Stop Band Continuous Profile Filter in Empty Substrate Integrated Coaxial Line
Abstract
Featured Application
Abstract
1. Introduction
2. Materials and Methods
2.1. ESICL
2.2. Coupling Coefficient and Impedance
2.3. Impedance in ESICL
2.4. Design Procedure
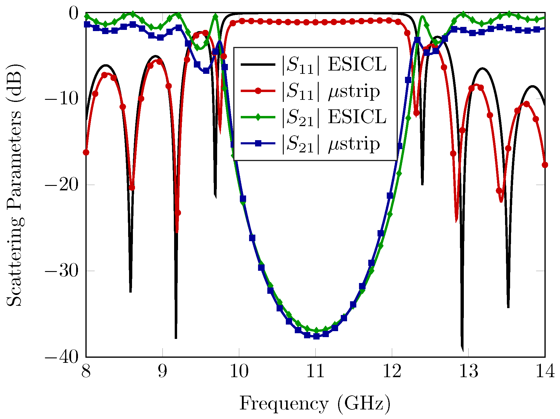
3. Results
4. Discussion
5. Conclusions
Author Contributions
Funding
Conflicts of Interest
Abbreviations
| SIW | Substrate integrated waveguide |
| ESIW | Empty substrate integrated waveguide |
| MSIW | Modified substrate integrated waveguide |
| AFSIW | Air filled substrate integrated waveguide |
| HSIW | Hollow substrate integrated waveguide |
| DSIW | Dielectricless substrate integrated waveguide |
| ESICL | Empty substrate integrated coaxial line |
| SICL | Substrate integrated coaxial cine |
| GCPW | Grounded coplanar waveguide |
| TEM | Transversal electric and magnetic |
| CST | Computer Simulation Technology |
| IL | Insertion losses |
| FBW | Fractional bandwidth |
References
- Deslandes, D.; Wu, K. Integrated microstrip and rectangular waveguide in planar form. IEEE Microw. Wirel. Compon. Lett. 2001, 11, 68–70. [Google Scholar] [CrossRef]
- Deslandes, D.; Wu, K. Accurate modeling, wave mechanisms, and design considerations of a substrate integrated waveguide. IEEE Trans. Microw. Theory Tech. 2006, 54, 2516–2526. [Google Scholar] [CrossRef]
- Gatti, F.; Bozzi, M.; Perregrini, L.; Wu, K.; Bosisio, R.G. A Novel Substrate Integrated Coaxial Line (SICL) for Wide-Band Applications. In Proceedings of the 2006 European Microwave Conference, Manchester, UK, 10–15 September 2006; pp. 1614–1617. [Google Scholar]
- Zhang, D.D.; Zhou, L.; Wu, L.S.; Qiu, L.F.; Yin, W.Y.; Mao, J.F. Novel Bandpass Filters by Using Cavity-Loaded Dielectric Resonators in a Substrate Integrated Waveguide. IEEE Trans. Microw. Theory Tech. 2014, 62, 1173–1182. [Google Scholar] [CrossRef]
- Chu, P.; Hong, W.; Dai, L.; Tang, H.; Chen, J.; Hao, Z.; Zhu, X.; Wu, K. A Planar Bandpass Filter Implemented With a Hybrid Structure of Substrate Integrated Waveguide and Coplanar Waveguide. IEEE Trans. Microw. Theory Tech. 2014, 62, 266–274. [Google Scholar] [CrossRef]
- Honari, M.M.; Mirzavand, R.; Saghlatoon, H.; Mousavi, P. Two-Layered Substrate Integrated Waveguide Filter for UWB Applications. IEEE Microw. Wirel. Compon. Lett. 2017, 27, 633–635. [Google Scholar] [CrossRef]
- Huang, L.; Zhang, S. Ultra-Wideband Ridged Half-Mode Folded Substrate-Integrated Waveguide Filters. IEEE Microw. Wirel. Compon. Lett. 2018, 28, 579–581. [Google Scholar] [CrossRef]
- Yang, T.Y.; Hong, W.; Zhang, Y. Wideband Millimeter-Wave Substrate Integrated Waveguide Cavity-Backed Rectangular Patch Antenna. IEEE Antennas Wirel. Propag. Lett. 2014, 13, 205–208. [Google Scholar] [CrossRef]
- Liu, J.; Jackson, D.R.; Long, Y. Substrate Integrated Waveguide (SIW) Leaky-Wave Antenna With Transverse Slots. IEEE Trans. Antennas Propag. 2012, 60, 20–29. [Google Scholar] [CrossRef]
- Caballero, E.D.; Martinez, A.B.; Gonzalez, H.E.; Belda, O.M.; Esbert, V.B. A novel transition from microstrip to a substrate integrated waveguide with higher characteristic impedance. In Proceedings of the 2013 IEEE MTT-S International Microwave Symposium Digest (MTT), Seattle, WA, USA, 2–7 June 2013; pp. 1–4. [Google Scholar]
- Deslandes, D. Design equations for tapered microstrip-to-Substrate Integrated Waveguide transitions. In Proceedings of the 2010 IEEE MTT-S International Microwave Symposium, Anaheim, CA, USA, 23–28 May 2010; pp. 704–707. [Google Scholar]
- Zhang, Z.Y.; Wu, K. A Broadband Substrate Integrated Waveguide (SIW) Planar Balun. IEEE Microw. Wirel. Compon. Lett. 2007, 17, 843–845. [Google Scholar] [CrossRef]
- Zhu, F.; Hong, W.; Chen, J.X.; Wu, K. Ultra-Wideband Single and Dual Baluns Based on Substrate Integrated Coaxial Line Technology. IEEE Trans. Microw. Theory Tech. 2012, 60, 3062–3070. [Google Scholar] [CrossRef]
- Ali, A.; Aubert, H.; Fonseca, N.; Coccetti, F. Wideband two-layer SIW coupler: design and experiment. Electron. Lett. 2009, 45, 687–689. [Google Scholar] [CrossRef]
- Patrovsky, A.; Daigle, M.; Wu, K. Coupling mechanism in hybrid SIW–CPW forward couplers for millimeter-wave substrate integrated circuits. IEEE Trans. Microw. Theory Tech. 2008, 56, 2594–2601. [Google Scholar] [CrossRef]
- Gatti, F.; Bozzi, M.; Perregrini, L.; Wu, K.; Bosisio, R.G. A new wide-band six-port junction based on substrate integrated coaxial line (SICL) technology. In Proceedings of the MELECON 2006—2006 IEEE Mediterranean Electrotechnical Conference, Malaga, Spain, 16–19 May 2006; pp. 367–370. [Google Scholar]
- Xu, F.; Wu, K. Substrate Integrated Nonradiative Dielectric Waveguide Structures Directly Fabricated on Printed Circuit Boards and Metallized Dielectric Layers. IEEE Trans. Microw. Theory Tech. 2011, 59, 3076–3086. [Google Scholar] [CrossRef]
- Hong, W.; Liu, B.; Wang, Y.; Lai, Q.; Tang, H.; Yin, X.X.; Dong, Y.D.; Zhang, Y.; Wu, K. Half Mode Substrate Integrated Waveguide: A New Guided Wave Structure for Microwave and Millimeter Wave Application. Proceedigns of the 2006 Joint 31st International Conference on Infrared Millimeter Waves and 14th International Conference on Teraherz Electronics, Shanghai, China, 18–22 September 2006; p. 219. [Google Scholar]
- Cassivi, Y.; Wu, K. Substrate integrated nonradiative dielectric waveguide. IEEE Microw. Wirel. Compon. Lett. 2004, 14, 89–91. [Google Scholar] [CrossRef]
- Deslandes, D.; Bozzi, M.; Arcioni, P.; Wu, K. Substrate integrated slab waveguide (SISW) for wideband microwave applications. In Proceedings of the IEEE MTT-S International Microwave Symposium Digest, Philadelphia, PA, USA, 8–13 June 2003; Volume 2, pp. 1103–1106. [Google Scholar]
- Ranjkesh, N.; Shahabadi, M. Reduction of dielectric losses in substrate integrated waveguide. Electron. Lett. 2006, 42, 1230–1231. [Google Scholar] [CrossRef]
- Belenguer, A.; Esteban, H.; Boria, V. Novel Empty Substrate Integrated Waveguide for High-Performance Microwave Integrated Circuits. Microw. Theory Tech. IEEE Trans. 2014, 62, 832–839. [Google Scholar] [CrossRef]
- Parment, F.; Ghiotto, A.; Vuong, T.P.; Duchamp, J.M.; Wu, K. Broadband transition from dielectric-filled to air-filled Substrate Integrated Waveguide for low loss and high power handling millimeter-wave Substrate Integrated Circuits. In Proceedings of the 2014 IEEE MTT-S International Microwave Symposium (IMS2014), Tampa, FL, USA, 1–6 June 2014; pp. 1–3. [Google Scholar]
- Jin, L.; Lee, R.M.A.; Robertson, I. Analysis and Design of a Novel Low-Loss Hollow Substrate Integrated Waveguide. IEEE Trans. Microw. Theory Tech. 2014, 62, 1616–1624. [Google Scholar] [CrossRef]
- Bigelli, F.; Mencarelli, D.; Farina, M.; Venanzoni, G.; Scalmati, P.; Renghini, C.; Morini, A. Design and Fabrication of a Dielectricless Substrate-Integrated Waveguide. IEEE Trans. Compon. Packag. Manuf. Technol. 2016, 6, 256–261. [Google Scholar] [CrossRef]
- Jastram, N.; Filipovic, D.S. PCB-Based Prototyping of 3-D Micromachined RF Subsystems. IEEE Trans. Antennas Propag. 2014, 62, 420–429. [Google Scholar] [CrossRef]
- Belenguer, A.; Borja, A.L.; Esteban, H.; Boria, V.E. High-Performance Coplanar Waveguide to Empty Substrate Integrated Coaxial Line Transition. IEEE Trans. Microw. Theory Tech. 2015, 63, 4027–4034. [Google Scholar] [CrossRef]
- Borja, A.L.; Belenguer, A.; Esteban, H.; Boria, V.E. Design and Performance of a High- Q Narrow Bandwidth Bandpass Filter in Empty Substrate Integrated Coaxial Line at Ku -Band. IEEE Microw. Wirel. Compon. Lett. 2017, 27, 977–979. [Google Scholar] [CrossRef]
- Arnedo, I.; Arregui, I.; Lujambio, A.; Chudzik, M.; Laso, M.A.G.; Lopetegi, T. Synthesis of Microwave Filters by Inverse Scattering Using a Closed-Form Expression Valid for Rational Frequency Responses. IEEE Trans. Microw. Theory Tech. 2012, 60, 1244–1257. [Google Scholar] [CrossRef]
- Arnedo, I.; Arregui, I.; Chudzik, M.; Teberio, F.; Lujambio, A.; Benito, D.; Lopetegi, T.; Laso, M.A.G. Direct and Exact Synthesis: Controlling the Microwaves by Means of Synthesized Passive Components with Smooth Profiles. IEEE Microw. Mag. 2015, 16, 114–128. [Google Scholar] [CrossRef]
- Caballero, E.D.; Roldan, I.; Urrea, V.; Chudzik, M.; Arregui, I.; Arnedo, I.; Belenguer, A. Mapping smooth profile H-plane rectangular waveguide structures to substrate integrated waveguide technology. Electron. Lett. 2014, 50, 1072–1074. [Google Scholar] [CrossRef]
- Schwartz, J.D.; Abhari, R.; Plant, D.V.; Azana, J. Design and Analysis of 1-D Uniform and Chirped Electromagnetic Bandgap Structures in Substrate-Integrated Waveguides. IEEE Trans. Microw. Theory Tech. 2010, 58, 1858–1866. [Google Scholar] [CrossRef]
- Arnedo, I.; Laso, M.A.G.; Falcone, F.; Benito, D.; Lopetegi, T. A Series Solution for the Single-Mode Synthesis Problem Based on the Coupled-Mode Theory. IEEE Trans. Microw. Theory Tech. 2008, 56, 457–466. [Google Scholar] [CrossRef]
- Wadell, B.C. Transmission Line Design Handbook; Artech House: Norwood, MA, USA, 1991. [Google Scholar]
- Nelder, J.A.; Mead, R. A simplex method for function minimization. Comput. J. 1965, 7, 308–313. [Google Scholar] [CrossRef]











© 2018 by the authors. Licensee MDPI, Basel, Switzerland. This article is an open access article distributed under the terms and conditions of the Creative Commons Attribution (CC BY) license (http://creativecommons.org/licenses/by/4.0/).
Share and Cite
Gómez, D.; Esteban, H.; Belenguer, A.; Boria, V.E.; Borja, A.L. Stop Band Continuous Profile Filter in Empty Substrate Integrated Coaxial Line. Appl. Sci. 2018, 8, 2176. https://doi.org/10.3390/app8112176
Gómez D, Esteban H, Belenguer A, Boria VE, Borja AL. Stop Band Continuous Profile Filter in Empty Substrate Integrated Coaxial Line. Applied Sciences. 2018; 8(11):2176. https://doi.org/10.3390/app8112176
Chicago/Turabian StyleGómez, Darío, Héctor Esteban, Angel Belenguer, Vicente E. Boria, and Alejandro L. Borja. 2018. "Stop Band Continuous Profile Filter in Empty Substrate Integrated Coaxial Line" Applied Sciences 8, no. 11: 2176. https://doi.org/10.3390/app8112176
APA StyleGómez, D., Esteban, H., Belenguer, A., Boria, V. E., & Borja, A. L. (2018). Stop Band Continuous Profile Filter in Empty Substrate Integrated Coaxial Line. Applied Sciences, 8(11), 2176. https://doi.org/10.3390/app8112176

