.93 | Box |
| 5 | 50 | 50, (21) | 7.48 | Box |
| 6 | 70 | 75, (31) | 5 | Slot |
| 7 | 70 | 50, (21) | 2.5 | Slot |
| 8 | 25 | 50, (21) | 6.48 | Box |
| 9 | 50 | 50, (21) | 3.48 | Box |
| 10 | 30 | 30, (13) | 6.62 | Box |
| Sensor Angle (°) | Average Field (μT) | Field Range (μT) | Peak 1 Maximum Field (μT) | Peak 1 Relative Peak Value (μT) |
|---|---|---|---|---|
| 0 | 21 | 28.2 | 36.5 | 15 |
| 0.1 | 18.6 | 31.4 | 31.4 | 12.8 |
| −1 | 14.9 | 34.3 | 23.0 | 8.1 |
| 1 | 14.5 | 26.9 | 23.0 | 8.5 |
| 2 | 133 | 55.4 | 148 | 15 |
| 5 | 280 | 51.9 | 293 | 13 |
Disclaimer/Publisher’s Note: The statements, opinions and data contained in all publications are solely those of the individual author(s) and contributor(s) and not of MDPI and/or the editor(s). MDPI and/or the editor(s) disclaim responsibility for any injury to people or property resulting from any ideas, methods, instructions or products referred to in the content. |
© 2024 by the authors. Licensee MDPI, Basel, Switzerland. This article is an open access article distributed under the terms and conditions of the Creative Commons Attribution (CC BY) license (https://creativecommons.org/licenses/by/4.0/).
Share and Cite
Bailey, J.; Gouws, G.J.; Long, N. Magnetic Sensor Angle Adjustment to Improve Corrosion under Insulation Detection. Sensors 2024, 24, 797. https://doi.org/10.3390/s24030797
Bailey J, Gouws GJ, Long N. Magnetic Sensor Angle Adjustment to Improve Corrosion under Insulation Detection. Sensors. 2024; 24(3):797. https://doi.org/10.3390/s24030797
Chicago/Turabian StyleBailey, Joseph, Gideon J. Gouws, and Nicholas Long. 2024. "Magnetic Sensor Angle Adjustment to Improve Corrosion under Insulation Detection" Sensors 24, no. 3: 797. https://doi.org/10.3390/s24030797
APA StyleBailey, J., Gouws, G. J., & Long, N. (2024). Magnetic Sensor Angle Adjustment to Improve Corrosion under Insulation Detection. Sensors, 24(3), 797. https://doi.org/10.3390/s24030797

