Refractive Index Sensor Based on Double Side-Polished U-Shaped Plastic Optical Fiber
Abstract
1. Introduction
2. Principle
3. Fabrication and Characterization
4. Results and Discussion
4.1. Effect of Curvature Radius
4.2. Effect of Polishing Position
4.3. Effect of the Polished Depth
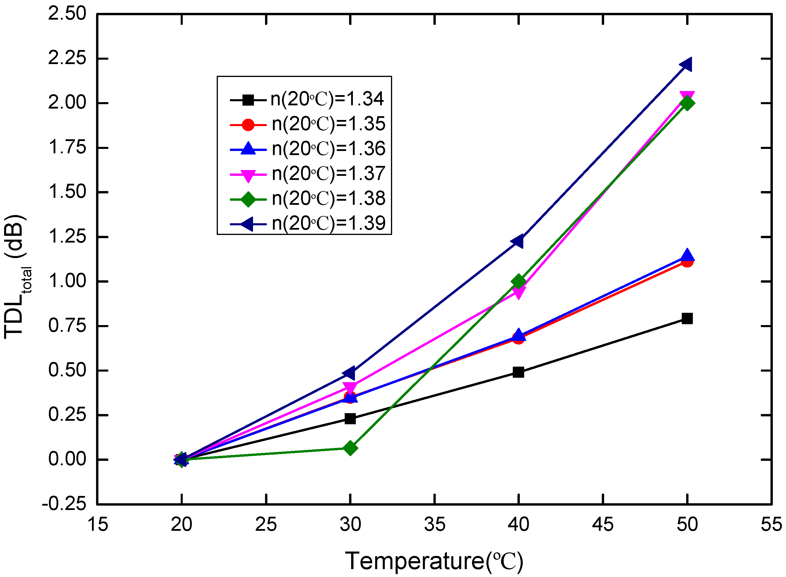
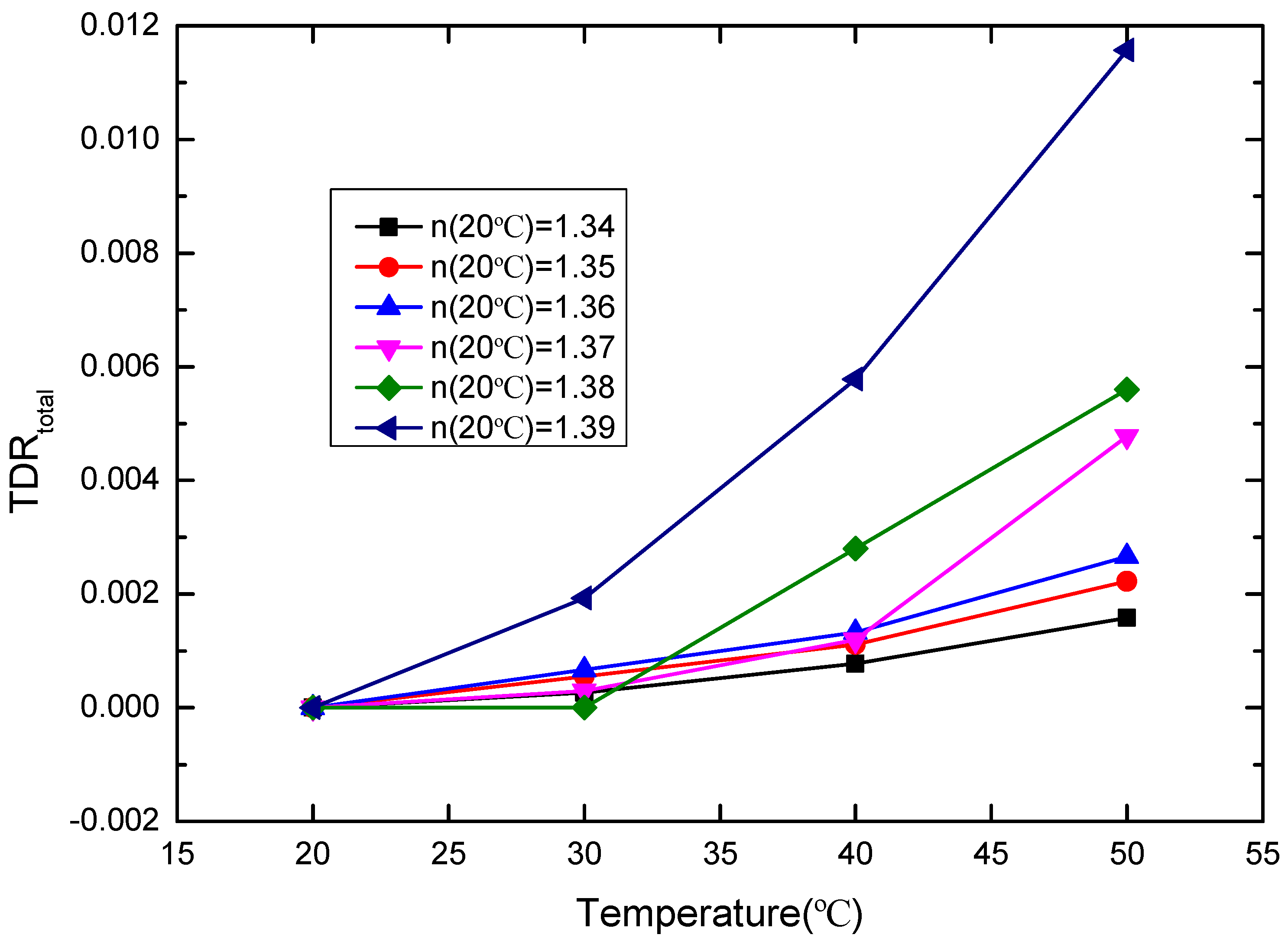
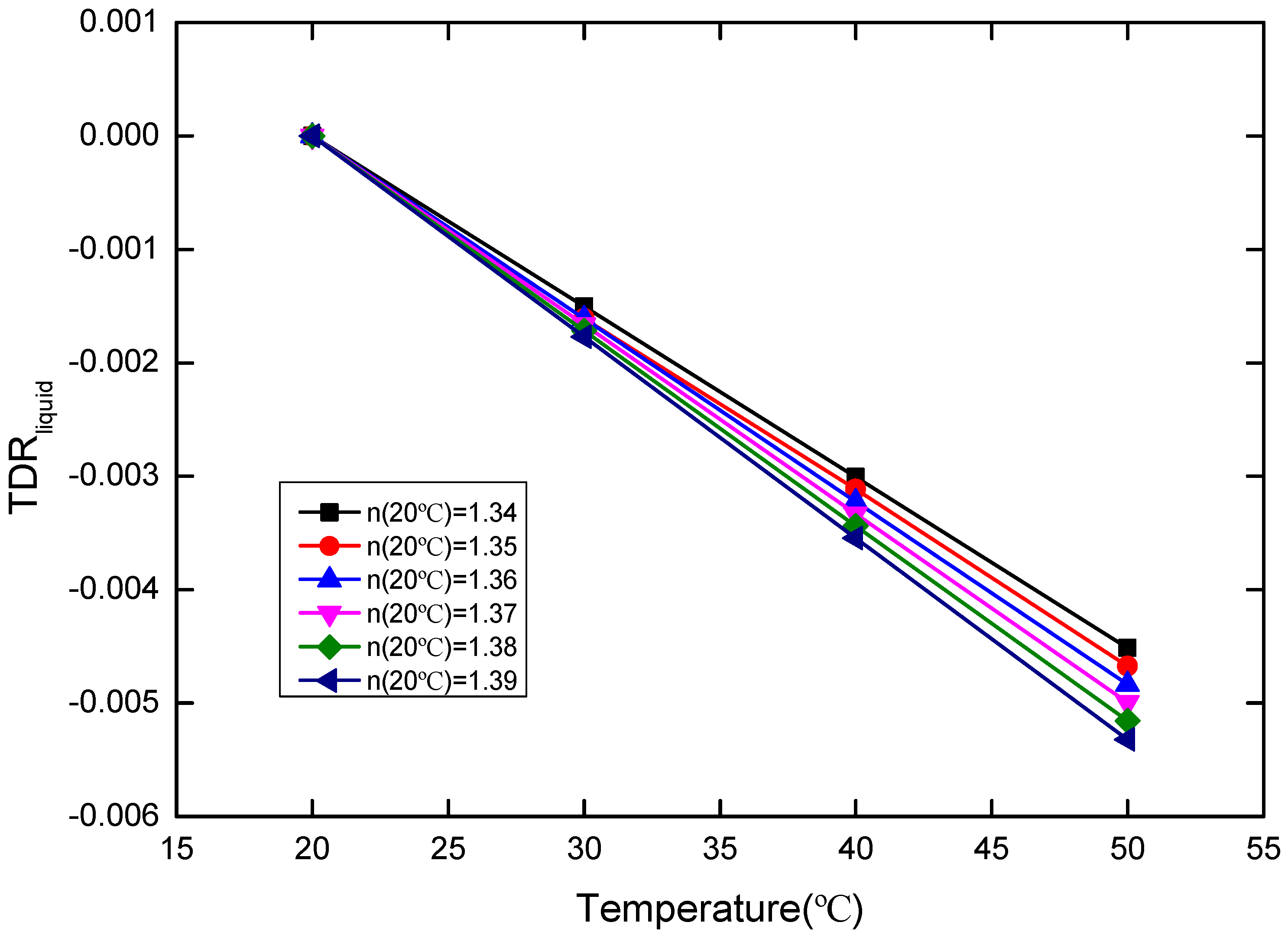
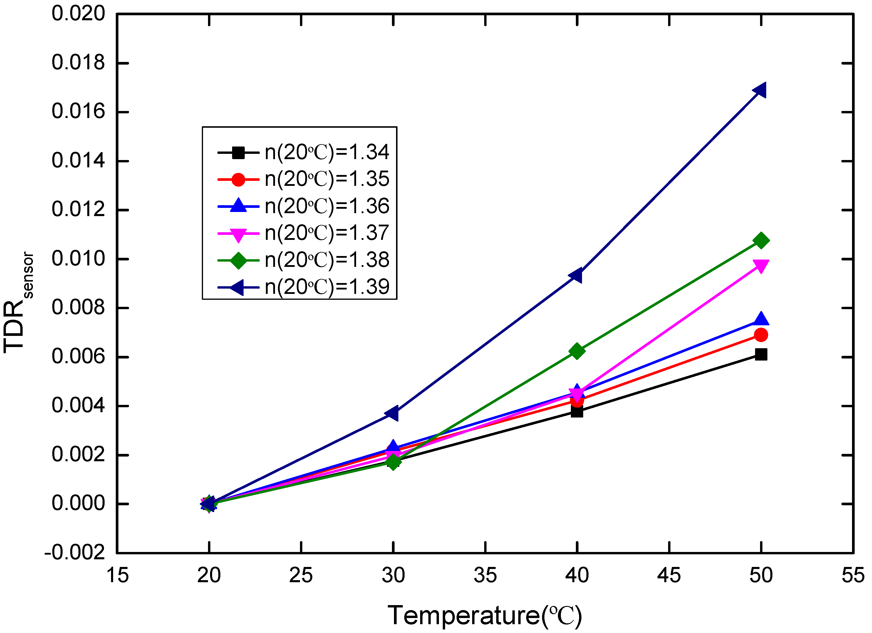
4.4. Effect of the Temperature
5. Conclusions
Author Contributions
Funding
Conflicts of Interest
References
- Gowri, A.; Rajamani, A.S.; Ramakrishna, B.; Sai, V.V.R. U-bent plastic optical fiber probes as refractive index based fat sensor for milk quality monitoring. Opt. Fiber Technol. 2019, 47, 15–20. [Google Scholar] [CrossRef]
- Fatemi, F.K.; Bashkansky, M. Generation of hollow beams by using a binary spatial light modulator. Opt. Lett. 2006, 31, 864–866. [Google Scholar] [CrossRef] [PubMed]
- Xu, Y.; Lu, P.; Chen, L.; Bao, X. Recent Developments in Micro-Structured Fiber Optic Sensors. Fibers 2017, 5, 3. [Google Scholar] [CrossRef]
- Lu, L.; Jiang, Z.; Hu, Y.; Zhou, H.; Chen, Z. A portable optical fiber SPR temperature sensor based on a smart-phone. Opt. Express 2019, 27, 25420. [Google Scholar] [CrossRef]
- Rajamani, A.S.; Divagar, M.; Sai, V.V.R. Plastic fiber optic sensor for continuous liquid level monitoring. Sens. Actuator A 2019, 296, 192–199. [Google Scholar] [CrossRef]
- Bhatia, N.; John, J. Multimode interference devices with single-mode-multimode-multimode fiber structure. Appl. Opt. 2014, 53, 5179–5186. [Google Scholar] [CrossRef]
- Zhou, W.; Zhou, Y.; Albert, J. A true fiber optic refractometer. Laser Photonics Rev. 2017, 11, 1600157. [Google Scholar] [CrossRef]
- Zhang, X.; Xie, L.; Zhang, X.; Peng, W. Optimization of long-period grating-based refractive index sensor by bent-fiber interference. Appl. Opt. 2015, 54, 9152–9156. [Google Scholar] [CrossRef]
- Arrue, F.; Jiménez, G.; Aldabaldetreku, G.; Durana, J.; Zubia, M.; Lomer, J. Analysis of the use of tapered graded-index polymer optical fibers for refractive-index sensors. Opt. Express 2008, 16, 16616–16631. [Google Scholar] [CrossRef]
- Chen, C.H.; Tsao, T.C.; Tang, J.L.; Wu, W.T. A Multi-D-Shaped Optical Fiber for Refractive Index Sensing. Sensors 2010, 10, 4794–4804. [Google Scholar] [CrossRef]
- Gong, W.; Jiang, S.; Li, Z.; Li, C.; Zhang, C. Experimental and theoretical investigation for surface plasmon resonance biosensor based on graphene/Au film/D-POF. Opt. Express 2019, 27, 3483. [Google Scholar] [CrossRef] [PubMed]
- Gowri, A.; Sai, V.V.R. Development of LSPR based U-bent plastic optical fiber sensor. Sens. Actuator B 2016, 230, 536–543. [Google Scholar] [CrossRef]
- Divagar, M.; Gowri, A.; John, S.; Sai, V.V.R. Graphene oxide coated U-bent plastic optical fiber based chemical sensor for organic solvents. Sens. Actuator B 2018, 262, 1006–1012. [Google Scholar] [CrossRef]
- Teng, C.; Jing, N.; Yu, F.; Zheng, J. Investigation of a macro-bending tapered plastic optical fiber for refractive index sensing. IEEE Sens. J. 2016, 16, 7521–7525. [Google Scholar] [CrossRef]
- Teng, C.; Deng, H.; Liu, H.; Yang, H.; Yuan, L.; Zheng, J.; Deng, S. Refractive index sensor based on twisted tapered plastic optical fibers. Photonics 2019, 6, 40. [Google Scholar] [CrossRef]
- Feng, D.; Liu, G.; Liu, X.; Jiang, M.; Sui, Q. Refractive index sensor based on plastic optical fiber with tapered structure. Appl. Opt. 2014, 53, 2007–2011. [Google Scholar]
- Jing, N.; Zheng, J.; Zhao, X.; Teng, C. Refractive index sensing based on a side-polished macrobending plastic optical fiber. IEEE Sens. J. 2015, 15, 2898–2901. [Google Scholar] [CrossRef]
- Feng, D.; Zhang, M.; Liu, G.; Liu, X.; Jia, D. D-shaped plastic optical fiber sensor for testing refractive index. IEEE Sens. J. 2014, 14, 1673–1676. [Google Scholar]
- Teng, C.; Yu, F.; Jing, N.; Ding, Y.; Si, Z.; Zheng, J. Investigation of refractive index sensors based on side-polished plastic optical fibers. Opt. Fiber Technol. 2017, 36, 1–5. [Google Scholar] [CrossRef]
- Liu, G.; Feng, D.; Zhang, M.; Jiang, S.; Ye, Z. Side-hole plastic optical fiber for testing liquid’s refractive index. IEEE Sens. J. 2015, 15, 2902–2905. [Google Scholar] [CrossRef]
- Shin, J.; Park, J. Plastic optical fiber refractive index sensor employing an in-line submillimeter hole. IEEE Photonics Technol. Lett. 2013, 25, 1882–1884. [Google Scholar] [CrossRef]
- Liu, L.; Yang, J.; Yang, Z. Theoretical Analysis of the Optical Propagation Characteristics in a Fiber-Optic Surface Plasmon Resonance Sensor. Sensors 2013, 13, 7443–7453. [Google Scholar] [CrossRef]
- Tang, J.L.; Cheng, S.F.; Hsu, W.T.; Chiang, T.Y.; Chau, L.K. Fiber-optic biochemical sensing with a colloidal gold-modified long period fiber grating. Sens. Actuator B 2006, 119, 105–109. [Google Scholar] [CrossRef]
- Polygerinos, P.; Seneviratne, L.D.; Althoefer, K. Modeling of Light Intensity-Modulated Fiber-Optic Displacement Sensors. IEEE Trans. Instrum. Meas. 2011, 60, 1408–1415. [Google Scholar] [CrossRef]
- Bilro, L.; Alberto, N.; Pinto, J.L.; Nogueira, R. Optical sensors based on plastic fibers. Sensors 2012, 12, 12184–12207. [Google Scholar] [CrossRef]
- Sequeira, F.; Duarte, D.; Bilro, L.; Rudnitskaya, A.; Pesavento, M.; Zeni, L.; Cennamo, N. Refractive Index Sensing with D-Shaped Plastic Optical Fibers for Chemical and Biochemical Applications. Sensors 2016, 16, 2119. [Google Scholar] [CrossRef]
- Danny, C.G.; Raj, M.D.; Sai, V.V.R. Investigating the refractive index sensitivity of u-bent fiber optic sensors using ray optics. J. Lightwave Technol. 2020, 38, 1580–1588. [Google Scholar] [CrossRef]
- Punjabi, N.; Satija, J.; Mukherji, S. Evanescent wave absorption-based fiber-optic sensor-Cascading of bend and tapered geometry for enhanced sensitivity. Sens. Technol. Curr. Status Future Trends 2015, 11, 25–45. [Google Scholar]
- Jing, N.; Teng, C.; Yu, F.; Zheng, J. Temperature Dependence of a Refractive Index Sensor Based on Side-Polished Macrobending Plastic Optical Fiber. IEEE Sens. J. 2016, 16, 355–358. [Google Scholar] [CrossRef]
- Teng, C.; Yu, F.; Jing, N.; Zheng, J. The influence of temperature to a refractive index sensor based on a macro-bending tapered plastic optical fiber. Opt. Fiber Technol. 2016, 31, 32–35. [Google Scholar] [CrossRef]
- Jing, N.; Teng, C.; Zhao, X.; Zheng, J. Temperature dependence of a refractive index sensor based on a macrobending micro-plastic optical fiber. Appl. Opt 2015, 54, 1890–1893. [Google Scholar] [CrossRef] [PubMed]













| Probe Polished Angle | σa | Sensitivity (%/RIU) (1.33–1.39) | Resolution (RIU) | Correlation Coefficient (R2) |
|---|---|---|---|---|
| D = 0 | 4.31 × 10−3 | 417 | 3.1 × 10−3 | 0.9818 |
| α = 30° | 2.72 × 10−3 | 783 | 1.04 × 10−3 | 0.9927 |
| α = 45° | 5.28 × 10−3 | 1167 | 1.36 × 10−3 | 0.9827 |
| α = 60° | 3.72 × 10−3 | 1417 | 7.89 × 10−4 | 0.9778 |
| α = 70° | 4.37 × 10−3 | 1250 | 1.05 × 10−3 | 0.9578 |
| α = 90° | 5.18 × 10−3 | 1000 | 1.55 × 10−3 | 0.9629 |
| Polished Depth (μm) | σa | Sensitivity (%/RIU) (1.33–1.39) | Resolution (RIU) | Correlation Coefficient (R2) |
|---|---|---|---|---|
| D = 100 | 2.59 × 10−3 | 808 | 9.61 × 10−4 | 0.973 |
| D = 200 | 4.17 × 10−3 | 1400 | 8.93 × 10−4 | 0.999 |
| D = 300 | 3.72 × 10−3 | 1417 | 789 × 10−4 | 0.9978 |
| D = 400 | 2.75 × 10−3 | 1541 | 5.35 × 10−4 | 0.9662 |
| D = 500 | 2.66 × 10−3 | 1458 | 5.47 × 10−4 | 0.9919 |
| D = 600 | 6.11 × 10−3 | 1245 | 1.47 × 10−3 | 0.9964 |
| Configuration | Sensitivity | Range | Resolution | Ref. |
|---|---|---|---|---|
| Macrobending Tapered | 937%/RIU | 1.33–1.41 | 7.11 × 10−4 | 14 |
| Twisted Tapered | 1700%/RIU3496%/RIU | 1.37–1.411.41–1.44 | - | 15 |
| U-shaped | 864%/RIU | 1.33–1.44 | 3.3 × 10−4 | 19 |
| Side-Polished Macrobending | 981%/RIU | 1.33–1.44 | - | 17 |
| This work | 1541%/RIU | 1.33–1.39 | 5.35 × 10−4 |
© 2020 by the authors. Licensee MDPI, Basel, Switzerland. This article is an open access article distributed under the terms and conditions of the Creative Commons Attribution (CC BY) license (http://creativecommons.org/licenses/by/4.0/).
Share and Cite
Wang, S.; Zhang, D.; Xu, Y.; Sun, S.; Sun, X. Refractive Index Sensor Based on Double Side-Polished U-Shaped Plastic Optical Fiber. Sensors 2020, 20, 5253. https://doi.org/10.3390/s20185253
Wang S, Zhang D, Xu Y, Sun S, Sun X. Refractive Index Sensor Based on Double Side-Polished U-Shaped Plastic Optical Fiber. Sensors. 2020; 20(18):5253. https://doi.org/10.3390/s20185253
Chicago/Turabian StyleWang, Shumin, Daming Zhang, Yan Xu, Siwen Sun, and Xiaoqiang Sun. 2020. "Refractive Index Sensor Based on Double Side-Polished U-Shaped Plastic Optical Fiber" Sensors 20, no. 18: 5253. https://doi.org/10.3390/s20185253
APA StyleWang, S., Zhang, D., Xu, Y., Sun, S., & Sun, X. (2020). Refractive Index Sensor Based on Double Side-Polished U-Shaped Plastic Optical Fiber. Sensors, 20(18), 5253. https://doi.org/10.3390/s20185253

