Application of Fractional Derivative Without Singular and Local Kernel to Enhanced Heat Transfer in CNTs Nanofluid Over an Inclined Plate
Abstract
1. Introduction
2. Description of the Proposed Model
3. Methodology
4. Solutions of the Problem
4.1. Solution of Energy Equation
4.2. Solutions of Momentum Equation
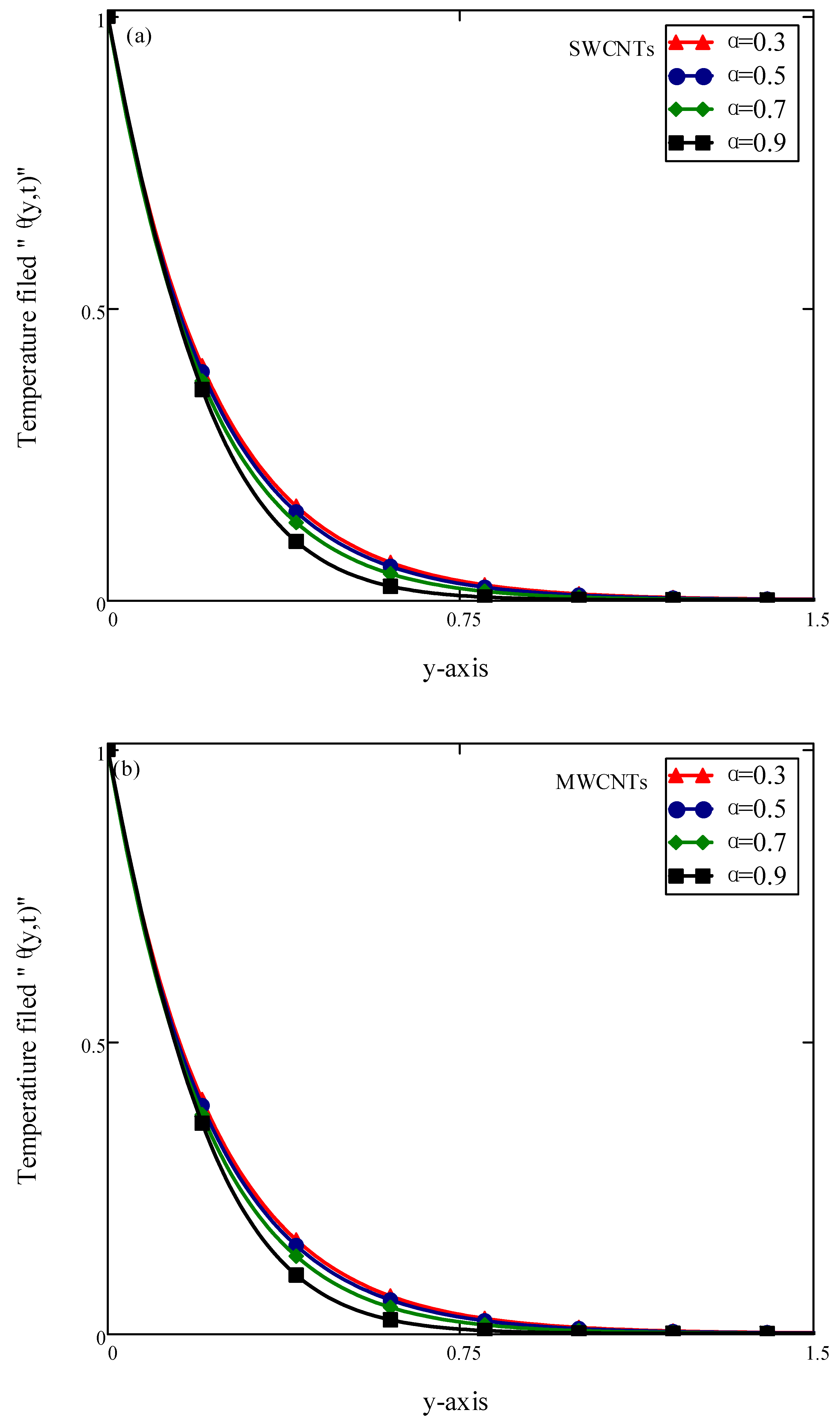
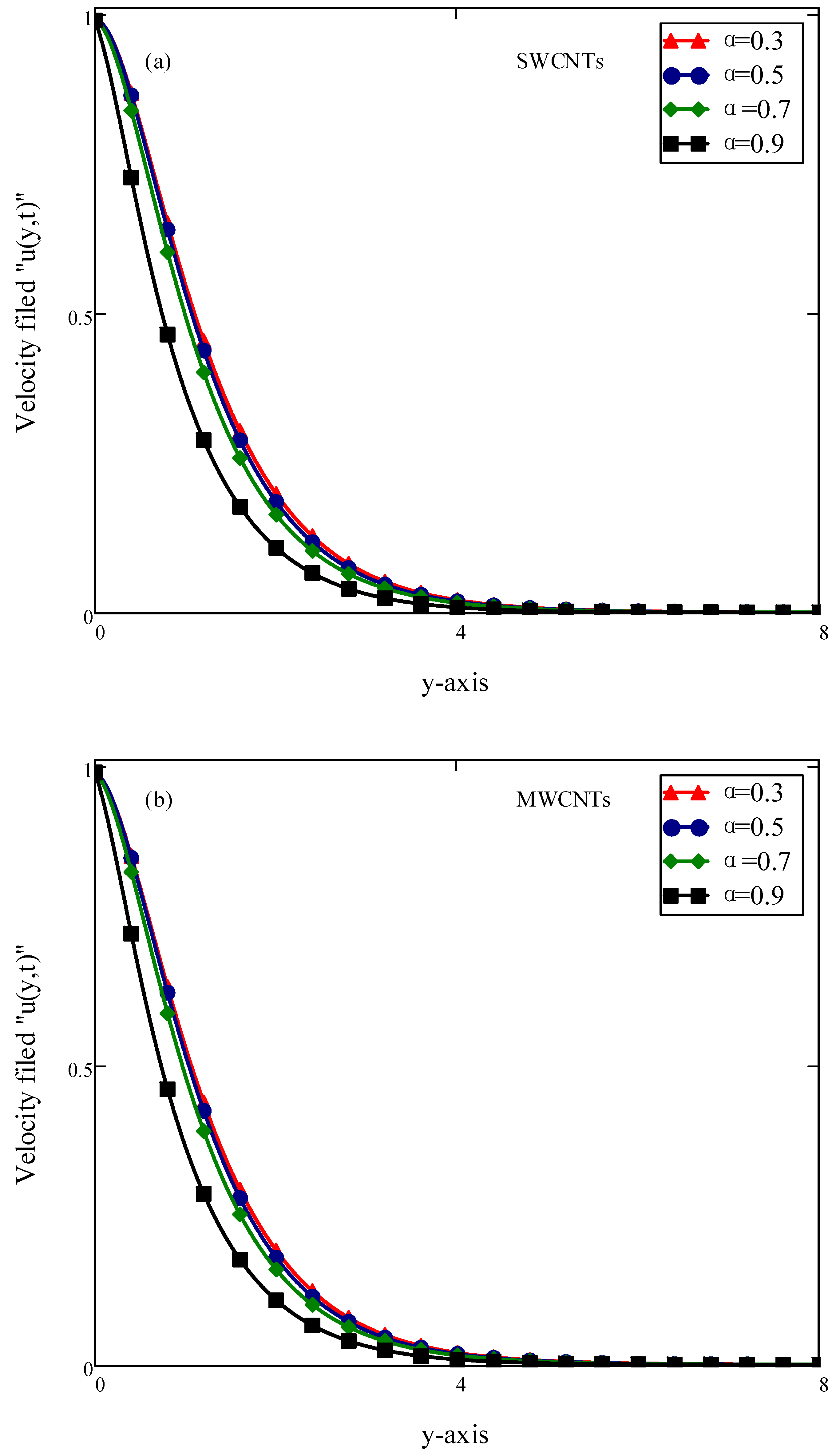
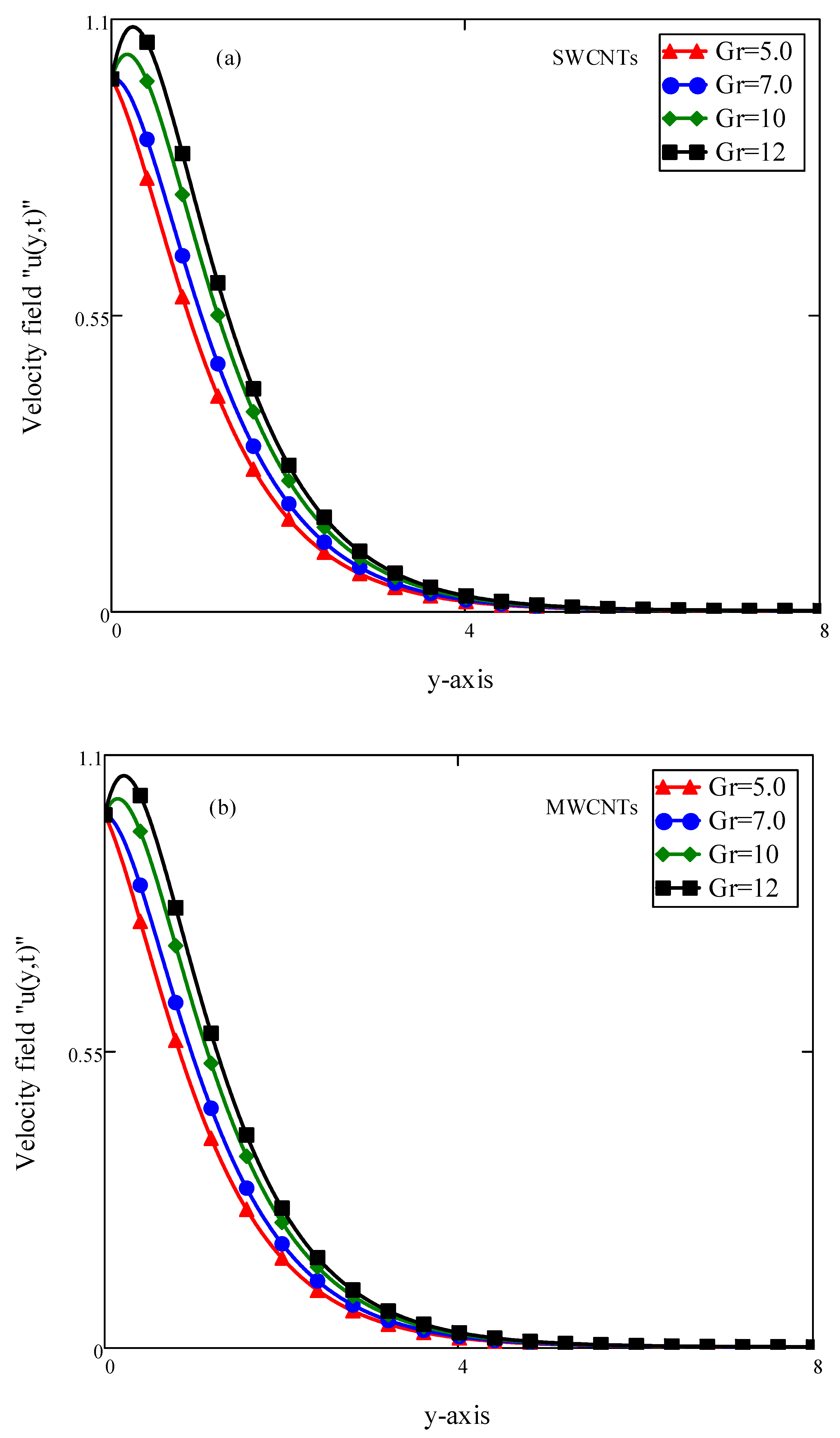
5. Discussion of Results
6. Concluding Remarks
- The fractional solutions for temperature and velocity fields are more general, reliable, and flexible, with memory and heredity properties that can be numerically reduced for any values of .
- The temperature profile increase with an increasing volume fraction of CNTs and decreases with increasing fractional parameters (for both cases of CNTs) because of variation in the thermal boundary layer.
- The velocity profile increases with increased permeability of the porous medium and thermal Grashof number, due to the improvement in the velocity boundary layer.
- Nanofluid motion (SWCNTs and MWCTs) retarded with increment in volume concentration of CNTs and magnetic parameters. The normal magnetic field has the strongest resistance to the motion.
- The trends and features of all the physical flow parameters are in excellent agreement with the published work.
Author Contributions
Funding
Acknowledgments
Conflicts of Interest
References
- Shahsavar, A.; Sardari, P.T.; Toghraie, D. Free convection heat transfer and entropy generation analysis of water-Fe3O4/CNT hybrid nanofluid in a concentric annulus. Int. J. Numer. Methods Heat Fluid Flow 2019. [Google Scholar] [CrossRef]
- Talebizadehsardari, P.; Shahsavar, A.; Toghraie, D.; Barnoon, P. An experimental investigation for study the rheological behavior of water–carbon nanotube/magnetite nanofluid subjected to a magnetic field. Phys. A Stat. Mech. Appl. 2019, 534, 122129. [Google Scholar] [CrossRef]
- Mahanthesh, B.; Lorenzini, G.; Oudina, F.M.; Animasaun, I.L. Significance of exponential space-and thermal-dependent heat source effects on nanofluid flow due to radially elongated disk with Coriolis and Lorentz forces. J. Therm. Anal. Calorim. 2019, 1–8. [Google Scholar] [CrossRef]
- Liou, T.-M.; Wei, T.-C.; Wang, C.-S. Investigation of nanofluids on heat transfer enhancement in a louvered microchannel with lattice Boltzmann method. J. Therm. Anal. Calorim. 2019, 135, 751–762. [Google Scholar] [CrossRef]
- Mebarek-Oudina, F.; Bessaïh, R. Numerical simulation of natural convection heat transfer of copper-water nanofluid in a vertical cylindrical annulus with heat sources. Thermophys. Aeromechanics 2019, 26, 325–334. [Google Scholar] [CrossRef]
- Raza, J.; Mebarek-Oudina, F.; Mahanthesh, B. Magnetohydrodynamic flow of nano Williamson fluid generated by stretching plate with multiple slips. Multidiscip. Modeling Mater. Struct. 2019, 15, 871–894. [Google Scholar] [CrossRef]
- Álvarez-Regueiro, E.; Vallejo, J.P.; Fernández-Seara, J.; Fernández, J.; Lugo, L. Experimental convection heat transfer analysis of a nano-enhanced industrial coolant. Nanomaterials 2019, 9, 267. [Google Scholar] [CrossRef]
- O Alzahrani, E.; Shah, Z.; Alghamdi, W.; Zaka Ullah, M. Darcy–Forchheimer Radiative Flow of Micropoler CNT Nanofluid in Rotating Frame with Convective Heat Generation/Consumption. Processes 2019, 7, 666. [Google Scholar] [CrossRef]
- Gul, T.; Khan, M.A.; Noman, W.; Khan, I.; Abdullah Alkanhal, T.; Tlili, I. Fractional order forced convection carbon nanotube nanofluid flow passing over a thin needle. Symmetry 2019, 11, 312. [Google Scholar] [CrossRef]
- Hussanan, A.; Khan, I.; Gorji, M.R.; Khan, W.A. CNT S-Water–Based Nanofluid Over a Stretching Sheet. BioNanoScience 2019, 9, 21–29. [Google Scholar] [CrossRef]
- Jabbari, F.; Rajabpour, A.; Saedodin, S. Viscosity of carbon nanotube/water nanofluid. J. Therm. Anal. Calorim. 2019, 135, 1787–1796. [Google Scholar] [CrossRef]
- Kumam, P.; Shah, Z.; Dawar, A.; Rasheed, H.U.; Islam, S. Entropy generation in MHD radiative flow of CNTs Casson nanofluid in rotating channels with heat source/sink. Math. Probl. Eng. 2019, 2019. [Google Scholar] [CrossRef]
- Murshed, S.S.; De Castro, C.N. Superior thermal features of carbon nanotubes-based nanofluids—A review. Renew. Sustain. Energy Rev. 2014, 37, 155–167. [Google Scholar] [CrossRef]
- Motevasel, M.; Soleimanynazar, A.; Jamialahmadi, M. Forced Convective Heat Transfer of Nano fluids: A Review of the Recent Literature. Am. J. Oil Chem. Technol. 2014, 2, 105–118. [Google Scholar]
- Sundar, L.S.; Sharma, K.; Naik, M.; Singh, M.K. Empirical and theoretical correlations on viscosity of nanofluids: A review. Renew. Sustain. Energy Rev. 2013, 25, 670–686. [Google Scholar] [CrossRef]
- Saqib, M.; Khan, I.; Shafie, S. Application of Atangana–Baleanu fractional derivative to MHD channel flow of CMC-based-CNT’s nanofluid through a porous medium. Chaos Solitons Fractals 2018, 116, 79–85. [Google Scholar] [CrossRef]
- Murshed, S.S.; De Castro, C.N.; Lourenço, M.; Lopes, M.; Santos, F. A review of boiling and convective heat transfer with nanofluids. Renew. Sustain. Energy Rev. 2011, 15, 2342–2354. [Google Scholar] [CrossRef]
- Xie, H.; Chen, L. Review on the preparation and thermal performances of carbon nanotube contained nanofluids. J. Chem. Eng. Data 2011, 56, 1030–1041. [Google Scholar] [CrossRef]
- Sarafraz, M.; Nikkhah, V.; Nakhjavani, M.; Arya, A. Fouling formation and thermal performance of aqueous carbon nanotube nanofluid in a heat sink with rectangular parallel microchannel. Appl. Therm. Eng. 2017, 123, 29–39. [Google Scholar] [CrossRef]
- Selimefendigil, F.; Öztop, H.F. Corrugated conductive partition effects on MHD free convection of CNT-water nanofluid in a cavity. Int. J. Heat Mass Transf. 2019, 129, 265–277. [Google Scholar] [CrossRef]
- Mohd-Ghazali, N.; Estellé, P.; Halelfadl, S.; Maré, T.; Siong, T.C.; Abidin, U. Thermal and hydrodynamic performance of a microchannel heat sink with carbon nanotube nanofluids. J. Therm. Anal. Calorim. 2019, 138, 937–945. [Google Scholar] [CrossRef]
- Abdeen, D.H.; Atieh, M.A.; Merzougui, B.; Khalfaoui, W. Corrosion Evaluation of 316L Stainless Steel in CNT-Water Nanofluid: Effect of CNTs Loading. Materials 2019, 12, 1634. [Google Scholar] [CrossRef] [PubMed]
- Abro, K.A.; Atangana, A. A comparative study of convective fluid motion in rotating cavity via Atangana–Baleanu and Caputo–Fabrizio fractal–fractional differentiations. Eur. Phys. J. Plus 2020, 135, 226. [Google Scholar] [CrossRef]
- Atangana, A.; Aguilar, J.F.G.; Kolade, M.O.; Hristov, J.Y. Fractional differential and integral operators with non-singular and non-local kernel with application to nonlinear dynamical systems. CSF 2020, 132, 109493. [Google Scholar] [CrossRef]
- Dubey, V.P.; Kumar, R.; Kumar, D.; Khan, I.; Singh, J. An efficient computational scheme for nonlinear time fractional systems of partial differential equations arising in physical sciences. Adv. Differ. Equ. 2020, 2020, 46. [Google Scholar] [CrossRef]
- Heydari, M.; Atangana, A. An optimization method based on the generalized Lucas polynomials for variable-order space-time fractional mobile-immobile advection-dispersion equation involving derivatives with non-singular kernels. Chaos Solitons Fractals 2020, 132, 109588. [Google Scholar] [CrossRef]
- Suthar, D.; Khan, A.; Alaria, A.; Purohit, S.; Singh, J. Extended Bessel-Maitland function and its properties pertaining to integral transforms and fractional calculus. AIMS Math. 2020, 5, 1400. [Google Scholar] [CrossRef]
- Veeresha, P.; Prakasha, D.; Singh, J. Solution for fractional forced KdV equation using fractional natural decomposition method. AIMS Math. 2019, 5, 798–810. [Google Scholar] [CrossRef]
- Veeresha, P.; Prakasha, D.; Singh, J. A novel approach for nonlinear equations occurs in ion acoustic waves in plasma with Mittag-Leffler law. Eng. Comput. 2020. [Google Scholar] [CrossRef]
- Podlubny, I. Fractional Differential Equations: An Introduction to Fractional Derivatives, Fractional Differential Equations, to Methods of Their Solution and Some of Their Applications; Elsevier: Amsterdam, The Netherlands, 1998. [Google Scholar]
- Caputo, M. Linear models of dissipation whose Q is almost frequency independent. Ann. Geophys. 1966, 19, 383–393. [Google Scholar] [CrossRef]
- Caputo, M. Linear models of dissipation whose Q is almost frequency independent—II. Geophys. J. Int. 1967, 13, 529–539. [Google Scholar] [CrossRef]
- Caputo, M.; Fabrizio, M. A new definition of fractional derivative without singular kernel. Progr. Fract. Differ. Appl. 2015, 1, 1–13. [Google Scholar]
- Atangana, A.; Doungmo Goufo, E. A model of the groundwater flowing within a leaky aquifer using the concept of local variable order derivative. J. Nonlinear Sci. Appl. 2015, 8, 763–775. [Google Scholar] [CrossRef]
- Ali, F.; Sheikh, N.A.; Khan, I.; Saqib, M. Solutions with Wright function for time fractional free convection flow of Casson fluid. Arab. J. Sci. Eng. 2017, 42, 2565–2572. [Google Scholar] [CrossRef]
- Khalid, A.; Khan, I.; Khan, A.; Shafie, S.; Tlili, I. Case study of MHD blood flow in a porous medium with CNTS and thermal analysis. Case Stud. Therm. Eng. 2018, 12, 374–380. [Google Scholar] [CrossRef]
- Saqib, M.; Khan, I.; Shafie, S. Generalized magnetic blood flow in a cylindrical tube with magnetite dusty particles. J. Magn. Magn. Mater. 2019, 484, 490–496. [Google Scholar] [CrossRef]
- Ali, F.; Saqib, M.; Khan, I.; Sheikh, N.A.; Jan, S.A.A. Exact analysis of MHD flow of a Walters’-B fluid over an isothermal oscillating plate embedded in a porous medium. Eur. Phys. J. Plus 2017, 132, 95. [Google Scholar] [CrossRef]
- Sheikh, N.A.; Ching, D.L.C.; Khan, I.; Kumar, D.; Nisar, K.S. A new model of fractional Casson fluid based on generalized Fick’s and Fourier’s laws together with heat and mass transfer. Alex. Eng. J. 2019. [Google Scholar] [CrossRef]
- Ali, F.; Saqib, M.; Khan, I.; Sheikh, N.A. Application of Caputo-Fabrizio derivatives to MHD free convection flow of generalized Walters’-B fluid model. Eur. Phys. J. Plus 2016, 131, 377. [Google Scholar] [CrossRef]
- Saqib, M.; Khan, I.; Shafie, S.; Qushairi, A. Recent Advancement inThermophysical Properties of Nanofluids and Hybrid nanofluids: An Overvies. City Univ. Int. J. Comput. Anal. 2020, 1, 16–25. [Google Scholar]
- Jan, S.A.A.; Ali, F.; Sheikh, N.A.; Khan, I.; Saqib, M.; Gohar, M. Engine oil based generalized brinkman-type nano-liquid with molybdenum disulphide nanoparticles of spherical shape: Atangana-Baleanu fractional model. Numer. Methods Partial Differ. Equ. 2018, 34, 1472–1488. [Google Scholar] [CrossRef]
- Shafie, S.; Saqib, M.; Khan, I.; Qushairi, A. Mixed Convection Flow of Brinkman Type Hybrid Nanofluid Based on Atangana-Baleanu Fractional Model. In Proceedings of the Journal of Physics: Conference Series, Kuantan, Malaysia, 23–25 July 2019; p. 012041. [Google Scholar]
- Saqib, M.; Khan, I.; Shafie, S. Shape Effect in Magnetohydrodynamic Free Convection Flow of Sodium Alginate-Ferrimagnetic Nanofluid. J. Therm. Sci. Eng. Appl. 2019, 11. [Google Scholar] [CrossRef]
- Ali, F.; Sheikh, N.A.; Khan, I.; Saqib, M. Magnetic field effect on blood flow of Casson fluid in axisymmetric cylindrical tube: A fractional model. J. Magn. Magn. Mater. 2017, 423, 327–336. [Google Scholar] [CrossRef]
- Khan, I.; Saqib, M.; Alqahtani, A.M. Channel flow of fractionalized H2O-based CNTs nanofluids with Newtonian heating. Discret. Contin. Dyn. Syst. S 2019, 13, 769–779. [Google Scholar] [CrossRef]












| Physical Quantity | Mathematical Model |
|---|---|
| Density | |
| Dynamic viscosity | |
| Electrical conductivity | |
| Thermal expansion | |
| Heat capacitance | |
| Thermal conductivity |
| Material | Base Fluid | Nanoparticles | |
|---|---|---|---|
| Human Blood | SWCNTs | MWCMTs | |
| 1053 | 2600 | 1600 | |
| 3594 | 425 | 796 | |
| 0.492 | 6600 | 3000 | |
| 0.8 | 10−6−10−7 | 1.9 × 10−4 | |
| 0.18 | 21 | 44 | |
© 2020 by the authors. Licensee MDPI, Basel, Switzerland. This article is an open access article distributed under the terms and conditions of the Creative Commons Attribution (CC BY) license (http://creativecommons.org/licenses/by/4.0/).
Share and Cite
Saqib, M.; Mohd Kasim, A.R.; Mohammad, N.F.; Chuan Ching, D.L.; Shafie, S. Application of Fractional Derivative Without Singular and Local Kernel to Enhanced Heat Transfer in CNTs Nanofluid Over an Inclined Plate. Symmetry 2020, 12, 768. https://doi.org/10.3390/sym12050768
Saqib M, Mohd Kasim AR, Mohammad NF, Chuan Ching DL, Shafie S. Application of Fractional Derivative Without Singular and Local Kernel to Enhanced Heat Transfer in CNTs Nanofluid Over an Inclined Plate. Symmetry. 2020; 12(5):768. https://doi.org/10.3390/sym12050768
Chicago/Turabian StyleSaqib, Muhammad, Abdul Rahman Mohd Kasim, Nurul Farahain Mohammad, Dennis Ling Chuan Ching, and Sharidan Shafie. 2020. "Application of Fractional Derivative Without Singular and Local Kernel to Enhanced Heat Transfer in CNTs Nanofluid Over an Inclined Plate" Symmetry 12, no. 5: 768. https://doi.org/10.3390/sym12050768
APA StyleSaqib, M., Mohd Kasim, A. R., Mohammad, N. F., Chuan Ching, D. L., & Shafie, S. (2020). Application of Fractional Derivative Without Singular and Local Kernel to Enhanced Heat Transfer in CNTs Nanofluid Over an Inclined Plate. Symmetry, 12(5), 768. https://doi.org/10.3390/sym12050768

