Temporal and Spatial Focusing in SPAD-Based Solid-State Pulsed Time-of-Flight Laser Range Imaging
Abstract
1. Introduction
2. The SPAD Receiver-Based Approach to Pulsed TOF Range Imaging
2.1. Design Considerations
2.2. Signal Strength and Noise
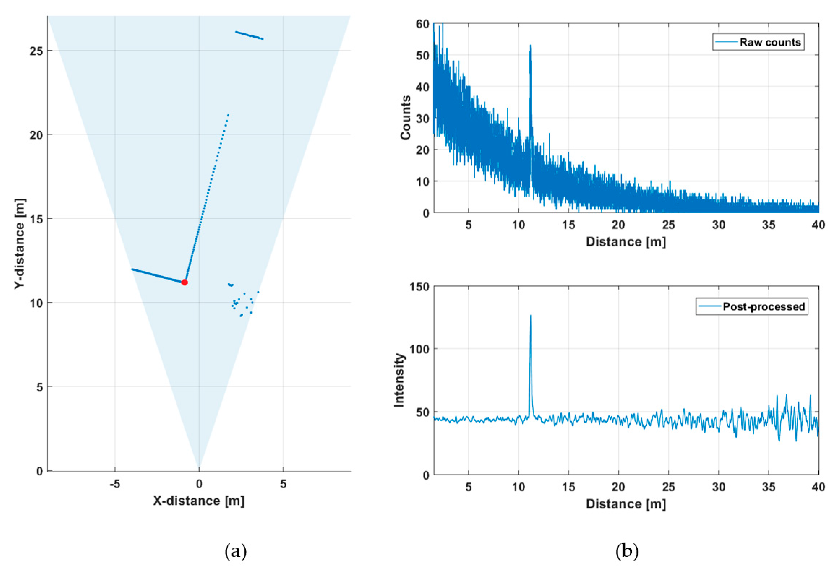
3. Results of 2-D Line Profiling
3.1. System Description
3.2. Examples of Measurement Results
3.2.1. Indoor Measurements
3.2.2. Outdoor Measurements in Moderate Background Illumination
3.2.3. Outdoor Measurements in Strong Background Illumination with/without Gating
3.2.4. Measurements in Strong Background Illumination with Varying Receiver Aperture Sizes
4. Discussion and Summary
Author Contributions
Funding
Conflicts of Interest
References
- Lemmens, M. Terrestrial Laser Scanning; Springer: Dordrecht, The Netherlands, 2011. [Google Scholar]
- Liang, X.; Kankare, V.; Hyyppä, J.; Wang, Y.; Kukko, A.; Haggrén, H.; Yu, X.; Kaartinen, H.; Jaakkola, A.; Guan, F.; et al. Terrestrial laser scanning in forest inventories. ISPRS J. Photogramm. Remote Sens. 2016, 115, 63–77. [Google Scholar] [CrossRef]
- Vázquez-Arellano, M.; Griepentrog, H.W.; Reiser, D.; Paraforos, D.S. 3-D Imaging Systems for Agricultural Applications—A Review. Sensors 2016, 16, 618. [Google Scholar] [CrossRef] [PubMed]
- Hecht, J. Lidar for Self-Driving Cars. Opt. Photon- News 2018, 29, 26–33. [Google Scholar] [CrossRef]
- Wang, C.; Liu, Z.; Chan, S.-C. Superpixel-Based Hand Gesture Recognition with Kinect Depth Camera. IEEE Trans. Multimedia 2014, 17, 29–39. [Google Scholar] [CrossRef]
- Schwarz, B. Mapping the world in 3D. Nat. Photon 2010, 4, 429–430. [Google Scholar] [CrossRef]
- Coffey, V.C. Imaging in 3-D: Killer Apps Coming Soon to a Device near You! Opt. Photon News 2014, 25, 36–43. [Google Scholar] [CrossRef]
- Velodynelidar Systems. Available online: https://velodynelidar.com/products/ (accessed on 20 October 2020).
- Albota, M.A.; Heinrichs, R.M.; Kocher, D.G.; Fouche, D.G.; Player, B.E.; O’Brien, M.E.; Aull, B.F.; Zayhowski, J.J.; Mooney, J.; Willard, B.C.; et al. Three-dimensional imaging laser radar with a photon-counting avalanche photodiode array and microchip laser. Appl. Opt. 2002, 41, 7671–7678. [Google Scholar] [CrossRef]
- Busck, J.; Heiselberg, H. Gated viewing and high-accuracy three-dimensional laser radar. Appl. Opt. 2004, 43, 4705–4710. [Google Scholar] [CrossRef]
- Niclass, C. A 100-m Range 10-Frame/s 340*96-Pixel Time-of-Flight Depth Sensor in 0.18-um CMOS. IEEE J. Solid-State Circuits 2013, 48, 559–572. [Google Scholar] [CrossRef]
- Bronzi, D.; Zou, Y.; Villa, F.A.; Tisa, S.; Tosi, A.; Zappa, F. Automotive Three-Dimensional Vision Through a Single-Photon Counting SPAD Camera. IEEE Trans. Intell. Transp. Syst. 2015, 17, 782–795. [Google Scholar] [CrossRef]
- Hutchings, S.W.; Johnston, N.; Gyongy, I.; Al Abbas, T.; Dutton, N.A.W.; Tyler, M.; Chan, S.; Leach, J.; Henderson, R.K. A Reconfigurable 3-D-Stacked SPAD Imager With In-Pixel Histogramming for Flash LIDAR or High-Speed Time-of-Flight Imaging. IEEE J. Solid-State Circuits 2019, 54, 2947–2956. [Google Scholar] [CrossRef]
- Zhang, C.; Lindner, S.; Antolovic, I.M.; Wolf, M.; Charbon, E. A CMOS SPAD Imager with Collision Detection and 128 Dynamically Reallocating TDCs for Single-Photon Counting and 3D Time-of-Flight Imaging. Sensors 2018, 18, 4016. [Google Scholar] [CrossRef] [PubMed]
- Ruokamo, H.; Hallman, L.W.; Kostamovaara, J. An 80*25 Pixel CMOS Single-Photon Sensor With Flexible On-Chip Time Gating of 40 Subarrays for Solid-State 3-D Range Imaging. IEEE J. Solid-State Circuits 2019, 54, 501–510. [Google Scholar] [CrossRef]
- Della Rocca, F.M. A 128 × 128 SPAD Motion-Triggered Time-of-Flight Image Sensor with In-Pixel Histogram and Column-Parallel Vision Processor. IEEE J. Solid-State Circuits 2020, 55, 1762–1775. [Google Scholar] [CrossRef]
- Morimoto, K.; Ardelean, A.; Wu, M.-L.; Ulku, A.; Antolovic, I.; Bruschini, C.; Charbon, E. A megapixel time-gated SPAD image sensor for 2D and 3D imaging applications. Optica 2020, 7, 346–354. [Google Scholar] [CrossRef]
- Ximenes, A.R. A Modular, Direct Time-of-Flight Depth Sensor in 45/65-nm 3-D-Stacked CMOS Technology. IEEE J. Solid-State Circuits 2019, 54, 3203–3214. [Google Scholar] [CrossRef]
- Lange, R.; Seitz, P. Solid-state time-of-flight range camera. IEEE J. Quantum Electron. 2001, 37, 390–397. [Google Scholar] [CrossRef]
- Oggier, T.; Lehmann, M.; Kaufmann, R.; Schweizer, M.; Richter, M.; Metzler, P.; Lang, G.; Lustenberger, F.; Blanc, N. An all-solid-state optical range camera for 3D real-time imaging with sub-centimeter depth resolution (SwissRanger). Optical Syst. Design 2004, 5249, 534–545. [Google Scholar] [CrossRef]
- Bamji, C.S. A 0.13 μm CMOS System-on-Chip for a 512 × 424 Time-of-Flight Image Sensor with Multi-Frequency Photo-Demodulation up to 130 MHz and 2 GS/s ADC. IEEE J. Solid State Circuits 2015, 50, 303–319. [Google Scholar] [CrossRef]
- Bamji, C.S. 1Mpixel 65nm BSI 320MHz demodulated TOF image sensor with 3μm global shutter pixels and analog binning. In Proceedings of the IEEE International Solid-State Circuits Conference-(ISSCC), San Francisco, CA, USA, 11–15 February 2018. [Google Scholar]
- Lee, S.; Yasutomi, K.; Morita, M.; Kawanishi, H.; Kawahito, S. A Time-of-Flight Range Sensor Using Four-Tap Lock-In Pixels with High near Infrared Sensitivity for LiDAR Applications. Sensors 2019, 20, 116. [Google Scholar] [CrossRef]
- Rochas, A.; Pauchard, A.; Besse, P.-A.; Pantic, D.; Prijic, Z.; Popovic, R. Low-noise silicon avalanche photodiodes fabricated in conventional CMOS technologies. IEEE Trans. Electron Devices 2002, 49, 387–394. [Google Scholar] [CrossRef]
- Perenzoni, M.; Pancheri, L.; Stoppa, D. Compact SPAD-Based Pixel Architectures for Time-Resolved Image Sensors. Sensors 2016, 16, 745. [Google Scholar] [CrossRef]
- Kostamovaara, J.T.; Maatta, K.E.; Myllylae, R.A. Pulsed time-of-flight laser range-finding techniques for industrial applications. Optics Illum. Image Sens. Mach. Vis. 1992, 1614, 283–296. [Google Scholar] [CrossRef]
- Kostamovaara, J.; Huikari, J.; Hallman, L.; Nissinen, I.; Nissinen, J.; Rapakko, H.; Avrutin, E.; Ryvkin, B. On Laser Ranging Based on High-Speed/Energy Laser Diode Pulses and Single-Photon Detection Techniques. IEEE Photon J. 2015, 7, 1–15. [Google Scholar] [CrossRef]
- Jahromi, S. A 32 × 128 SPAD-257 TDC Receiver IC for Pulsed TOF Solid-State 3-D Imaging. IEEE J. Solid-State Circuits 2020, 55, 1960–1970. [Google Scholar] [CrossRef]
- Fouche, D.G. Detection and false-alarm probabilities for laser radars that use Geiger-mode detectors. Appl. Opt. 2003, 42, 5388–5398. [Google Scholar] [CrossRef] [PubMed]
- Henriksson, M. Detection probabilities for photon-counting avalanche photodiodes applied to a laser radar system. Appl. Opt. 2005, 44, 5140–5147. [Google Scholar] [CrossRef]
- Keranen, P.; Kostamovaara, J. 256×8256×8 SPAD Array With 256 Column TDCs for a Line Profiling Laser Radar. IEEE Trans. Circuits Syst. I Regul. Pap. 2019, 66, 4122–4133. [Google Scholar] [CrossRef]
- Bufton, J. Laser altimetry measurements from aircraft and spacecraft. Proc. IEEE 1989, 77, 463–477. [Google Scholar] [CrossRef]
- Huntington, A.S.; Williams, G.M.; Lee, A.O. Modeling false alarm rate and related characteristics of laser ranging and LIDAR avalanche photodiode photoreceivers. Opt. Eng. 2018, 57, 073106. [Google Scholar] [CrossRef]
- Pediredla, A.K. Signal Processing Based Pile-up Compensation for Gated Single-Photon Avalanche Diodes. arXiv 2018, arXiv:1806.07437. [Google Scholar]
- Ryvkin, B.; Avrutin, E.; Kostamovaara, J. Asymmetric-Waveguide Laser Diode for High-Power Optical Pulse Generation by Gain Switching. J. Lightw. Technol. 2009, 27, 2125–2131. [Google Scholar] [CrossRef]
- Ryvkin, B.S.; A Avrutin, E.; Kostamovaara, J.T. Vertical cavity surface emitting lasers with the active layer position detuned from standing wave antinode for picosecond pulse generation by gain switching. J. Appl. Phys. 2011, 110, 123101. [Google Scholar] [CrossRef]
- Huikari, J.M.T.; A Avrutin, E.; Ryvkin, B.S.; Nissinen, J.J.; Kostamovaara, J. High-Energy Picosecond Pulse Generation by Gain Switching in Asymmetric Waveguide Structure Multiple Quantum Well Lasers. IEEE J. Sel. Top. Quantum Electron. 2015, 21, 189–194. [Google Scholar] [CrossRef]
- Hallman, L.W.; Ryvkin, B.; Haring, K.; Ranta, S.; Leinonen, T.; Kostamovaara, J. Asymmetric waveguide laser diode operated in gain switching mode with high-power optical pulse generation. Electron. Lett. 2010, 46, 65. [Google Scholar] [CrossRef]
- Hallman, L.W.; Huikari, J.; Kostamovaara, J. A high-speed/power laser transmitter for single photon imaging applications. IEEE Sens. 2014, 1157–1160. [Google Scholar] [CrossRef]
- Keränen, P.; Kostamovaara, J. “256* TDC Array with Cyclic Interpolators Based on Calibration-Free 2* Time Amplifier. IEEE Trans. Circuits Syst. I Regul. Papers 2019, 66, 524–533. [Google Scholar] [CrossRef]
- Niclass, C.; Soga, M.; Kato, S. A 0.18μm CMOS single-photon sensor for coaxial laser rangefinders. In Proceedings of the IEEE Asian Solid-State Circuits Conference, Beijing, China, 8–10 November 2010; pp. 1–4. [Google Scholar]
- Perenzoni, M.; Perenzoni, D.; Stoppa, D. A 64 × 64-Pixels Digital Silicon Photomultiplier Direct TOF Sensor With 100-MPhotons/s/pixel Background Rejection and Imaging/Altimeter Mode With 0.14% Precision Up To 6 km for Spacecraft Navigation and Landing. IEEE J. Solid-State Circuits 2016, 52, 151–160. [Google Scholar] [CrossRef]
- Beer, M.; Haase, J.F.; Ruskowski, J.; Kokozinski, R. Background Light Rejection in SPAD-Based LiDAR Sensors by Adaptive Photon Coincidence Detection. Sensors 2018, 18, 4338. [Google Scholar] [CrossRef]
- Kabuk, U. 4D Solid-State Lidar, International SPAD Workshop 2020 ISSW; University of Edinburgh: Edinburgh, UK, 2020. [Google Scholar]
- Srowik, A. 256 × 16 SPAD Array and 16-Channel Ultrashort Pulsed Laser Driver for Automotive Lidar. International SPAD Workshop 2020 ISSW; University of Edinburgh: Edinburgh, UK, 2020. [Google Scholar]



















| Transmitter | SPAD/TDC Receiver | ||||||
|---|---|---|---|---|---|---|---|
| Mean Ill. Power | Wavelength | FOV | SPAD Array | SPAD Pitch/FF | TDC Array | TDC Depth/reso. | Technology |
| 0.26 mW@130 kHz | 810 nm | 37° × 0.3° | 256 × 1(8) | 41.6 µm/35% | 256 × 1 | 15 bits/19.5 ps | 0.35 µm CMOS |
Publisher’s Note: MDPI stays neutral with regard to jurisdictional claims in published maps and institutional affiliations. |
© 2020 by the authors. Licensee MDPI, Basel, Switzerland. This article is an open access article distributed under the terms and conditions of the Creative Commons Attribution (CC BY) license (http://creativecommons.org/licenses/by/4.0/).
Share and Cite
Kostamovaara, J.; Jahromi, S.S.; Keränen, P. Temporal and Spatial Focusing in SPAD-Based Solid-State Pulsed Time-of-Flight Laser Range Imaging. Sensors 2020, 20, 5973. https://doi.org/10.3390/s20215973
Kostamovaara J, Jahromi SS, Keränen P. Temporal and Spatial Focusing in SPAD-Based Solid-State Pulsed Time-of-Flight Laser Range Imaging. Sensors. 2020; 20(21):5973. https://doi.org/10.3390/s20215973
Chicago/Turabian StyleKostamovaara, Juha, Sahba S. Jahromi, and Pekka Keränen. 2020. "Temporal and Spatial Focusing in SPAD-Based Solid-State Pulsed Time-of-Flight Laser Range Imaging" Sensors 20, no. 21: 5973. https://doi.org/10.3390/s20215973
APA StyleKostamovaara, J., Jahromi, S. S., & Keränen, P. (2020). Temporal and Spatial Focusing in SPAD-Based Solid-State Pulsed Time-of-Flight Laser Range Imaging. Sensors, 20(21), 5973. https://doi.org/10.3390/s20215973

