Effect of Ultrasound on Dissolution of Polymeric Blends and Phase Inversion in Flat Sheet and Hollow Fiber Membranes for Ultrafiltration Applications
Abstract
1. Introduction
2. Materials and Methods
2.1. Materials
2.2. Dissolution of the Polymeric Mixture by Stirring and Ultrasound
2.3. Characterization of the Polymeric Mixture
2.3.1. Viscosity and Rheological Behavior
2.3.2. Calorimetric Analysis of Polymeric Blends
2.4. Membrane Fabrication
2.4.1. Ultrasound-Assisted Flat Sheet Membranes
2.4.2. Ultrasound-Assisted Hollow Fiber Membranes
2.5. Characterization of the Manufactured Filtration Membranes
2.5.1. Internal Structure of the Membranes
2.5.2. Filtration Performance (Flux and Retention)
2.5.3. Protein Retention by Electrophoretic Analysis
2.5.4. MWCO Determination by HPLC
2.6. Statistical Analysis
3. Results and Discussion
3.1. Dissolution of Polymer Mixture by Agitation and Ultrasound
3.1.1. Dissolution Time and Viscosity of Polymer Blends
3.1.2. Rheological Behavior of Polymer Blends
3.1.3. Calorimetric Analysis: TGA and DSC of Polymer Blends
3.2. Effect of Ultrasound on the Elaboration of Flat Membranes
3.2.1. Flat Membranes Internal Structure Micrographs
3.2.2. Whey Protein Filtration Capabilities of Flat Membranes
3.3. Effect of Ultrasound on the External Coagulant Bath in Hollow Fiber Membrane Fabrication
3.3.1. Hollow Fiber Membranes Internal Structure Micrographs
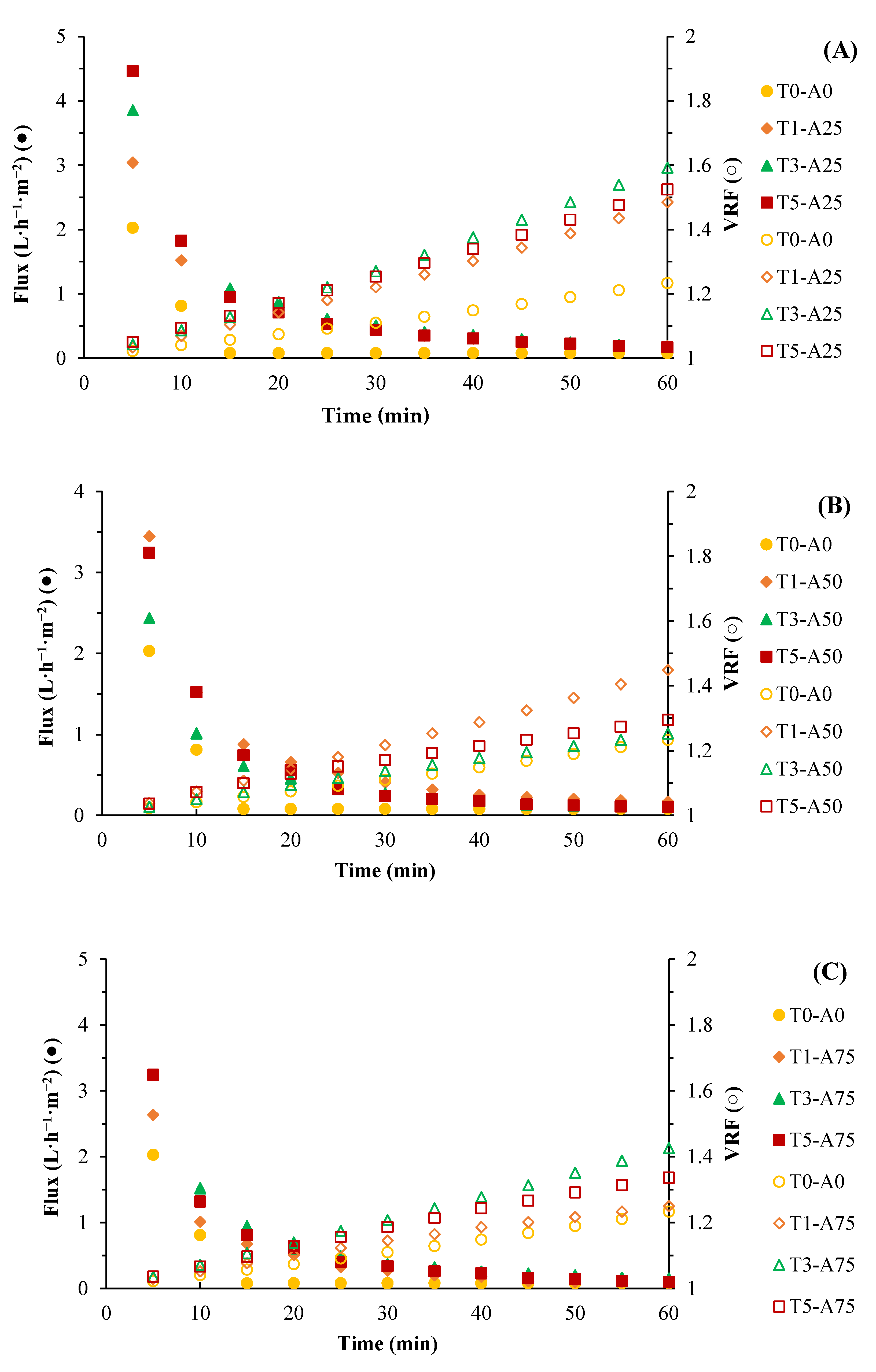
3.3.2. Whey Protein Filtration Capabilities of Hollow Fiber Membranes
3.3.3. Hollow Fiber MWCO
4. Conclusions
Author Contributions
Funding
Institutional Review Board Statement
Informed Consent Statement
Data Availability Statement
Acknowledgments
Conflicts of Interest
Abbreviations
| CA | cellulose acetate |
| PES | polyethersulfone |
| PSF | polysulfone |
| PVDF | polyvinylidene |
| PP | polypropylene |
| NIPS | non-solvent-induced phase separation |
| PVP | polyvinyl pyrrolidone |
| PEG | polyethylene glycol |
| MWCO | molecular weight cut-off |
| NMP | N-methyl-2-pyrrolidone |
| DMAc | dimethylacetamide |
| DMF | N,N-dimethylformamide |
| TGA | thermogravimetric analysis |
| DSC | differential scanning calorimetry |
| SEM | scanning electron microscope |
| J | permeate flux (L·h−1·m−2) |
| R | protein retention capacity |
| NTU | nephelometric turbidity unit |
| VRF | volume reduction factor |
| SDS | sodium dodecyl sulfate |
| G′ | storage modulus |
| G″ | loss modulus |
| Tg | glass transition temperature |
| Tm | melting temperature |
| MW | molecular weight |
Appendix A




References
- Miramontes-Escobar, H.A.; Hengl, N.; Dornier, M.; Montalvo-González, E.; Chacón-López, M.A.; Achir, N.; Vaillant, F.; Ortiz-Basurto, R.I. Coupling Low-Frequency Ultrasound to a Crossflow Microfiltration Pilot: Effect of Ultrasonic Pulse Application on Sono-Microfiltration of Jackfruit Juice. Membranes 2024, 14, 192. [Google Scholar] [CrossRef] [PubMed]
- Bera, S.P.; Godhaniya, M.; Kothari, C. Emerging and advanced membrane technology for wastewater treatment: A review. J. Basic Microbiol. 2022, 62, 245–259. [Google Scholar] [CrossRef] [PubMed]
- Othman, N.H.; Alias, N.H.; Fuzil, N.S.; Marpani, F.; Shahruddin, M.Z.; Chew, C.M.; Ismail, A.F. A review on the use of membrane technology systems in developing countries. Membranes 2021, 12, 30. [Google Scholar] [CrossRef] [PubMed]
- Dmitrieva, E.S.; Anokhina, T.S.; Novitsky, E.G.; Volkov, V.V.; Borisov, I.L.; Volkov, A.V. Polymeric membranes for oil-water separation: A review. Polymers 2022, 14, 980. [Google Scholar] [CrossRef]
- Mamah, S.C.; Goh, P.S.; Ismail, A.F.; Suzaimi, N.D.; Yogarathinam, L.T.; Raji, Y.O.; El-badawy, T.H. Recent development in modification of polysulfone membrane for water treatment application. J. Water Process. Eng. 2021, 40, 101835. [Google Scholar] [CrossRef]
- Saxena, P.; Shukla, P. A comprehensive review on fundamental properties and applications of poly (vinylidene fluoride) (PVDF). Adv. Compos. Hybrid Mater. 2021, 4, 8–26. [Google Scholar] [CrossRef]
- Guo, M.; Kanezashi, M. Recent progress in a membrane-based technique for propylene/propane separation. Membranes 2021, 11, 310. [Google Scholar] [CrossRef]
- Vatanpour, V.; Pasaoglu, M.E.; Barzegar, H.; Teber, O.O.; Kaya, R.; Bastug, M.; Khataee, A.; Koyuncu, I. Cellulose acetate in fabrication of polymeric membranes: A review. Chemosphere 2022, 295, 133914. [Google Scholar] [CrossRef]
- Goswami, K.P.; Pugazhenthi, G. Credibility of polymeric and ceramic membrane filtration in the removal of bacteria and virus from water: A review. J. Environ. Manag. 2020, 268, 110583. [Google Scholar] [CrossRef]
- Asiri, A.M.; Petrosino, F.; Pugliese, V.; Khan, S.B.; Alamry, K.A.; Alfifi, S.Y.; Marwani, H.M.; Alotaibi, M.M.; Algieri, C.; Chakraborty, S. Synthesis and Characterization of Blended Cellulose Acetate Membranes. Polymers 2022, 14, 4. [Google Scholar] [CrossRef]
- Wang, J.; Song, H.; Ren, L.; Talukder, M.E.; Chen, S.; Shao, J. Study on the preparation of cellulose acetate separation membrane and new adjusting method of pore size. Membranes 2021, 12, 9. [Google Scholar] [CrossRef] [PubMed]
- Yang, S.; Tang, R.; Dai, Y.; Wang, T.; Zeng, Z.; Zhang, L. Fabrication of cellulose acetate membrane with advanced ultrafiltration performances and antibacterial properties by blending with HKUST-1@ LCNFs. Sep. Purif. Technol. 2021, 279, 119524. [Google Scholar] [CrossRef]
- Meireles, C.d.S.; Filho, G.R.; Fernandes Ferreira, M.; Cerqueira, D.A.; Assunção, R.M.N.; Ribeiro, E.A.M.; Poletto, P.; Zeni, M. 2010. Characterization of asymmetric membranes of cellulose acetate from biomass: Newspaper and mango seed. Carbohyd. Polym. 2010, 80, 954–961. [Google Scholar] [CrossRef]
- Das, A.M.; Ali, A.A.; Hazarika, M.P. Synthesis and characterization of cellulose acetate from rice husk: Eco-friendly condition. Carbohyd. Polym. 2014, 112, 342–349. [Google Scholar] [CrossRef]
- Hamed, O.A.; Jodeh, S.; Al-Hajj, N.; Hamed, E.M.; Abo-Obeid, A.; Fouad, Y. Cellulose acetate from biomass waste of olive industry. J. Wood Sci. 2015, 61, 45–52. [Google Scholar] [CrossRef]
- Soto-Salcido, L.A.; González-Sánchez, G.; Rocha-Gutierrez, B.; Peralta-Perez, R.; Zavala-Díaz, F.J.; Ballinas-Casarrubias, L. Preparation, characterization and performance of acetylated cellulignin membranes obtained by green methods from biomass. Desalination 2018, 430, 186–196. [Google Scholar] [CrossRef]
- Villanueva-Solís, L.A.; Ruíz-Cuilty, K.; Camacho-Dávila, A.; Espinoza-Hicks, J.C.; González-Sánchez, G.; Ballinas-Casarrubias, L. Lignocellulosic waste pretreatment and esterification using green solvents. Sep. Purif. Technol. 2020, 250, 117102. [Google Scholar] [CrossRef]
- Tibi, F.; Charfi, A.; Cho, J.; Kim, J. Fabrication of polymeric membranes for membrane distillation process and application for wastewater treatment: Critical review. Process Saf. Environ. Prot. 2020, 141, 190–201. [Google Scholar] [CrossRef]
- Nasrollahi, N.; Ghalamchi, L.; Vatanpour, V.; Khataee, A.; Yousefpoor, M. Novel polymeric additives in the preparation and modification of polymeric membranes: A comprehensive review. J. Ind. Eng. Chem. 2022, 109, 100–124. [Google Scholar] [CrossRef]
- Khan, B.; Zhan, W.; Lina, C. Cellulose acetate (CA) hybrid membrane prepared by phase inversion method combined with chemical reaction with enhanced permeability and good anti-fouling property. J. Appl. Polym. Sci. 2020, 137, 49556. [Google Scholar] [CrossRef]
- Jiang, S.; Ladewig, B.P. Green synthesis of polymeric membranes: Recent advances and future prospects. Curr. Opin. Green Sustain. Chem. 2020, 21, 1–8. [Google Scholar] [CrossRef]
- Hong, S.U.; Wang, Y.; Soh, L.S.; Yong, W.F. Are green solvents truly green? Integrating life cycle assessment and techno-economic analysis for sustainable membrane fabrication. Green Chem. 2023, 25, 4501–4512. [Google Scholar] [CrossRef]
- Mehrabani, S.A.N.; Vatanpour, V.; Koyuncu, I. Green solvents in polymeric membrane fabrication: A review. Sep. Purif. Technol. 2022, 298, 121691. [Google Scholar] [CrossRef]
- Rasool, M.A.; Vankelecom, I.F. Preparation of full-bio-based nanofiltration membranes. J. Membr. Sci. 2021, 618, 118674. [Google Scholar] [CrossRef]
- Zou, D.; Nunes, S.P.; Vankelecom, I.F.; Figoli, A.; Lee, Y.M. Recent advances in polymer membranes employing non-toxic solvents and materials. Green Chem. 2021, 23, 9815–9843. [Google Scholar] [CrossRef]
- Díaz de los Ríos, M.; Hernández Ramos, E. Determination of the Hansen solubility parameters and the Hansen sphere radius with the aid of the solver add-in of Microsoft Excel. SN Appl. Sci. 2020, 2, 1–7. [Google Scholar] [CrossRef]
- Prasad, R.; Dalvi, S.V. Sonocrystallization: Monitoring and controlling crystallization using ultrasound. Chem. Eng. Sci. 2020, 226, 115911. [Google Scholar] [CrossRef]
- Cai, B.; Mazahreh, J.; Ma, Q.; Wang, F.; Hu, X. Ultrasound-assisted fabrication of biopolymer materials: A review. Int. J. Biol. Macromol. 2022, 209, 1613–1628. [Google Scholar] [CrossRef]
- Petkovšek, M.; Kržan, A.; Šmid, A.; Žagar, E.; Zupanc, M. Degradation of water-soluble poly (vinyl alcohol) with acoustic and hydrodynamic cavitation: Laying foundations for microplastics. NPJ Clean Water 2023, 6, 35. [Google Scholar] [CrossRef]
- Dehane, A.; Merouani, S.; Hamdaoui, O.; Alghyamah, A. A comprehensive numerical analysis of heat and mass transfer phenomenons during cavitation sono-process. Ultrason. Sonochem. 2021, 73, 105498. [Google Scholar] [CrossRef]
- Lan, W.; Liu, C.F.; Yue, F.X.; Sun, R.C.; Kennedy, J.F. Ultrasound-assisted dissolution of cellulose in ionic liquid. Carbohydr. Polym. 2011, 86, 672–677. [Google Scholar] [CrossRef]
- Wang, X.; Majzoobi, M.; Farahnaky, A. Ultrasound-assisted modification of functional properties and biological activity of biopolymers: A review. Ultrason. Sonochem. 2020, 65, 105057. [Google Scholar] [CrossRef]
- Lupacchini, M.; Mascitti, A.; Giachi, G.; Tonucci, L.; d’Alessandro, N.; Martinez, J.; Colacino, E. Sonochemistry in non-conventional, green solvents or solvent-free reactions. Tetrahedron 2017, 73, 609–653. [Google Scholar] [CrossRef]
- McKenzie, T.G.; Karimi, F.; Ashokkumar, M.; Qiao, G.G. Ultrasound and sonochemistry for radical polymerization: Sound synthesis. Chem. Eur. J. 2019, 25, 5372–5388. [Google Scholar] [CrossRef] [PubMed]
- Haouache, S.; Karam, A.; Chave, T.; Clarhaut, J.; Amaniampong, P.N.; Fernandez, J.M.G.; Vigier, K.D.O.; Capron, I.; Jérôme, F. Selective radical depolymerization of cellulose to glucose induced by high frequency ultrasound. Chem. Sci. 2020, 11, 2664–2669. [Google Scholar] [CrossRef]
- Tao, M.M.; Liu, F.; Xue, L.X. Poly (vinylidene fluoride) membranes by an ultrasound assisted phase inversion method. Ultrason. Sonochem. 2013, 20, 232–238. [Google Scholar] [CrossRef]
- Qu, T.; Pan, K.; Li, L.; Liang, B.; Wang, L.; Cao, B. Influence of Ultrasonication Conditions on the Structure and Performance of Poly(vinylidene fluoride) Membranes Prepared by the Phase Inversion Method. Ind. Eng. Chem. Res. 2014, 53, 8228–8234. [Google Scholar] [CrossRef]
- Huan, Y.; Li, Z.; Li, C.; Li, G. Adsorption performances of Methylene blue by poly(vinylidene fluoride)/MWCNT membranes via ultrasound-assisted phase inversion method. Desal. Water Treat. 2019, 163, 83–95. [Google Scholar] [CrossRef]
- Ionita, M.; Crica, L.E.; Voicu, S.I.; Pandele, A.M.; Iovu, H. Fabrication of cellulose triacetate/graphene oxide porous membrane. Polym. Adv. Technol. 2016, 27, 350–357. [Google Scholar] [CrossRef]
- Kuzminova, A.; Dmitrenko, M.; Dubovenko, R.; Puzikova, M.; Mikulan, A.; Korovina, A.; Koroleva, A.; Selyutin, A.; Semenov, K.; Su, R.; et al. Development and Study of Novel Ultrafiltration Membranes Based on Cellulose Acetate. Polymers 2024, 16, 1236. [Google Scholar] [CrossRef]
- Ren, S.; Huang, G.; Yao, Y.; Zhang, P.; Zhang, Z.; Wang, Y. Integrating radical polymerization and non-solvent induced phase inversion strategy for functionalized ultrafiltration membrane fabrication. Desalination 2024, 573, 117220. [Google Scholar] [CrossRef]
- Ahmad, A.L.; Otitoju, T.A.; Ooi, B.S. Hollow fiber (HF) membrane fabrication: A review on the effects of solution spinning conditions on morphology and performance. J. Ind. Eng. Chem. 2019, 70, 35–50. [Google Scholar] [CrossRef]
- Karimi, A.; Khataee, A.; Vatanpour, V.; Safarpour, M. The effect of different solvents on the morphology and performance of the ZIF-8 modified PVDF ultrafiltration membranes. Sep. Purif. Technol. 2020, 253, 117548. [Google Scholar] [CrossRef]
- Xie, J.; Jin, Y.C. Parameter determination for the Cross rheology equation and its application to modeling non-Newtonian flows using the WC-MPS method. Eng. Appl. Comput. Fluid Mech. 2016, 10, 111–129. [Google Scholar] [CrossRef]
- Calderón-Chiu, C.; Calderón-Santoyo, M.; Barros-Castillo, J.C.; Díaz, J.A.; Ragazzo-Sánchez, J.A. Structural Modification of Jackfruit Leaf Protein Concentrate by Enzymatic Hydrolysis and Their Effect on the Emulsifier Properties. Colloids Interfaces 2022, 6, 52. [Google Scholar] [CrossRef]
- Ballinas, L.; Torras, C.; Fierro, V.; Garcia-Valls, R. Factors influencing activated carbon-polymeric composite membrane structure and performance. J. Phys. Chem. Solids 2004, 65, 633–637. [Google Scholar] [CrossRef]
- Torrestiana-Sánchez, B.; Ortiz-Basurto, R.I.; Brito-De La Fuente, E. Effect of nonsolvents on properties of spinning solutions and polyethersulfone hollow fiber ultrafiltration membranes. J. Membr. Sci. 1999, 152, 19–28. [Google Scholar] [CrossRef]
- Terrazas-Bandala, L.P.; Gonzalez-Sanchez, G.; Garcia-Valls, R.; Gumi, T.; Beurroies, I.; Denoyel, R.; Torras, C.; Ballinas-Casarrubias, L. Influence of humidity, temperature, and the addition of activated carbon on the preparation of cellulose acetate membranes and their ability to remove arsenic from water. J. Appl. Polym. Sci. 2014, 131. [Google Scholar] [CrossRef]
- Rahimpour, A.; Madaeni, S.S. Polyethersulfone (PES)/cellulose acetate phthalate (CAP) blend ultrafiltration membranes: Preparation, morphology, performance and antifouling properties. J. Membr. Sci. 2007, 305, 299–312. [Google Scholar] [CrossRef]
- Jang, H.; Kang, S.; Kim, J. Identification of Membrane Fouling with Greywater Filtration by Porous Membranes: Combined Effect of Membrane Pore Size and Applied Pressure. Membranes 2024, 14, 46. [Google Scholar] [CrossRef]
- Laemmli, U.K. Cleavage of structure proteins during the assembly of the head of bacteriophage T4. Nature 1970, 227, 680–685. [Google Scholar] [CrossRef] [PubMed]
- González-Félix, G.K.; Luna-Suárez, S.; García-Ulloa, M.; Martínez-Montaño, E.; Barreto-Curiel, F.; Rodríguez-González, H. Extraction methods and nutritional characterization of protein concentrates obtained from bean, chickpea, and corn discard grains. Curr. Res. Food Sci. 2023, 7, 100612. [Google Scholar] [CrossRef] [PubMed]
- Aliyu, M.; Hepher, M.J. Effects of ultrasound energy on degradation of cellulose material. Ultrason. Sonochem. 2000, 7, 265–268. [Google Scholar] [CrossRef] [PubMed]
- Ávila-Orta, C.; Espinoza-González, C.; Martínez-Colunga, G.; Bueno-Baqués, D.; Maffezzoli, A.; Lionetto, F. An overview of progress and current challenges in ultrasonic treatment of polymer melts. Adv. Polym. Technol. 2013, 32, E582–E602. [Google Scholar] [CrossRef]
- Ramli, H.; Zainal, N.F.A.; Hess, M.; Chan, C.H. Basic principle and good practices of rheology for polymers for teachers and beginners. Chem. Teach. Int. 2022, 4, 307–326. [Google Scholar] [CrossRef]
- Zhang, L.; Jiang, Z.; Yang, S.; Zeng, Z.; Zhang, W.; Zhang, L. Different rheological behaviours of cellulose/tetrabutylammonium acetate/dimethyl sulfoxide/water mixtures. Cellulose 2020, 27, 7967–7978. [Google Scholar] [CrossRef]
- Digaitis, R.; Wadsö, L.; Fredriksson, M.; Thybring, E.E. Effect of acetylation on wood-water interactions studied by sorption calorimetry. Cellulose 2024, 31, 7325–7334. [Google Scholar] [CrossRef]
- Utracki, L.A. Rheology of polymer blends. Encycl. Polym. Blends 2011, 27–108. [Google Scholar] [CrossRef]
- Osswald, T.A.; Rudolph, N. Polymer rheology: Fundamentals and Applications; Hanser Publications Springer: Munich, Germany, 2014. [Google Scholar] [CrossRef]
- Ebagninin, K.W.; Benchabane, A.; Bekkour, K. Rheological characterization of poly (ethylene oxide) solutions of different molecular weights. J. Colloid Interface Sci. 2009, 336, 360–367. [Google Scholar] [CrossRef]
- Turan, O.; Sachdeva, A.; Chakraborty, N.; Poole, R.J. Laminar natural convection of power-law fluids in a square enclosure with differentially heated side walls subjected to constant temperatures. J. Non-Newtonian Fluid Mech. 2011, 166, 1049–1063. [Google Scholar] [CrossRef]
- Mousavi, S.M.; Raveshiyan, S.; Amini, Y.; Zadhoush, A. A critical review with emphasis on the rheological behavior and properties of polymer solutions and their role in membrane formation, morphology, and performance. Adv. Colloid Interface Sci. 2023, 319, 102986. [Google Scholar] [CrossRef] [PubMed]
- Vinodhini, P.A.; Sangeetha, K.; Thandapani, G.; Sudha, P.N.; Jayachandran, V.; Sukumaran, A. FTIR, XRD and DSC studies of nanochitosan, cellulose acetate and polyethylene glycol blend ultrafiltration membranes. Int. J. Biol. Macromol. 2017, 104, 1721–1729. [Google Scholar] [CrossRef]
- Hu, W. The melting point of chain polymers. J. Chem. Phys. 2000, 113, 3901–3908. [Google Scholar] [CrossRef]
- Rodrigues Filho, G.; Monteiro, D.S.; da Silva Meireles, C.; de Assunção, R.M.N.; Cerqueira, D.A.; Barud, H.S.; Messadeq, Y. Synthesis and characterization of cellulose acetate produced from recycled newspaper. Carb. Polym. 2008, 73, 74–82. [Google Scholar] [CrossRef]
- Arthanareeswaran, G.; Thanikaivelan, P.; Srinivasn, K.; Mohan, D.; Rajendran, M. Synthesis, characterization and thermal studies on cellulose acetate membranes with additive. Eur. Polym. J. 2004, 40, 2153–2159. [Google Scholar] [CrossRef]
- Cavalcante, L.; de Alencar, A.E.V.; Mazzeto, S.E.; de A Soares, S. The effect of additives on the thermal degradation of cellulose acetate. Polym. Degrad. Stab. 2003, 80, 149–155. [Google Scholar] [CrossRef]
- Wang, W.Q.; Zhou, J.Y.; Li, J.J.; Cong-Cong, T. The Mechanism of Whey Protein on Membrane Surface Fouling During Ultrafiltration Process. Food Biophys. 2024, 19, 143–159. [Google Scholar] [CrossRef]
- Abdelrasoul, A.; Doan, H.; Lohi, A.; Cheng, C.H. Morphology control of polysulfone membranes in filtration processes: A critical review. ChemBioEng Rev. 2015, 2, 22–43. [Google Scholar] [CrossRef]
- Ali, A.; Ain, Q.; Saeed, A.; Khalid, W.; Ahmed, M.; Bostani, A. Bio-Molecular Characteristics of Whey Proteins with Relation to Inflammation; In New advances in the dairy industry. IntechOpen 2022. [Google Scholar] [CrossRef]
- Alsalhy, Q.F.; Rashid, K.T.; Noori, W.A.; Simone, S.; Figoli, A.; Drioli, E. Poly (vinyl chloride) hollow-fiber membranes for ultrafiltration applications: Effects of the internal coagulant composition. J. Appl. Polym. Sci. 2012, 124, 2087–2099. [Google Scholar] [CrossRef]
- Ruckdashel, R.R. The Role of Spinneret Configurations on Hollow Fiber Formation and Impacts of Hollow Fiber Geometry on Thermal and Acoustic Properties. Ph.D. Thesis, North Carolina State University, Raleigh, NC, USA, 2019; p. 27700918. [Google Scholar]
- Kuczmarski, M.A.; Johnston, J.C. Acoustic Absorption in Porous Materials; NASA Glenn Research Center: Cleveland, OH, USA, 2011. [Google Scholar]
- Pereira, G.L.D.; Cardozo-Filho, L.; Jegatheesan, V.; Guirardello, R. Generalization and expansion of the Hermia model for a better understanding of membrane fouling. Membranes 2023, 13, 290. [Google Scholar] [CrossRef] [PubMed]
- Coronel, M. Microfiltración Tangencial. Enfoque UTE [online] 2012, 3, 1–7. Available online: https://www.redalyc.org/articulo.oa?id=572260835001 (accessed on 25 January 2025). [CrossRef]
- Wang, Q.; Dai, F.; Zhang, S.; Chen, C.; Yu, Y. Fabrication of ultrafiltration membranes by poly (aryl ether nitrile) with poly (ethylene glycol) as additives. Water Sci. Technol. 2020, 82, 2847–2856. [Google Scholar] [CrossRef] [PubMed]











| Composition (Polymer/Additive/Solvent) | Process US | Conditions (kHz/Hzmax/W/Wmax) | Application Time | Observations | Reference |
|---|---|---|---|---|---|
| PVDF/LiCl/DMF | Phase inversion | 40 kHz/40 kHz/180–300 W/300 W | 60 s | Improves interdiffusion between solvent and nonsolvent, affecting membrane morphology and performance. | [36] |
| PVDF/NMP | Phase inversion | 45, 80, 100 kHz/100 kHz/120–300 W/300 W | 20 min | Promotes the formation of cellular pores and improves membrane porosity and permeability. | [37] |
| PVDF/MWCNT/DMF | Phase inversion | Not reported/100 kHz/60 W, 80 W, and 100 W/300 W | 20 s, 40 s, and 60 s | Modified membrane structure by promoting the formation of finger-like pores instead of macropores. Improved permeability. | [38] |
| CA/ZnO/DMF | Phase inversion | Not reported | 8 h | Increases pore size, improves hydrophilicity, and enhances mechanical stability. | [10] |
| CTA/Graphene oxide/DMF | Polymer disolution | Not reported | 90 min | Facilitates graphene dispersion in the polymer matrix, improving structural orientation. | [39] |
| CA/PEG-400, PS, or PL/DMAc | Polymer disolution | Not reported | Not reported | Aids in the dissolution of additives in the polymer solution promote homogeneity. | [40] |
| PVDF/PVP/DMF | Degassing polymer solution | Not reported | 10 min | Allowed the removal of bubbles from the polymer mixture. | [41] |
| Polymer Blends | Ultrasonic Intensity (W/cm2) | Effective Dissolution Time (min) | Apparent Viscosity (Pa·s) |
|---|---|---|---|
| PEG-CA | 0 ± 0.00 a | 2880 ± 30.01 a | 3.24 ± 0.06 ab |
| PEG-CA-A50% | 59.61 ± 3.89 b | 35.0 ± 2.50 b | 3.17 ± 0.04 a |
| PEG-CA-A100% | 123.23 ± 4.19 c | 17.5 ± 1.01 b | 3.43 ± 0.02 b |
| PEG-A50% + CA | 55.81 ± 4.6 b | 32.5 ± 2.50 b | 3.23 ± 0.03 ab |
| PEG-A100% + CA | 118.6 ± 4.00 c | 15.0 ± 1.01 b | 3.25 ± 0.07 ab |
| Blends | R2 | (Pa·s) | (Pa·s) | λ (s) | n |
|---|---|---|---|---|---|
| PEG-CA | 0.974 ± 0.001 | 4.25 ± 0.25 | 0.73 ± 0.26 | 0.002 ± 0.0002 | 0.381 ± 0.169 |
| PEG-CA-A50% | 0.978 ± 0.014 | 3.55 ± 0.13 | 0.18 ± 0.04 | 0.002 ± 0.0001 | 0.257 ± 0.200 |
| PEG-CA-A100% | 0.987 ± 0.010 | 3.88 ± 0.19 | 0.21 ± 0.12 | 0.002 ± 0.0001 | 0.371 ± 0.141 |
| PEG-A50%-CA | 0.996 ± 0.001 | 4.32 ± 0.06 | 0.17 ± 0.01 | 0.002 ± 0.0001 | 0.444 ± 0.323 |
| PEG-A100%-CA | 0.988 ± 0.002 | 3.69 ± 0.08 | 0.21 ± 0.33 | 0.002 ± 0.0002 | 0.371 ± 0.202 |
| Polymer Blends | T 80% (°C) | T 90% (°C) | T 95% (°C) | Glass Transition Temperature Tg (°C) | Melting Temperature Tm (°C) |
|---|---|---|---|---|---|
| PEG-CA | 176.50 ± 2.12 a | 321.5 ± 2.12 a | 399.0 ± 2.41 a | 165.98 ± 0.06 a | 217.56 ± 1.35 a |
| PEG-CA-A100% | 172 ± 1.41 a | 302.5 ± 3.53 b | 397.0 ± 1.70 a | 166.07 ± 0.46 a | 225.52 ± 1.49 b |
| PEG-A100%-CA | 164 ± 1.41 b | 292.5 ± 1.53 c | 395.5 ± 1.94 a | 165.63 ± 0.27 a | 220.78 ± 1.47 a |
| Membrane | NTU in Permeate | Retention (%) |
|---|---|---|
| T0-A0 | 19.5 ± 0.7 a | 97.22 ± 0.1 a |
| T1-A25 | 20.5 ± 0.7 a | 97.08 ± 0.1 a |
| T3-A25 | 19.5 ± 0.7 a | 98.22 ± 0.1 a |
| T5-A25 | 20.5 ± 0.7 a | 97.08 ± 0.1 a |
| T1-A50 | 20.5 ± 0.7 a | 97.08 ± 0.1 a |
| T3-A50 | 20.5 ± 0.7 a | 97.08 ± 0.1 a |
| T5-A50 | 19.5 ± 0.7 a | 97.22 ± 0.1 a |
| T1-A75 | 20.5 ± 0.7 a | 97.08 ± 0.1 a |
| T3-A75 | 19.5 ± 0.7 a | 97.22 ± 0.1 a |
| T5-A75 | 19.0 ± 1.4 a | 97.29 ± 0.2 a |
| Membrane | NTU in Permeate | Reduction (%) |
|---|---|---|
| A-0% (Control) | 86.67 ± 8.40 a | 90.57 ± 0.914 a |
| A-5% | 50.33 ± 6.65 b | 94.52 ± 0.72 b |
| A-10% | 103.67 ± 3.05 a | 88.72 ± 0.33 a |
| A-20% | 275.00 ± 22.27 c | 70.08 ± 2.42 c |
Disclaimer/Publisher’s Note: The statements, opinions and data contained in all publications are solely those of the individual author(s) and contributor(s) and not of MDPI and/or the editor(s). MDPI and/or the editor(s) disclaim responsibility for any injury to people or property resulting from any ideas, methods, instructions or products referred to in the content. |
© 2025 by the authors. Licensee MDPI, Basel, Switzerland. This article is an open access article distributed under the terms and conditions of the Creative Commons Attribution (CC BY) license (https://creativecommons.org/licenses/by/4.0/).
Share and Cite
Méndez-Valdivia, G.K.; Ballinas-Casarrubias, M.D.L.; González-Sánchez, G.; Valdés, H.; Montalvo-González, E.; Chacón-López, M.A.; Martínez-Montaño, E.; Torrestiana-Sánchez, B.; Miramontes-Escobar, H.A.; Ortiz-Basurto, R.I. Effect of Ultrasound on Dissolution of Polymeric Blends and Phase Inversion in Flat Sheet and Hollow Fiber Membranes for Ultrafiltration Applications. Membranes 2025, 15, 120. https://doi.org/10.3390/membranes15040120
Méndez-Valdivia GK, Ballinas-Casarrubias MDL, González-Sánchez G, Valdés H, Montalvo-González E, Chacón-López MA, Martínez-Montaño E, Torrestiana-Sánchez B, Miramontes-Escobar HA, Ortiz-Basurto RI. Effect of Ultrasound on Dissolution of Polymeric Blends and Phase Inversion in Flat Sheet and Hollow Fiber Membranes for Ultrafiltration Applications. Membranes. 2025; 15(4):120. https://doi.org/10.3390/membranes15040120
Chicago/Turabian StyleMéndez-Valdivia, Gilberto Katmandú, María De Lourdes Ballinas-Casarrubias, Guillermo González-Sánchez, Hugo Valdés, Efigenia Montalvo-González, Martina Alejandra Chacón-López, Emmanuel Martínez-Montaño, Beatriz Torrestiana-Sánchez, Herenia Adilene Miramontes-Escobar, and Rosa Isela Ortiz-Basurto. 2025. "Effect of Ultrasound on Dissolution of Polymeric Blends and Phase Inversion in Flat Sheet and Hollow Fiber Membranes for Ultrafiltration Applications" Membranes 15, no. 4: 120. https://doi.org/10.3390/membranes15040120
APA StyleMéndez-Valdivia, G. K., Ballinas-Casarrubias, M. D. L., González-Sánchez, G., Valdés, H., Montalvo-González, E., Chacón-López, M. A., Martínez-Montaño, E., Torrestiana-Sánchez, B., Miramontes-Escobar, H. A., & Ortiz-Basurto, R. I. (2025). Effect of Ultrasound on Dissolution of Polymeric Blends and Phase Inversion in Flat Sheet and Hollow Fiber Membranes for Ultrafiltration Applications. Membranes, 15(4), 120. https://doi.org/10.3390/membranes15040120

