Polymer Flow in Porous Media: Relevance to Enhanced Oil Recovery
Abstract
1. Introduction
2. Theory
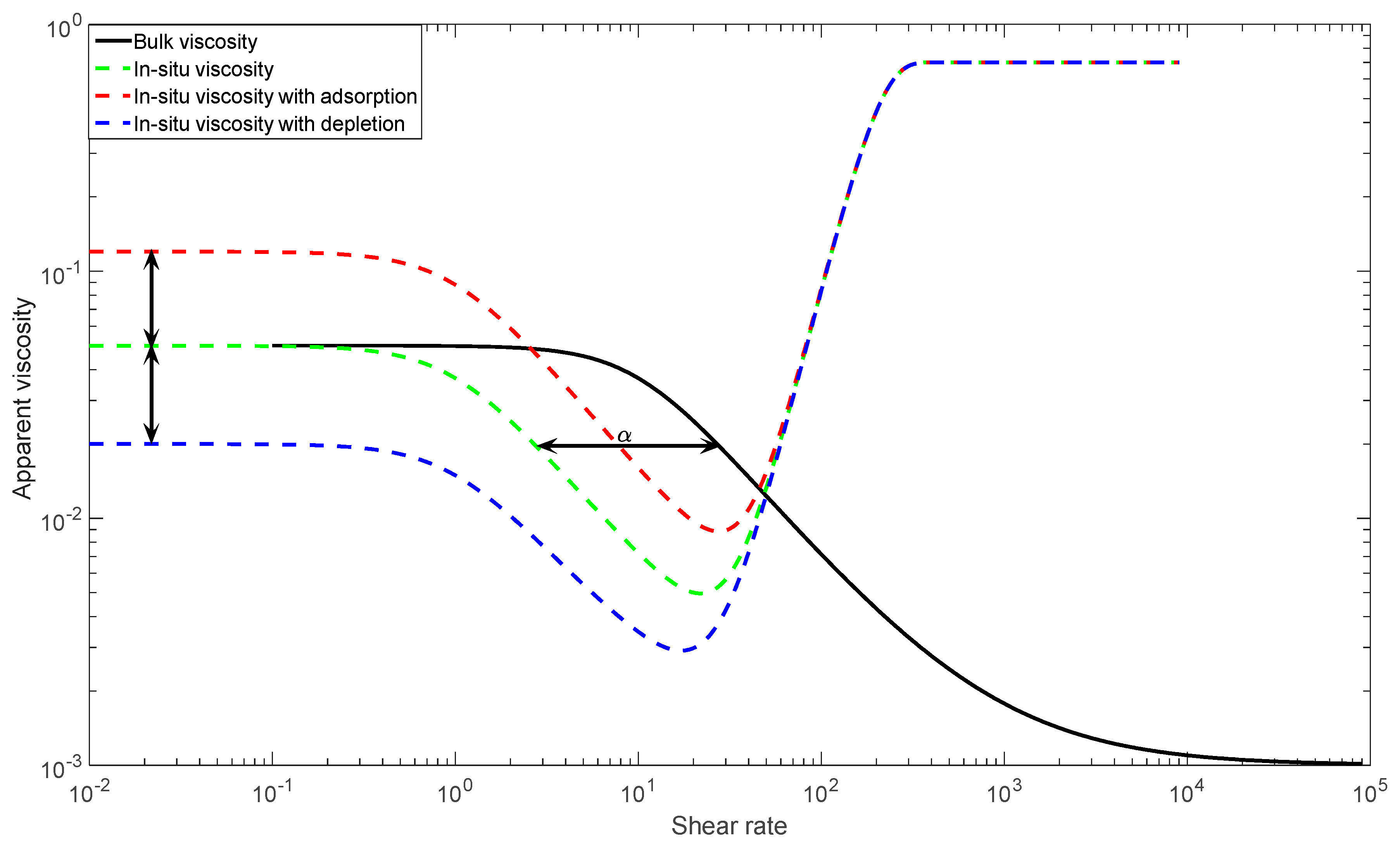
2.1. In-Situ Rheology
- (I)
- unlike rheometers, porous media exhibit an inherently complex geometry;
- (II)
- phenomena such as mechanical degradation may change rheological properties;
- (III)
- although they only demonstrate shear thinning behavior in rheometers, polymer solutions may exhibit apparent shear thickening behavior above a certain critical flow rate;
- (IV)
- due to the tortuosity of porous media and existence of several contraction-expansion channels, polymer solutions are exposed to a wide range of shear rates at each flow rate and where extensional viscosity becomes more dominant, resulting in significantly different rheology behavior compared to bulk flow.
- Analytical solutions for a power-law fluid () at a given flow rate through a capillary tube with an arbitrary radius (R) can be defined by Equation (2). By comparing Equation (2) with the Poiseuille volumetric flow rate for Newtonian fluids in a tube (Equation (3)), an apparent viscosity and shear rate can be obtained from Equations (4) and (5), respectively.
- The analytical equation in a single tube (Equation (5)) can be extended to account for real porous media by using the capillary bundle approach [23,24,25]. An equivalent radius of a capillary bundle model for porous media with known porosity (φ), permeability (K) and tortuosity (ψ) can be obtained by Equation (6). By calculating the Darcy velocity and substituting the equivalent radius (Equation (6)) into Equation (5), the apparent shear rate as a function of Darcy velocity can be obtained by Equation (7).
- The above expressions are considered as an analytical basis for calculating apparent viscosity in porous media. Based on Equation (7), a simplified linear correlation between apparent shear rate and Darcy velocity is generally suggested, i.e., Equation (8), in which the correction factor (α) is the key factor. Some proposed equations for the correction factor are summarized in Table 1. By comparing different coefficients, different values for apparent viscosity may be obtained.
- It neglects complex features of porous media such as tortuosity and pore size distribution.
- It assumes unidirectional flow as it neglects interconnectivity between pores.
- It cannot be representative for flow in an anisotropic medium due to its assumption of unique permeability along propagation direction.
- It assumes a single radius along bundles with no variation in cross-sectional area. The contraction-expansion feature of non-Newtonian flow in porous media is of high importance, especially when studying extensional viscosity, yield stress and elasticity.
- It is generally developed based on rheological models in which analytical solutions for velocity profiles are available (e.g., power-law and Ellis model). Analytical solutions for some models (e.g., Carreau model) are quite difficult and the equation for velocity is implicit (Equation (10) for the Carreau model) and needs to be solved iteratively.
2.2. Extensional Viscosity
2.2.1. Polymer Concentration
2.2.2. Molecular Weight
2.2.3. Salinity Effect
2.2.4. Degree of Hydrolysis
2.2.5. Pressure and Temperature Effect
2.2.6. Porous Media Properties
2.3. Injectivity
3. Radial In-Situ Rheology
4. Materials and Methods
5. Polymer In-Situ Rheology in Linear Cores
6. Polymer In-Situ Rheology in Radial Flow
7. Conclusions
Author Contributions
Funding
Acknowledgments
Conflicts of Interest
Nomenclature
| A | Cross section area |
| C | Power-law constant |
| Cp | Polymer concentration |
| Grain size diameter | |
| De | Deborah number |
| h | Disk thickness |
| H | Constant, equation 11 |
| k | Constant, equation 18 |
| Kei | Effective permeability to polymer |
| K | Permeability |
| L | Length of model |
| Polymer molecular weight | |
| N1 | Normal stress difference |
| n | Ellis, Carreau or power-law constant |
| P | Pressure |
| Q | Flow rate |
| R | Radius |
| re | Disk radius |
| rw | Injection well radius |
| RF | Resistance factor |
| RRF | Residual resistance factor |
| Req | Equivalent radius obtained from Blake-Kozeny model |
| Sw | Water saturation |
| T | Temperature |
| Tr | Trouton ratio |
| U | Darcy velocity |
| Wi | Weissenberg number |
| I | Injectivity |
| Correction factor | |
| Constant, equation 10 | |
| Angular velocity | |
| Stretch rate | |
| Pressure drop | |
| Shear rate | |
| Ellis model parameter | |
| Effective shear rate | |
| Apparent shear rate | |
| Critical shear rate | |
| Polymer relaxation time | |
| Zimm relaxation time | |
| Viscosity | |
| Apparent viscosity | |
| Effective viscosity | |
| Upper Newtonian plateau | |
| Solvent viscosity | |
| Shear rate viscosity | |
| Elongational viscosity | |
| Lower Newtonian plateau | |
| Porosity | |
| Tortuosity | |
| Characteristic relaxation time of fluid | |
| Characteristic time of porous media |
References
- Seright, R.S. The Effects of Mechanical Degradation and Viscoelastic Behavior on Injectivity of Polyacrylamide Solutions. Soc. Pet. Eng. J. 1983, 23, 475–485. [Google Scholar] [CrossRef]
- Shuler, P.J.; Kuehne, D.L.; Uhl, J.T.; Walkup, G.W., Jr. Improving Polymer Injectivity at West Coyote Field, California. Soc. Pet. Eng. Reserv. Eng. 1987, 2, 271–280. [Google Scholar] [CrossRef]
- Southwick, J.G.; Manke, C.W. Molecular Degradation, Injectivity, and Elastic Properties of Polymer Solutions. Soc. Pet. Eng. Reserv. Eng. 1988, 3, 1193–1201. [Google Scholar] [CrossRef]
- Yerramilli, S.S.; Zitha, P.L.J.; Yerramilli, R.C. Novel Insight into Polymer Injectivity for Polymer Flooding. Presented at the SPE European Formation Damage Conference and Exhibition, Noordwijk, The Netherlands, 5–7 June 2013. [Google Scholar] [CrossRef]
- Lotfollahi, M.; Farajzadeh, R.; Delshad, M.; Al-Abri, K.; Wassing, B.M.; Mjeni, R.; Awan, K.; Bedrikovetsky, P. Mechanistic Simulation of Polymer Injectivity in Field Tests. Presented at the SPE Enhanced Oil Recovery Conference, Kuala Lumpur, Malaysia, 11–13 August 2015. [Google Scholar] [CrossRef]
- Glasbergen, G.; Wever, D.; Keijzer, E.; Farajzadeh, R. Injectivity Loss in Polymer Floods: Causes, Preventions and Mitigations. Presented at the SPE Kuwait Oil & Gas Show and Conference, Mishref, Kuwait, 11–14 October 2015. [Google Scholar] [CrossRef]
- Al-Shakry, B.; Shiran, B.S.; Skauge, T.; Skauge, A. Enhanced Oil Recovery by Polymer Flooding: Optimizing Polymer Injectivity. Presented at the SPE Kingdom of Saudi Arabia Technical Symposium and Exhibition, Dammam, Saudi Arabia, 23–26 April 2018. [Google Scholar]
- Skauge, T.; Kvilhaug, O.A.; Skauge, A. Influence of Polymer Structural Conformation and Phase Behaviour on In-situ Viscosity. Presented at the 18th European Symposium on Improved Oil Recovery, Dresden, Germany, 14–16 April 2015. [Google Scholar] [CrossRef]
- Hughes, D.S.; Teeuw, D.; Cottrell, C.W.; Tollas, J.M. Appraisal of the Use of Polymer Injection To Suppress Aquifer Influx and To Improve Volumetric Sweep in a Viscous Oil Reservoir. Soc. Pet. Eng. 1990, 5, 33–40. [Google Scholar] [CrossRef]
- Broseta, D.; Medjahed, F.; Lecourtier, J.; Robin, M. Polymer Adsorption/Retention in Porous Media: Effects of Core Wettability on Residual Oil. Soc. Pet. Eng. 1995, 3, 103–112. [Google Scholar] [CrossRef]
- Sorbie, K.S. Polymer-Improved Oil Recovery; Blackie and Son Ltd.: Glasgow, UK, 1991. [Google Scholar]
- Lake, L.W. Enhanced Oil Recovery; Prentice Hall: Upper Saddle River, NJ, USA, 1989. [Google Scholar]
- Savins, J.G. Non-Newtonian Flow through Porous Media. Ind. Eng. Chem. 1969, 61, 18–47. [Google Scholar] [CrossRef]
- Sadowski, T.J. Non-Newtonian Flow through Porous Media. II. Experimental. J. Rheol. 1965, 9, 251–271. [Google Scholar] [CrossRef]
- Sochi, T. Non-Newtonian flow in porous media. Polymer 2010, 51, 5007–5023. [Google Scholar] [CrossRef]
- Sadowski, T.J.; Bird, R.B. Non-Newtonian Flow through Porous Media. I. J. Rheol. 1965, 9, 243–250. [Google Scholar] [CrossRef]
- Teeuw, D.; Hesselink, F.T. Power-Law Flow And Hydrodynamic Behaviour of Biopolymer Solutions In Porous Media. Presented at the SPE Fifth International Symposium on Oilfield and Geothermal Chemistry, Stanford, CA, USA, 28–30 May 1980. [Google Scholar] [CrossRef]
- Cannella, W.J.; Huh, C.; Seright, R.S. Prediction of Xanthan Rheology in Porous Media. Presented at the 63rd Annual Technical Conference and Exhibition of the Society of Petroleum Engineers, Houston, TX, USA, 2–5 October 1988. [Google Scholar] [CrossRef]
- Fletcher, A.J.P.; Flew, S.R.G.; Lamb, S.P.; Lund, T.; Bjornestad, E.; Stavland, A.; Gjovikli, N.B. Measurements of Polysaccharide Polymer Properties in Porous Media. Prepared for presentation at the SPE International Symposium on Oilfield Chemistry, Anaheim, CA, USA, 20–22 February 1991. [Google Scholar] [CrossRef]
- Sorbie, K.S.; Clifford, P.J.; Jones, E.R.W. The Rheology of Pseudoplastic Fluids in Porous Media Using Network Modeling. J. Colloid Interface Sci. 1989, 130, 508–534. [Google Scholar] [CrossRef]
- Lopez, X.; Valvatne, P.H.; Blunt, M.J. Predictive network modeling of single-phase non-Newtonian flow in porous media. J. Colloid Interface Sci. 2003, 264, 256–265. [Google Scholar] [CrossRef]
- Pearson, J.R.A.; Tardy, P.M.J. Models for flow of non-Newtonian and complex fluids through porous media. J. Non-Newton. Fluid Mech. 2002, 102, 447–473. [Google Scholar] [CrossRef]
- Willhite, G.P.; Uhl, J.T. Correlation of the Flow of Flocon 4800 Biopolymer with Polymer Concentration and Rock Properties in Berea Sandstone. In Water-Soluble Polymers for Petroleum Recovery; Springer Publishing: Manhattan, NY, USA, 1988. [Google Scholar]
- Bird, R.B.; Stewart, W.E.; Lightfoot, E.N. Transport Phenomena; John Wiley and Sons, Inc.: New York, NY, USA, 1960. [Google Scholar]
- Christopher, R.H.; Middleman, S. Power-Law Flow through a Packed Tube. Ind. Eng. Chem. Fundam. 1965, 4, 422–426. [Google Scholar] [CrossRef]
- Hirasaki, G.J; Pope, G.A. Analysis of Factors Influencing Mobility and Adsorption in the Flow of Polymer Solution Through Porous Media. Soc. Pet. Eng. J. 1974, 14, 337–346. [Google Scholar] [CrossRef]
- Duda, J.L.; Hong, S.-A.; Klaus, E.E. Flow of Polymer-Solutions in Porous-Media—Inadequacy of the Capillary Model. Ind. Eng. Chem. Fundam. 1983, 22, 299–305. [Google Scholar] [CrossRef]
- Kishbaugh, A.J.; McHugh, A.J. A rheo-optical study of shear-thickening and structure formation in polymer solutions. Part I: Experimental. Rheol. Acta 1993, 32, 9–24. [Google Scholar] [CrossRef]
- Pope, D.P.; Keller, A. Alignment of Macromolecules in Solution by Elongational Flow—Study of Effect of Pure Shear in a 4 Roll Mill. Colloid Polym. Sci. 1977, 255, 633–643. [Google Scholar] [CrossRef]
- Binding, D.M.; Jones, D.M.; Walters, K. The Shear and Extensional Flow Properties of M1. J. Non-Newton. Fluid Mech. 1990, 35, 121–135. [Google Scholar] [CrossRef]
- Gogarty, W.B. Rheological Properties of Pseudoplastic Fluids in Porous Media. Soc. Pet. Eng. J. 1967, 7, 149–160. [Google Scholar] [CrossRef]
- Perrin, C.L.; Tardy, P.M.J.; Sorbie, K.S.; Crawshaw, J.C. Experimental and modeling study of Newtonian and non-Newtonian fluid flow in pore network micromodels. J. Colloid Interface Sci. 2006, 295, 542–550. [Google Scholar] [CrossRef] [PubMed]
- Sochi, T.; Blunt, M.J. Pore-scale network modeling of Ellis and Herschel–Bulkley fluids. J. Pet. Sci. Eng. 2008, 60, 105–124. [Google Scholar] [CrossRef]
- Balhoff, M.T.; Thompson, K.E. A macroscopic model for shear-thinning flow in packed beds based on network modeling. Chem. Eng. Sci. 2006, 61, 698–719. [Google Scholar] [CrossRef]
- Zamani, N.; Bondino, I.; Kaufmann, R.; Skauge, A. Computation of polymer in-situ rheology using direct numerical simulation. J. Pet. Sci. Eng. 2017, 159, 92–102. [Google Scholar] [CrossRef]
- Hejri, S.; Willhite, G.P.; Green, D.W. Development of Correlations to Predict Biopolymer Mobility in Porous Media. SPE Reserv. Eng. 1991, 6, 91–98. [Google Scholar] [CrossRef]
- Skauge, T.; Skauge, A.; Salmo, I.C.; Ormehaug, P.A.; Al-Azri, N.; Wassing, L.M.; Glasbergen, G.; Van Wunnik, J.N.; Masalmeh, S.K. Radial and Linear Polymer Flow—Influence on Injectivity. Prepared for presentation at the SPE Improved Oil Recovery Conference, Tulsa, Oklahoma, 11–13 April 2016. [Google Scholar] [CrossRef]
- Faber, T.E. Fluid Dynamics for Physicists; Cambridge University Press: Cambridge, UK, 1995. [Google Scholar]
- Brown, E.; Jaeger, H.M. The role of dilation and confining stresses in shear thickening of dense suspensions. J. Rheol. 2012, 56, 875–923. [Google Scholar] [CrossRef]
- Choplin, L.; Sabatie, J. Threshold-Type Shear-Thickening in Polymeric Solutions. Rheol. Acta 1986, 25, 570–579. [Google Scholar] [CrossRef]
- Indei, T.; Koga, T.; Tanaka, F. Theory of shear-thickening in transient networks of associating polymer. Macromol. Rapid Commun. 2005, 26, 701–706. [Google Scholar] [CrossRef]
- Odell, J.A.; Müller, A.J.; Keller, A. Non-Newtonian behaviour of hydrolysed polyacrylamide in strong elongational flows: A transient network approach. Polymer 1988, 29, 1179–1190. [Google Scholar] [CrossRef]
- Degennes, P.G. Coil-Stretch Transition of Dilute Flexible Polymers under Ultrahigh Velocity-Gradients. J. Chem. Phys. 1974, 60, 5030–5042. [Google Scholar] [CrossRef]
- Trouton, F.T. On the coefficient of viscous traction and its relation to that of viscosity. R. Soc. 1906, 77, 426–440. [Google Scholar] [CrossRef]
- Edwards, B.J.; Keffer, D.I.; Reneau, C.W. An examination of the shear-thickening behavior of high molecular weight polymers dissolved in low-viscosity newtonian solvents. J. Appl. Polym. Sci. 2002, 85, 1714–1735. [Google Scholar] [CrossRef]
- Hatzignatiou, D.G.; Moradi, H.; Stavland, A. Experimental Investigation of Polymer Flow through Water- and Oil-Wet Berea Sandstone Core Samples. Presented at the EAGE Annual Conference & Exhibition incorporationg SPE Europec, London, UK, 10–13 June 2013. [Google Scholar] [CrossRef]
- McKinley, G.H.; Sridhar, T. Filament-stretching rheometry of complex fluids. Annu. Rev. Fluid Mech. 2002, 34, 375–415. [Google Scholar] [CrossRef]
- Fuller, G.G.; Cathey, C.A.; Hubbard, B.; Zebrowski, B.E. Extensional Viscosity Measurements for Low-Viscosity Fluids. J. Rheol. 1987, 31, 235–249. [Google Scholar] [CrossRef]
- Meadows, J.; Williams, P.A.; Kennedy, J.C. Comparison of the Extensional and Shear Viscosity Characteristics of Aqueous Hydroxyethylcellulose Solutions. Macromolecules 1995, 28, 2683–2692. [Google Scholar] [CrossRef]
- Anna, S.L.; McKinley, G.H.; Nguyen, D.A.; Sridhar, T.; Muller, S.J.; Huang, J.; James, J.F. An interlaboratory comparison of measurements from filament-stretching rheometers using common test fluids. J. Rheol. 2001, 45, 83–114. [Google Scholar] [CrossRef]
- Shipman, R.W.G.; Denn, M.M.; Keunings, R. Mechanics of the Falling Plate Extensional Rheometer. J. Non-Newton. Fluid Mech. 1991, 40, 281–288. [Google Scholar] [CrossRef]
- Sridhar, T.; Tirtaatmadja, V.; Nguyen, D.A.; Gupta, R.K. Measurement of Extensional Viscosity of Polymer-Solutions. J. Non-Newton. Fluid Mech. 1991, 40, 271–280. [Google Scholar] [CrossRef]
- Tirtaatmadja, V.; Sridhar, T. A Filament Stretching Device for Measurement of Extensional Viscosity. J. Rheol. 1993, 37, 1081–1102. [Google Scholar] [CrossRef]
- James, D.F.; Chandler, G.M.; Armour, S.J. A Converging Channel Rheometer for the Measurement of Extensional Viscosity. J. Non-Newton. Fluid Mech. 1990, 35, 421–443. [Google Scholar] [CrossRef]
- Chauveteau, G. Moluecular interpretation of several different properties of flow of coiled polymer solutions through porous media in oil recovery conditions. Presented at the 56th Annual Fall Technical Conference and Exhibition of the society of Petroleum Engineers of AIME, San Antonio, TX, USA, 5–7 October 1981. [Google Scholar] [CrossRef]
- Lewandowska, K. Comparative studies of rheological properties of polyacrylamide and partially hydrolyzed polyacrylamide solutions. J. Appl. Polym. Sci. 2007, 103, 2235–2241. [Google Scholar] [CrossRef]
- Briscoe, B.; Luckham, P.; Zhu, S.P. Pressure influences upon shear thickening of poly(acrylamide) solutions. Rheol. Acta 1999, 38, 224–234. [Google Scholar] [CrossRef]
- Dupuis, D.; Lewandowski, F.Y.; Steiert, P.; Wolff, C. Shear Thickening and Time-Dependent Phenomena—The Case of Polyacrylamide Solutions. J. Non-Newton. Fluid Mech. 1994, 54, 11–32. [Google Scholar] [CrossRef]
- Jiang, B.; Keffer, D.J.; Edwards, B.J.; Allred, J.N. Modeling shear thickening in dilute polymer solutions: Temperature, concentration, and molecular weight dependencies. J. Appl. Polym. Sci. 2003, 90, 2997–3011. [Google Scholar] [CrossRef]
- Clarke, A.; Howe, A.M.; Mitchell, J.; Staniland, J.; Hawkes, L.A. How Viscoelastic-Polymer Flooding Enhances Displacement Efficiency. Soc. Pet. Eng. J. 2016, 21, 675–687. [Google Scholar] [CrossRef]
- Delshad, M.; Kim, D.H.; Magbagbeola, O.A.; Huh, C.; Pope, G.A.; Tarahhom, F. Mechanistic Interpretation and Utilization of Viscoelastic Behavior of Polymer Solutions for Improved Polymer-Flood Efficiency. Prepared for presentation at the 2008 SPE/DOE Improved Oil Recovery Symposium, Tulsa, OK, USA, 19–23 April 2008. [Google Scholar] [CrossRef]
- Stavland., A.; Jonsbråten, H.C.; Lohne, A.; Moen, A.; Giske, N.H. Stavland. A.; Jonsbråten, H.C.; Lohne, A.; Moen, A.; Giske, N.H. Polymer Flooding—Flow Properties in Porous Media Versus Rheological Parameters. Presented at the SPE EUROPEC/EAGE Annual Conference and Exhibition, Barcelona, Spain, 14–17 June 2010. [Google Scholar] [CrossRef]
- Aitkadi, A.; Carreau, P.J.; Chauveteau, G. Rheological Properties of Partially Hydrolyzed Polyacrylamide Solutions. J. Rheol. 1987, 31, 537–561. [Google Scholar] [CrossRef]
- Lee, K.; Huh, C.; Sharma, M.M. Impact of Fractures Growth on Well Injectivity and Reservoir Sweep during Waterflood and Chemical EOR Processes. Presented at the SPE Annual Technical Conference and Exhibition, Denver, CO, USA, 30 October–2 November 2011. [Google Scholar] [CrossRef]
- Hu, Y.; Wang, S.Q.; Jamieson, A.M. Rheological and Rheooptical Studies of Shear-Thickening Polyacrylamide Solutions. Macromolecules 1995, 28, 1847–1853. [Google Scholar] [CrossRef]
- Cho, Y.H.; Dan, K.S.; Kim, B.C. Effects of dissolution temperature on the rheological properties of polyvinyl alchol solutions in dimethyl sulfoxide. Korea-Aust. Rheol. J. 2008, 20, 73–77. [Google Scholar]
- Zamani, N.; Bondino, I.; Kaufmann, R.; Skauge, A. Effect of porous media properties on the onset of polymer extensional viscosity. J. Pet. Sci. Eng. 2015, 133, 483–495. [Google Scholar] [CrossRef]
- Gupta, R.K.; Sridhar, T. Viscoelastic Effects in Non-Newtonian Flows through Porous-Media. Rheol. Acta 1985, 24, 148–151. [Google Scholar] [CrossRef]
- Smith, F.W. Behavior of Partially Hydrolyzed Polyacrylamide Solutions in Porous Media. J. Pet. Technol. 1970, 22, 148–156. [Google Scholar] [CrossRef]
- Kemblowski, Z.; Dziubinski, M. Resistance to Flow of Molten Polymers through Granular Beds. Rheol. Acta 1978, 17, 176–187. [Google Scholar] [CrossRef]
- Wissler, E.H. Viscoelastic Effects in the Flow of Non-Newtonian Fluids through a Porous Medium. Ind. Eng. Chem. Fundam. 1971, 10, 411–417. [Google Scholar] [CrossRef]
- Vossoughi, S.; Seyer, F.A. Pressure-Drop for Flow of Polymer-Solution in a Model Porous-Medium. Can. J. Chem. Eng. 1974, 52, 666–669. [Google Scholar] [CrossRef]
- Marshall, R.J.; Metzner, A.B. Flow of Viscoelastic Fluids through Porous Media. Ind. Eng. Chem. Fundam. 1967, 6, 393–400. [Google Scholar] [CrossRef]
- Durst, F.; Haas, R.; Interthal, W. Laminar and Turbulent Flows of Dilute Polymer-Solutions—A Physical Model. Rheol. Acta 1982, 21, 572–577. [Google Scholar] [CrossRef]
- Heemskerk, J.; Rosmalen, R.; Janssen-van, R.; Holtslag, R.J.; Teeuw, D. Quantification of Viscoelastic Effects of Polyacrylamide Solutions. Presented at the SPE/DOE Fourth Symposium on Enhanced Oil Recovery, Tulsa, OK, USA, 15–18 April 1984. [Google Scholar] [CrossRef]
- Metzner, A.B.; White, J.L.; Denn, M.M. Constitutive equations for viscoelastic fluids for short deformation periods and for rapidly changing flows: Significance of the deborah number. AIChE J. 1966, 12, 863–866. [Google Scholar] [CrossRef]
- Masuda, Y.; Tang, K.-C.; Miyazawa, M.; Tanaka, S. 1D Simulation of Polymer Flooding Including the Viscoelastic Effect of Polymer Solution. SPE Reverv. Eng. 1992, 7, 247–252. [Google Scholar] [CrossRef]
- Haas, R.; Durst, F. Viscoelastic Flow of Dilute Polymer-Solutions in Regularly Packed-Beds. Rheol. Acta 1982, 21, 566–571. [Google Scholar] [CrossRef]
- Garrouch, A.A.; Gharbi, R.C. A Novel Model for Viscoelastic Fluid Flow in Porous Media. Presented at the 2006 SPE Annual Technical Conference and Exhibition, San Antonio, TX, USA, 24–27 September 2006. [Google Scholar] [CrossRef]
- Ranjbar, M.; Rupp, J.; Pusch, G.; Meyn, R. Quantification and Optimization of Viscoelastic Effects of Polymer Solutions for Enhanced Oil Recovery. Presented at the SPE/DOE Eight Symposium on Enhanced Oil Recovery, Tulsa, OK, USA, 22–24 April 1992. [Google Scholar] [CrossRef]
- Kawale, D.; Marques, E.; Zitha, P.L.J.; Kreutzer, M.T.; Rossen, W.R.; Boukany, P.E. Elastic instabilities during the flow of hydrolyzed polyacrylamide solution in porous media: effect of pore-shape and salt. Soft Matter 2017, 13, 765–775. [Google Scholar] [CrossRef] [PubMed]
- Seright, R.S.; Seheult, J.M.; Talashek, T. Injectivity Characteristics of EOR Polymers. SPE Reserv. Eval. Eng. 2009, 12, 783–792. [Google Scholar] [CrossRef]
- Kulawardana, E.U.; Koh, H.; Kim, D.H.; Liyanage, P.J.; Upamali, K.; Huh, C.; Weerasooriya, U.; Pope, G.A. Rheology and Transport of Improved EOR Polymers under Harsh Reservoir Conditions. Presented at the Eighteenth SPE Improved Oil Recovery Symposium, Tulsa, OK, USA, 14–18 April 2012. [Google Scholar] [CrossRef]
- Sharma, A.; Delshad, M.; Huh, C.; Pope, G.A. A Practical Method to Calculate Polymer Viscosity Accurately in Numerical Reservoir Simulators. Presented at the SPE Annual Technical Conference and Exhibition, Denver, CO, USA, 31 October–2 November 2011. [Google Scholar] [CrossRef]
- Manichand, R.N.; Moe Soe Let, K.P.; Gil, L.; Quillien, B.; Seright, R.S. Effective Propagation of HPAM Solutions Through the Tambaredjo Reservoir During a Polymer Flood. SPE Prod. Oper. 2013, 28, 358–368. [Google Scholar] [CrossRef]
- Zaitoun, A.; Makakou, P.; Blin, N.; Al-Maamari, R.S.; Al-Hashmi, A.-A.R.; Abdel-Goad, M.; Al-Sharji, H.H. Shear Stability of EOR Polymers. SPE J. 2011, 17, 335–339. [Google Scholar] [CrossRef]
- Suri, A.; Sharma, M.M.; Peters, E. Estimates of Fracture Lengths in an Injection Well by History Matching Bottomhole Pressures and Injection Profile. SPE Reserv. Eval. Eng. 2011, 14, 405–417. [Google Scholar] [CrossRef]
- Zechner, M.; Clemens, T.; Suri, A.; Sharma, M.M. Simulation of Polymer Injection under Fracturing Conditions—A Field Pilot in the Matzen Field, Austria. SPE Reserv. Eval. Eng. 2014, 18, 236–249. [Google Scholar] [CrossRef]
- Van den Hoek, P.; Mahani, H.; Sorop, T.; Brooks, D.; Zwaan, M.; Sen, S.; Shuaili, K.; Saadi, F. Application of Injection Fall-Off Analysis in Polymer flooding. Presented at the 74th EAGE Conference & Exhibition incorporating SPE EUROPEC 2012, Copenhagen, Denmark, 4–7 June 2012. [Google Scholar] [CrossRef]
- Shiran, B.S.; Skauge, A. Wettability and Oil Recovery by Polymer and Polymer Particles. Presented at the SPE Asia Pacific Enhanced Oil Recovery Conference, Kuala Lumpur, Malaysia, 11–13 August 2015. [Google Scholar] [CrossRef]
- Al-Abri, K.; Al-Mjeni, R.; Al-Bulushi, N.K.; Awan, K.; Al-Azri, N.; Al-Riyami, O.; Al-Rajhi, S.; Teeuwisse, S.; Ghulam, J.; Abu-Shiekha, I.; et al. Reducing Key Uncertainities Prior to a Polymer Injection Trial in a Heavy Oil Reservoir in Oman. Presented at SPE EOR Conference at OGWA, Muscat, Oman, 31 March–2 April 2014. [Google Scholar] [CrossRef]
- Li, Z.; Delshad, M. Development of an Analytical Injectivity Model for Non-Newtonian Polymer Solutions. Presented at the SPE Reservoir Simulation Symposium, Woodlands, TX, USA, 18–20 February 2014. [Google Scholar] [CrossRef]










| Model | Equation for Correction Factor (α) | Description |
|---|---|---|
| Analytical solution | n is the power index in power-law region | |
| Hirasaki and Pope [26] | n is the power index in power-law region | |
| Cannella et al. [16] | n is the power index in power-law region, Sw is water saturation, β is a constant equal to 6. |
| Model | B |
|---|---|
| Bird et al. [24] | |
| Christopher and Middleman [25] | |
| Teeuw and Hesselink [15] |
| Model | Equation | Description |
|---|---|---|
| Masuda et al. [77] | They used the inverse of the shear rate for θp. Uw is the Darcy velocity, krw is the water relative permeability, Sw is water saturation and is a constant equal to 3.97C, where C is an empirical correlation factor to account for the difference between an equivalent capillary model and real porous media | |
| Hirasaki and Pope [26] Haas and Durst [78] Heemskerk et al. [75] |
| Model | Equation | Description |
|---|---|---|
| Hirasaki and Pope [26] | ||
| Masuda et al. [77] | where Cc and mc are constant and relate to pore geometry | |
| Delshad et al. [61] | is the characteristic relaxation time and can be calculated by dynamic frequency sweep test in the laboratory. Some empirical correlations are also proposed for dependency of different parameters on polymer concentration | |
| Stavland et al. [62] | m is a non-zero tuning parameter which is known as the elongation exponent and depends on the molecular weight and demonstrates linear correlation with. α in the listed formulation is considered 2.5 |
| Ion | Concentration (ppm, w/w) |
|---|---|
| Na | 1741 |
| K | 28 |
| Ca | 26 |
| Mg | 17 |
| S | 160 |
| Cl | 2687 |
| TDS | 4659 |
| Ionic strength | 0.082 |
| Hardness | 43 |
| Experiment | Conc. | L (cm) | D (cm) | ϕ (-) | Kwi (Darcy) | Kwf (Darcy) | RRF (-) | (cP) | (cP) |
|---|---|---|---|---|---|---|---|---|---|
| No oil | 500 ppm | 9.54 | 3.77 | 0.24 | 2.48 | 1.35 | 1.84 | 6.81 | 6.62 |
| No oil | 1500 ppm | 4.89 | 3.79 | 0.24 | 1.99 | 0.32 | 6.29 | 33.76 | 32.87 |
| With oil, not aged | 500 ppm | 10.44 | 3.78 | 0.23 | 1.83 | 0.36 | 5.08 | 6.65 | 6.77 |
| With oil, aged | 500 ppm | 9.85 | 3.78 | 0.23 | 2.27 | 0.27 | 8.41 | 6.99 | 5.90 |
| Experiment | Diameter (cm) | Thickness (cm) | Well Radius (cm) | ϕ (-) | PV (mL) | Soi (frac) | Sorw (frac) | Kw,abs (Darcy) | Kw,Sorw (Darcy) | Kwf (Darcy) |
|---|---|---|---|---|---|---|---|---|---|---|
| No oil | 30.00 | 2.20 | 0.15 | 0.24 | 373 | n.a. | n.a. | 2.600 | n.a. | 0.056 |
| With oil | 29.90 | 2.21 | 0.30 | 0.23 | 352 | 0.91 | 0.22 | 1.551 | 0.041 | 0.039 |
© 2018 by the authors. Licensee MDPI, Basel, Switzerland. This article is an open access article distributed under the terms and conditions of the Creative Commons Attribution (CC BY) license (http://creativecommons.org/licenses/by/4.0/).
Share and Cite
Skauge, A.; Zamani, N.; Gausdal Jacobsen, J.; Shaker Shiran, B.; Al-Shakry, B.; Skauge, T. Polymer Flow in Porous Media: Relevance to Enhanced Oil Recovery. Colloids Interfaces 2018, 2, 27. https://doi.org/10.3390/colloids2030027
Skauge A, Zamani N, Gausdal Jacobsen J, Shaker Shiran B, Al-Shakry B, Skauge T. Polymer Flow in Porous Media: Relevance to Enhanced Oil Recovery. Colloids and Interfaces. 2018; 2(3):27. https://doi.org/10.3390/colloids2030027
Chicago/Turabian StyleSkauge, Arne, Nematollah Zamani, Jørgen Gausdal Jacobsen, Behruz Shaker Shiran, Badar Al-Shakry, and Tormod Skauge. 2018. "Polymer Flow in Porous Media: Relevance to Enhanced Oil Recovery" Colloids and Interfaces 2, no. 3: 27. https://doi.org/10.3390/colloids2030027
APA StyleSkauge, A., Zamani, N., Gausdal Jacobsen, J., Shaker Shiran, B., Al-Shakry, B., & Skauge, T. (2018). Polymer Flow in Porous Media: Relevance to Enhanced Oil Recovery. Colloids and Interfaces, 2(3), 27. https://doi.org/10.3390/colloids2030027

