Minimum-Throughput Maximization for Multi-UAV-Enabled Wireless-Powered Communication Networks
Abstract
1. Introduction
2. System Model
3. Proposed Solution
3.1. Trajectory Optimization
3.2. Recourse allocation for ET UAV and Users
| Algorithm 1: Minimum-throughput Maximization Algorithm |
|
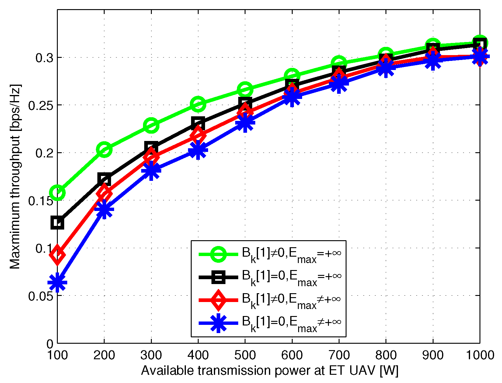
4. Simulation Results
5. Conclusions
Author Contributions
Funding
Conflicts of Interest
References
- Zeng, Y.; Zhang, R.; Lim, T.J. Wireless communications with unmanned aerial vehicles: Opportunities and challenges. IEEE Commun. Mag. 2016, 54, 36–42. [Google Scholar] [CrossRef]
- Lyu, J.; Zeng, Y.; Zhang, R.; Lim, T.J. Placement optimization of UAV-mounted mobile base stations. IEEE Commun. Lett. 2017, 21, 604–607. [Google Scholar] [CrossRef]
- He, H.; Zhang, S.; Zeng, Y.; Zhang, R. Joint altitude and beamwidth optimization for UAV-enabled multiuser communications. IEEE Commun. Lett. 2016, 22, 344–347. [Google Scholar] [CrossRef]
- Zeng, Y.; Zhang, R.; Lim, T.J. Throughput maximization for UAV-enabled mobile relaying systems. IEEE Trans. Commun. 2016, 64, 4983–4996. [Google Scholar] [CrossRef]
- Zhan, C.; Zeng, Y.; Zhang, R. Energy-Efficient Data Collection in UAV Enabled Wireless Sensor Network. IEEE Wirel. Commun. Lett. 2018, 7, 328–331. [Google Scholar] [CrossRef]
- Xu, Y.; Xiao, L.; Yang, D.; Wu, Q.; Cuthbert, L. Throughput Maximization in Multi- UAV Enabled Communication Systems With Difference Consideration. IEEE Access 2018, 6, 55291–55301. [Google Scholar] [CrossRef]
- Yang, D.; Wu, Q.; Zeng, Y.; Zhang, R. Energy Tradeoff in Ground-to-UAV Communication via Trajectory Design. IEEE Trans. Veh. Technol. 2018, 67, 6721–6726. [Google Scholar]
- Zhou, X.; Ho, C.K.; Zhang, R. Wireless power meets energy harvesting: A joint energy allocation approach. In Proceedings of the 2014 IEEE Global Conference on Signal and Information Processing (GlobalSIP), Atlanta, GA, USA, 3–5 December 2014; pp. 198–202. [Google Scholar]
- Ju, H.; Zhang, R. Throughput maximization in wireless powered communication networks. IEEE Trans. Wirel. Commun. 2014, 13, 418–428. [Google Scholar] [CrossRef]
- Energous Corp. Available online: https://www.energous.com/ (accessed on 25 March 2019).
- Ossia Inc. Available online: https://www.ossia.com/ (accessed on 25 March 2019).
- Xu, J.; Zeng, Y.; Zhang, R. UAV-Enabled Wireless Power Transfer: Trajectory Design and Energy Optimization. IEEE Trans. Wirel. Commun. 2018, 17, 5092–5106. [Google Scholar] [CrossRef]
- Xie, L.; Xu, J.; Zhang, R. Throughput Maximization for UAV-Enabled Wireless Powered Communication Networks. IEEE Internet Things J. 2018. [Google Scholar] [CrossRef]
- Park, J.; Lee, H.; Eom, S.; Lee, I. Minimum Throughput Maximization in UAV-Aided Wireless Powered Communication Networks. 2018. Available online: https://arxiv.org/abs/1801.02781 (accessed on 25 March 2019).
- Wu, Q.; Zeng, Y.; Zhang, R. Joint trajectory and communication design for multi-UAV enabled wireless networks. IEEE Trans. Wirel. Commun. 2018, 17, 2109–2121. [Google Scholar] [CrossRef]
- Boyd, S.; Vandenberghe, L. Convex Optimization; Cambridge University Press: Cambridge, UK, 2004. [Google Scholar]
- Grant, M.; Boyd, S. CVX: Matlab Software for Disciplined Convex Programming, Version 2.1. 2014. Available online: http://cvxr.com/cvx (accessed on 25 March 2019).










© 2019 by the authors. Licensee MDPI, Basel, Switzerland. This article is an open access article distributed under the terms and conditions of the Creative Commons Attribution (CC BY) license (http://creativecommons.org/licenses/by/4.0/).
Share and Cite
Wu, F.; Yang, D.; Xiao, L.; Cuthbert, L. Minimum-Throughput Maximization for Multi-UAV-Enabled Wireless-Powered Communication Networks. Sensors 2019, 19, 1491. https://doi.org/10.3390/s19071491
Wu F, Yang D, Xiao L, Cuthbert L. Minimum-Throughput Maximization for Multi-UAV-Enabled Wireless-Powered Communication Networks. Sensors. 2019; 19(7):1491. https://doi.org/10.3390/s19071491
Chicago/Turabian StyleWu, Fahui, Dingcheng Yang, Lin Xiao, and Laurie Cuthbert. 2019. "Minimum-Throughput Maximization for Multi-UAV-Enabled Wireless-Powered Communication Networks" Sensors 19, no. 7: 1491. https://doi.org/10.3390/s19071491
APA StyleWu, F., Yang, D., Xiao, L., & Cuthbert, L. (2019). Minimum-Throughput Maximization for Multi-UAV-Enabled Wireless-Powered Communication Networks. Sensors, 19(7), 1491. https://doi.org/10.3390/s19071491
