A Novel Multi-Focus Image Fusion Network with U-Shape Structure
Abstract
1. Introduction
2. Related Work
2.1. Deep Learning for Multi-Focus Image Fusion
2.2. U-Shape Networks
3. The Proposed Method
3.1. Method Overview
3.2. Network Architecture
3.2.1. U-Shape Siamese Network
3.2.2. Encoder/Decoder ResBlocks
3.2.3. Global Perception Fusion Module
3.3. Loss Function
4. Experiments and Analysis
4.1. Data Preparation
4.2. Experimental Setup
4.3. Implementation
4.4. Quantitative Evaluation Metrics
4.4.1. Normalized Mutual Information
4.4.2. Gradient-Based Fusion Metric
4.4.3. Yang’s Metric
4.4.4. Chen-Blum Metric
4.5. Visual Results
4.6. Quantitative Results
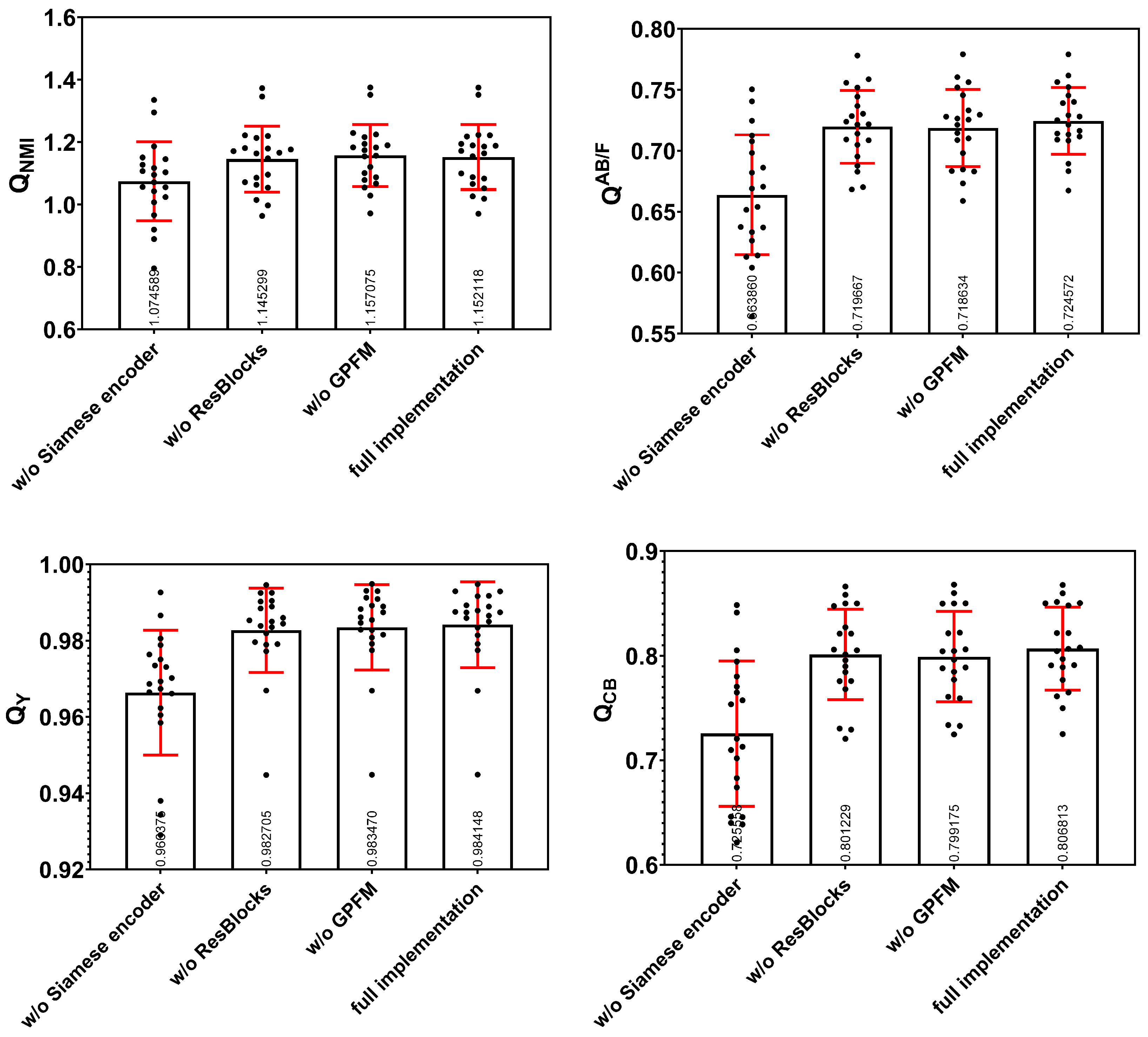
4.7. Ablation Study
4.7.1. Architecture Ablation
4.7.2. Loss Ablation
4.8. Computational Efficiency
5. Conclusions
Author Contributions
Funding
Conflicts of Interest
Appendix A



References
- Stathaki, T. Image Fusion: Algorithms and Applications; Elsevier: Amsterdam, The Netherlands, 2011. [Google Scholar]
- Goshtasby, A.A.; Nikolov, S. Image fusion: Advances in the state of the art. Inf. Fusion 2007, 2, 114–118. [Google Scholar] [CrossRef]
- Burt, P.; Adelson, E. The Laplacian Pyramid as a Compact Image Code. IEEE Trans. Commun. 1983, 31, 532–540. [Google Scholar] [CrossRef]
- Toet, A. Image fusion by a ratio of low-pass pyramid. Pattern Recognit. Lett. 1989, 9, 245–253. [Google Scholar] [CrossRef]
- Yang, B.; Li, S. Multifocus image fusion and restoration with sparse representation. IEEE Trans. Instrum. Meas. 2009, 59, 884–892. [Google Scholar] [CrossRef]
- Li, H.; Manjunath, B.S.; Mitra, S.K. Multisensor Image Fusion Using the Wavelet Transform. Graph. Model. Image Process. 1995, 57, 235–245. [Google Scholar] [CrossRef]
- Lewis, J.J.; O’Callaghan, R.J.; Nikolov, S.G.; Bull, D.R.; Canagarajah, N. Pixel- and region-based image fusion with complex wavelets. Inf. Fusion 2007, 8, 119–130. [Google Scholar] [CrossRef]
- Nencini, F.; Garzelli, A.; Baronti, S.; Alparone, L. Remote sensing image fusion using the curvelet transform. Inf. Fusion 2007, 8, 143–156. [Google Scholar] [CrossRef]
- Zhang, Q.; Long Guo, B. Multifocus image fusion using the nonsubsampled contourlet transform. Signal Process. 2009, 89, 1334–1346. [Google Scholar] [CrossRef]
- Li, S.; Kwok, J.T.; Wang, Y. Combination of images with diverse focuses using the spatial frequency. Inf. Fusion 2001, 2, 169–176. [Google Scholar] [CrossRef]
- Aslantas, V.; Kurban, R. Fusion of multi-focus images using differential evolution algorithm. Expert Syst. Appl. 2010, 37, 8861–8870. [Google Scholar] [CrossRef]
- De, I.; Chanda, B. Multi-focus image fusion using a morphology-based focus measure in a quad-tree structure. Inf. Fusion 2013, 14, 136–146. [Google Scholar] [CrossRef]
- Bai, X.; Zhang, Y.; Zhou, F.; Xue, B. Quadtree-based multi-focus image fusion using a weighted focus-measure. Inf. Fusion 2015, 22, 105–118. [Google Scholar] [CrossRef]
- Li, S.; Yang, B. Multifocus image fusion using region segmentation and spatial frequency. Image Vis. Comput. 2008, 26, 971–979. [Google Scholar] [CrossRef]
- Li, M.; Cai, W.; Tan, Z. A region-based multi-sensor image fusion scheme using pulse-coupled neural network. Pattern Recognit. Lett. 2006, 27, 1948–1956. [Google Scholar] [CrossRef]
- Li, S.; Kang, X.; Hu, J. Image Fusion With Guided Filtering. IEEE Trans. Image Process. 2013, 22, 2864–2875. [Google Scholar]
- Liu, Y.; Liu, S.; Wang, Z. Multi-focus image fusion with dense SIFT. Inf. Fusion 2015, 23, 139–155. [Google Scholar] [CrossRef]
- Zhou, Z.; Li, S.; Wang, B. Multi-scale weighted gradient-based fusion for multi-focus images. Inf. Fusion 2014, 20, 60–72. [Google Scholar] [CrossRef]
- Liu, Y.; Chen, X.; Peng, H.; Wang, Z. Multi-focus image fusion with a deep convolutional neural network. Inf. Fusion 2017, 36, 191–207. [Google Scholar] [CrossRef]
- Tang, H.; Xiao, B.; Li, W.; Wang, G. Pixel convolutional neural network for multi-focus image fusion. Inf. Sci. 2018, 433, 125–141. [Google Scholar] [CrossRef]
- Guo, X.; Nie, R.; Cao, J.; Zhou, D.; Qian, W. Fully convolutional network-based multifocus image fusion. Neural Comput. 2018, 30, 1775–1800. [Google Scholar] [CrossRef]
- Amin-Naji, M.; Aghagolzadeh, A.; Ezoji, M. Fully convolutional networks for multi-focus image fusion. In Proceedings of the 9th International Symposium on Telecommunications (IST), Tehran, Iran, 7–19 December 2018; pp. 553–558. [Google Scholar]
- Prabhakar, K.R.; Srikar, V.S.; Babu, R.V. DeepFuse: A Deep Unsupervised Approach for Exposure Fusion with Extreme Exposure Image Pairs. In Proceedings of the IEEE International Conference on Computer Vision (ICCV), Venice, Italy, 22–29 October 2017; pp. 4724–4732. [Google Scholar]
- Zhao, W.; Wang, D.; Lu, H. Multi-focus image fusion with a natural enhancement via a joint multi-level deeply supervised convolutional neural network. IEEE Trans. Circuits Syst. Video Technol. 2018, 29, 1102–1115. [Google Scholar] [CrossRef]
- Yan, X.; Gilani, S.Z.; Qin, H.; Mian, A. Unsupervised deep multi-focus image fusion. arXiv 2018, arXiv:1806.07272. [Google Scholar]
- Du, C.; Gao, S. Image segmentation-based multi-focus image fusion through multi-scale convolutional neural network. IEEE Access 2017, 5, 15750–15761. [Google Scholar] [CrossRef]
- Guo, X.; Nie, R.; Cao, J.; Zhou, D.; Mei, L.; He, K. Fusegan: Learning to fuse multi-focus image via conditional generative adversarial network. IEEE Trans. Multimed. 2019, 21, 1982–1996. [Google Scholar] [CrossRef]
- Farid, M.S.; Mahmood, A.; Al-Maadeed, S.A. Multi-focus image fusion using content adaptive blurring. Inf. Fusion 2019, 45, 96–112. [Google Scholar] [CrossRef]
- Ronneberger, O.; Fischer, P.; Brox, T. U-net: Convolutional networks for biomedical image segmentation. In Proceedings of the Medical Image Computing and Computer-Assisted Intervention—MICCAI, Munich, Germany, 5–9 October 2015; Volume 9351, pp. 234–241. [Google Scholar]
- He, K.; Zhang, X.; Ren, S.; Sun, J. Deep residual learning for image recognition. In Proceedings of the IEEE conference on computer vision and pattern recognition, Las Vegas, NV, USA, 27–30 June 2016; pp. 770–778. [Google Scholar]
- Zhao, H.; Shi, J.; Qi, X.; Wang, X.; Jia, J. Pyramid scene parsing network. In Proceedings of the IEEE conference on computer vision and pattern recognition, Honolulu, HI, USA, 21–26 July 2017; pp. 2881–2890. [Google Scholar]
- De Boer, P.T.; Kroese, D.P.; Mannor, S.; Rubinstein, R.Y. A tutorial on the cross-entropy method. Ann. Oper. Res. 2005, 134, 19–67. [Google Scholar] [CrossRef]
- Wang, Z.; Simoncelli, E.P.; Bovik, A.C. Multiscale structural similarity for image quality assessment. In Proceedings of the Thrity-Seventh Asilomar Conference on Signals, Systems and Computers, Pacific Grove, CA, USA, 9–12 November 2003. [Google Scholar]
- Nejati, M.; Samavi, S.; Shirani, S. Multi-focus image fusion using dictionary-based sparse representation. Inf. Fusion 2015, 25, 72–84. [Google Scholar] [CrossRef]
- Everingham, M.; Eslami, S.A.; Van Gool, L.; Williams, C.K.; Winn, J.; Zisserman, A. The pascal visual object classes challenge: A retrospective. Int. J. Comput. Vis. 2015, 111, 98–136. [Google Scholar] [CrossRef]
- Kingma, D.P.; Ba, J. Adam: A method for stochastic optimization. arXiv 2014, arXiv:1412.6980. [Google Scholar]
- Ketkar, N. Introduction to pytorch. In Deep Learning with Python; Springer: Berlin, Germany, 2017; pp. 195–208. [Google Scholar]
- Hossny, M.; Nahavandi, S.; Creighton, D. Comments on ‘Information measure for performance of image fusion’. Electron. Lett. 2008, 44, 1066–1067. [Google Scholar] [CrossRef]
- Xydeas, C.; Petrovic, V. Objective image fusion performance measure. Electron. Lett. 2000, 36, 308–309. [Google Scholar] [CrossRef]
- Yang, C.; Zhang, J.Q.; Wang, X.R.; Liu, X. A novel similarity based quality metric for image fusion. Inf. Fusion 2008, 9, 156–160. [Google Scholar] [CrossRef]
- Chen, Y.; Blum, R.S. A new automated quality assessment algorithm for image fusion. Image Vis. Comput. 2009, 27, 1421–1432. [Google Scholar] [CrossRef]














| Metric | ||||
|---|---|---|---|---|
| LP [3] | 0.964121 | 0.696484 | 0.963407 | 0.761294 | 
| RP [4] | 0.955103 | 0.680854 | 0.954156 | 0.749155 | 
| NSCT [9] | 0.938377 | 0.685822 | 0.959748 | 0.742968 | 
| DWT [6] | 1.036022 | 0.659993 | 0.928359 | 0.713734 | 
| DTCWT [7] | 0.924234 | 0.685467 | 0.963587 | 0.742712 | 
| SR [5] | 1.032391 | 0.690457 | 0.959032 | 0.762765 | 
| CVT [8] | 0.893955 | 0.653854 | 0.949585 | 0.724333 | 
| DSIFT [17] | 1.153657 | 0.723525 | 0.982763 | 0.805893 | 
| MWG [18] | 1.097503 | 0.710108 | 0.982625 | 0.792728 | 
| DeepFuse [23] | 0.679645 | 0.433013 | 0.740159 | 0.572617 | 
| CNN [19] | 1.125989 | 0.722936 | 0.982505 | 0.805273 | 
| Ours | 1.152118 | 0.724572 | 0.984148 | 0.806813 | 
| Metric | ||||
|---|---|---|---|---|
| w/o Siamese encoder | 1.074588 | 0.663860 | 0.966375 | 0.725558 | 
| w/o ResBlocks | 1.145299 | 0.719667 | 0.982705 | 0.801229 | 
| w/o GPFM | 1.157074 | 0.718634 | 0.983470 | 0.799175 | 
| full implementation | 1.152118 | 0.724572 | 0.984148 | 0.806813 | 
| Metric | ||||
|---|---|---|---|---|
| 1.148848 | 0.722299 | 0.983650 | 0.805042 | |
| 1.152751 | 0.721329 | 0.984072 | 0.804851 | |
| 1.152118 | 0.724572 | 0.984148 | 0.806813 | 
© 2020 by the authors. Licensee MDPI, Basel, Switzerland. This article is an open access article distributed under the terms and conditions of the Creative Commons Attribution (CC BY) license (http://creativecommons.org/licenses/by/4.0/).
Share and Cite
Pan, T.; Jiang, J.; Yao, J.; Wang, B.; Tan, B. A Novel Multi-Focus Image Fusion Network with U-Shape Structure. Sensors 2020, 20, 3901. https://doi.org/10.3390/s20143901
Pan T, Jiang J, Yao J, Wang B, Tan B. A Novel Multi-Focus Image Fusion Network with U-Shape Structure. Sensors. 2020; 20(14):3901. https://doi.org/10.3390/s20143901
Chicago/Turabian StylePan, Tao, Jiaqin Jiang, Jian Yao, Bin Wang, and Bin Tan. 2020. "A Novel Multi-Focus Image Fusion Network with U-Shape Structure" Sensors 20, no. 14: 3901. https://doi.org/10.3390/s20143901
APA StylePan, T., Jiang, J., Yao, J., Wang, B., & Tan, B. (2020). A Novel Multi-Focus Image Fusion Network with U-Shape Structure. Sensors, 20(14), 3901. https://doi.org/10.3390/s20143901
 
        


 
       