Application of Micro-Electro-Mechanical Sensors Contactless NDT of Concrete Structures
Abstract
:1. Introduction

2. Background
2.1. Air-Coupled Acoustic Sensors

| Sensitivity (mV/Pa) at 1 kHz | Frequency Range (kHz) | SNR (dB) | |
|---|---|---|---|
| Accelerometer (contact) | 1.02 mV/(m/s2) | 1 to 50 kHz | 25.12 |
| MEMS | 7.9 (mV/Pa) | 1 to 90 kHz | 14.7 |
| ECM | 4 (mV/Pa) | 4 to 80 kHz | 7.04 |
| DMM | 1.85 (mV/Pa) | below 20 kHz | 5.02 |
2.2. Vibration
2.3. Impact Echo
2.4. Ultrasonic Surface Wave
2.5. MASW
3. Experimental Details
3.1. MEMS Modification

3.2. Vibration Tests

3.3. Impact Echo

3.4. Ultrasonic Surface Wave

3.5. Seismic MASW

4. Results and Discussion
4.1. Vibration Tests

4.2. Impact Echo




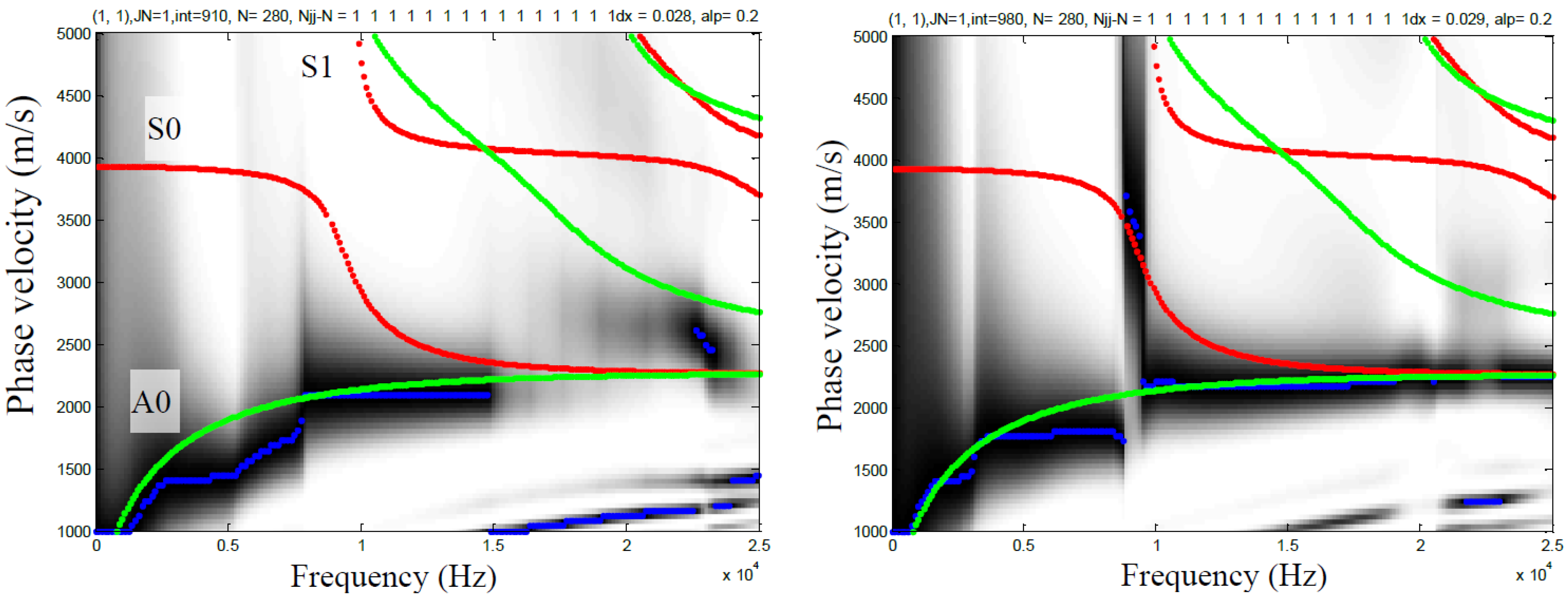
4.3. Ultrasonic Surface Wave




4.4. MASW


5. Conclusions/Outlook
- MEMS sensors offer significant advantages, such as low cost, small size (good spatial resolution), broad frequency bandwidth, high SNR, and relatively easy implementation in multi-sensor arrays without excessive cost or knowhow. Multi-sensor arrays offer testing and data collection advantages that empower surface wave and MASW tests.
- Contactless MEMS sensors work well for standard vibrational resonance tests on concrete samples. The fundamental flexural mode is accurately indicated across a broad range of sensor heights.
- Impact echo flexural (delamination defect) and full thickness (solid slab) mode responses are detected by all contactless sensors and the indicated frequency values agree with those from contact accelerometers, matching expected values. MEMS show the highest sensed amplitude among contactless (air-coupled) sensors.
- MEMS sensors show very consistent ultrasonic surface wave detection in terms of time signal amplitude and phase.
- Seismic data from both contact accelerometers and contactless MEMS agree with the expected MASW analytical solution for a 200 mm plate. MEMS arrays offer accurate and reliable MASW data in a convenient testing configuration.
Acknowledgments
Author Contributions
Conflicts of Interest
References
- Gucunski, N.; Slabaugh, G.; Wang, Z.; Fang, T.; Maher, A. Impact Echo Data from Bridge Deck Testing: Visualization and Interpretation. Transp. Res. Rec. J. Transp. Res. Board 2008, 2050, 111–121. [Google Scholar] [CrossRef]
- Iyer, S.; Sinha, S.K.; Pedrick, M.K.; Tittmann, B.R. Evaluation of ultrasonic inspection and imaging systems for concrete pipes. Autom. Constr. 2012, 2, 149–164. [Google Scholar] [CrossRef]
- Wilson, W.T.; Christopher, V. Aurora automated railroad tie condition assessment system: The quest for accuracy. In Proceedings of the AREMA 2009 Annual Conference & Exposition, Chicago, IL, USA, 20–23 September 2009.
- American Concrete Institute (ACI) Committee 228. Nondestructive Test Methods for Evaluation of Concrete in Structures; Rep. No.ACI 228.2R-98; American Concrete Institute: Farmington Hills, MI, USA, 1998. [Google Scholar]
- Buyukozturk, O. Imaging of concrete structures. NDT E Int. 1998, 31, 233–243. [Google Scholar] [CrossRef]
- Dai, X.; Zhu, J.; Tsai, Y.-T.; Haberman, M.R. Use of parabolic reflector to amplify in-air signals generated during impact-echo testing. J. Acoust. Soc. Am. 2011, 130. [Google Scholar] [CrossRef]
- Hall, K.S. Air-coupled ultrasonic tomographic imaging of concrete elements. Ph.D. Thesis, The University of Illinois at Urbana-Champaign, Urbana, IL, USA, 2011. [Google Scholar]
- Walraven, J.A. Introduction to applications and industries for microelectromechanical systems (MEMS). In Proceedings of the ITC 2003, International Test Conference 2003, Charlotte, NC, USA, 30 September–2 October 2003; Volume 1.
- Ganji, B.A. Design and Fabrication of a Novel MEMS Silicon Microphone; InTech Press: Rijeka, Croatia, 2011. [Google Scholar]
- Pedersen, M.; McClelland, J. Optimized Capacitive MEMS Microphone for Photoacoustic Spectroscopy (PAS) Applications. Proc. SPIE 2005, 5732, 108–121. [Google Scholar]
- Knowles. Datasheet: Mini SiSonic Ultrasonic Acoustic Sensor. Knowles Acoust. 2009. Available online: http://media.digikey.com/pdf/Data Sheets/Knowles Acoustics PDFs/SPM0404UD5.pdf (accessed on 20 March 2015).
- Ganji, B.A.; Majlis, B.Y. Design and fabrication of a new MEMS capacitive microphone using a perforated aluminum diaphragm. Sens. Actuators A Phys. 2009, 149, 29–37. [Google Scholar] [CrossRef]
- Oh, T.; Kee, S.; Arndt, R.W.; Popovics, J.S.; Zhu, J. Comparison of NDT Methods for Assessment of a Concrete Bridge Deck. J. Eng. Mech. 2013, 139, 305–314. [Google Scholar] [CrossRef]
- ASTM. Standard Test Method for Fundamental Transverse, Longitudinal, and Torsional Resonant Frequencies of Concrete Specimens C 215-08; ASTM: West Conshohocken, PA, USA, 2008. [Google Scholar]
- Sansalone, M.J.; Streett, W.B. Impact-Echo: Nondestructive Evaluation of Concrete and Masonry; Bullbrier Press: Jersey Shore, PA, USA, 1997. [Google Scholar]
- Oh, T.; Popovics, J.S.; Sim, S.-H. Analysis of vibration for regions above rectangular delamination defects in solids. J. Sound Vib. 2013, 332, 1766–1776. [Google Scholar] [CrossRef]
- Rose, J.L. Ultrasonic Waves in Solid Media; Cambridge University Press: New York, NY, USA, 2013; p. 454. [Google Scholar]
- Roesset, J.M.; Chang, D.-W.; Stokoe, K.H., II; Aouad, M. Modulus and thickness of the pavement surface layer from SASW tests. Transp. Res. Rec. 1990, 1260, 53–63. [Google Scholar]
- Park, C.B.; Miller, R.D.; Xia, J. Imaging dispersion curves of surface waves on multi-channel record. SEG Expand. Abstr. 1998, 17, 1377–1380. [Google Scholar]
- King, D. Collapse Dynamics of Ultrasound Contrast Agent Microbubbles. Ph.D. Thesis, University of Illinois at Urbana-Champaign, Urbana, IL, USA, 2012. [Google Scholar]
- Rydèn, N.; Park, C.B. Surface waves in inversely dispersive media. Near Surf. Geophys. 2004, 2, 187–197. [Google Scholar]
- Bjurström, H.; Rydèn, N. Air-coupled detection of the S1-ZGV lamb mode in a concrete plate based on backward wave propagation. In Proceedings of the AIP Conference, Denver, CO, USA, 15–20 July 2013; pp. 1294–1300.
© 2015 by the authors; licensee MDPI, Basel, Switzerland. This article is an open access article distributed under the terms and conditions of the Creative Commons Attribution license (http://creativecommons.org/licenses/by/4.0/).
Share and Cite
Ham, S.; Popovics, J.S. Application of Micro-Electro-Mechanical Sensors Contactless NDT of Concrete Structures. Sensors 2015, 15, 9078-9096. https://doi.org/10.3390/s150409078
Ham S, Popovics JS. Application of Micro-Electro-Mechanical Sensors Contactless NDT of Concrete Structures. Sensors. 2015; 15(4):9078-9096. https://doi.org/10.3390/s150409078
Chicago/Turabian StyleHam, Suyun, and John S. Popovics. 2015. "Application of Micro-Electro-Mechanical Sensors Contactless NDT of Concrete Structures" Sensors 15, no. 4: 9078-9096. https://doi.org/10.3390/s150409078
APA StyleHam, S., & Popovics, J. S. (2015). Application of Micro-Electro-Mechanical Sensors Contactless NDT of Concrete Structures. Sensors, 15(4), 9078-9096. https://doi.org/10.3390/s150409078
