Performances and Biosensing Mechanisms of Interdigitated Capacitive Sensors Based on the Hetero-mixture of SnO2 and In2O3
Abstract
1. Introduction
2. Experimental
2.1. Used Chemical and Materials
2.2. Preparation of SnO2-In2O3 Composite Powder
2.3. SnO2-In2O3 Sensor Fabrication
2.4. Preparation of Microbial Culture
2.5. Characterization Techniques and Apparatus
3. Results and Discussion
3.1. Structural Characterization
3.2. Analysis of Sensing Performances
3.2.1. Self-Resonant Frequency (SRF) Analysis
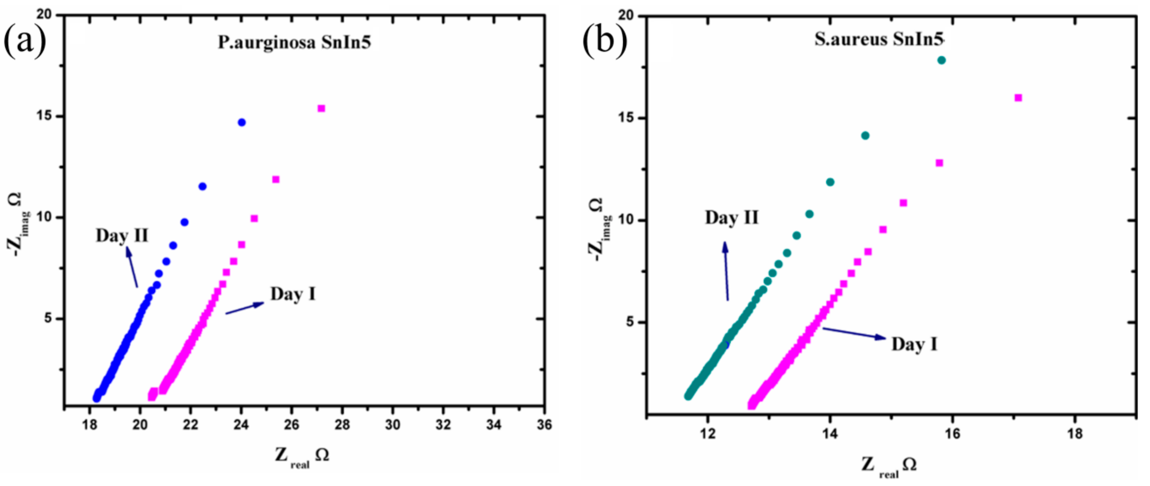
3.2.2. Impedance Spectroscopic Analysis
3.2.3. Sensing Mechanisms Analysis
4. Conclusions
Author Contributions
Funding
Conflicts of Interest
References
- Jin, H.; Abu-Raya, Y.S.; Haick, H. Advanced Materials for Health Monitoring with Skin-Based Wearable Devices. Adv. Healthc. Mater. 2017, 6. [Google Scholar] [CrossRef]
- Liu, B.; Liu, J. Sensors and biosensors based on metal oxide nanomaterials. TRAC-Trends Anal. Chem. 2019, 121, 115690. [Google Scholar] [CrossRef]
- Korotcenkov, G.; Brinzari, V.; Cho, B.K. In2O3-and SnO2-Based Thin Film Ozone Sensors: Fundamentals. J. Sens. 2016, 2016, 3816094. [Google Scholar] [CrossRef]
- Guan, W.; Tang, N.; He, K.; Hu, X.; Li, M.; Li, K. Gas-Sensing Performances of Metal Oxide Nanostructures for Detecting Dissolved Gases: A Mini Review. Front. Chem. 2020, 8, 76. [Google Scholar] [CrossRef] [PubMed]
- Chen, A.; Huang, X.; Tong, Z.; Bai, S.; Luo, R.; Liu, C.C. Preparation, characterization and gas-sensing properties of SnO2-In2O3 nanocomposite oxides. Sens. Actuat. B-Chem. 2006, 115, 316–321. [Google Scholar] [CrossRef]
- Yoo, K.S.; Park, S.H.; Kang, J.H. Nano-grained thin-film indium tin oxide gas sensors for H2 detection. Sens. Actuat. B-Chem. 2005, 108, 159–164. [Google Scholar] [CrossRef]
- Belysheva, T.V.; Spiridonova, E.Y.; Gromov, V.F.; Gerasimov, G.N.; Trakhtenberg, L.I. The sensor properties of SnO2 In2O3 nanocomposite oxides in the detection of hydrogen in air. Russ. J. Phys. Chem. A 2010, 84, 2116–2121. [Google Scholar] [CrossRef]
- Belysheva, T.V.; Gromov, V.F.; Gerasimov, G.N.; Spiridonova, E.Y.; Bondarenko, S.A.; Trakhtenberg, L.I. Sensors based on SnO2+In2O3 composite films for detecting CO in air. Russ. J. Phys. Chem. A 2011, 85, 1021–1025. [Google Scholar] [CrossRef]
- Epifani, M.; Díaz, R.; Taurino, A.; Francioso, L.; Siciliano, P.; Morante, J.R. Chemical Synthesis, Characterization and Gas-Sensing Properties of Thin Films in the In2O3-SnO2 System. Mater. Res. Soc. Symp. Proc. 2004, 828. [Google Scholar] [CrossRef]
- McCue, J.T.; Ying, J.Y. SnO2−In2O3 Nanocomposites as Semiconductor Gas Sensors for CO and NOx Detection. Chem. Mater. 2007, 19, 1009–1015. [Google Scholar] [CrossRef]
- Dong, C.; Jiang, M.; Tao, Y.; Shen, Y.; Lu, Y.; Yuan, Y.; Wang, Y. Nonaqueous synthesis of Pd-functionalized SnO2/In2O3 nanocomposites for excellent butane sensing properties. Sens. Actuat. B-Chem. 2018, 257, 419–426. [Google Scholar] [CrossRef]
- Ge, W.; Chang, Y.; Natarajan, V.; Feng, Z.; Zhan, J.; Ma, X. In2O3-SnO2 hybrid porous nanostructures delivering enhanced formaldehyde sensing performance. J. Alloy. Compd. 2018, 746, 36–44. [Google Scholar] [CrossRef]
- Madhi, I.; Saadoun, M.; Bessaïs, B. Screen printed In2O3-SnO2nanocomposite: Structural and morphological properties and application for NO2 detection. EPJ Web Conf. 2012, 29, 26. [Google Scholar] [CrossRef]
- Gerasimov, G.N.; Gromov, V.F.; Ikim, M.I.; Ilegbusi, O.J.; Trakhtenberg, L.I. Effect of interaction between components of In2O3-CeO2 and SnO2-CeO2 nanocomposites on structure and sensing properties. Sens. Actuat. B-Chem. 2019, 279, 22–30. [Google Scholar] [CrossRef]
- Kim, B.J.; Kim, J.S. Ceramics for Environmental Systems; The American Ceramic Society: Westerville, OH, USA, 2016; p. 147. [Google Scholar]
- Korotcenkov, G.; Han, S.D.; Cho, B.K.; Brinzari, V. Grain Size Effects in Sensor Response of Nanostructured SnO2-and In2O3-Based Conductometric Thin Film Gas Sensor. Crit. Rev. Solid State 2009, 34, 1–17. [Google Scholar] [CrossRef]
- Korotcenkov, G.; Cho, B.K.; Brinzari, V. The Role of Grain Size in Response of SnO2-and In2O3-Based Conductometric Gas Sensors. Adv. Mater. Res. 2012, 486, 153–159. [Google Scholar] [CrossRef]
- Korotcenkov, G.; Brinzari, V.; Cho, B.K. In2O3- and SnO2-based Ozone Sensors: Design and Characterization. Crit. Rev. Solid State 2017, 43, 83–132. [Google Scholar] [CrossRef]
- Vinichenko, V.A.; Buchenko, V.V.; Goloborodko, N.S.; Lendel, V.V.; Lushkin, A.E.; Telega, V.N. Optical and Electrophysical Properties of 95% In2O3 + 5% SnO2/ns-Si Heterostructure. Ukr. J. Phys. 2016, 61, 240–247. [Google Scholar] [CrossRef][Green Version]
- Kuss, S.; Amin, H.M.A.; Compton, R.G. Electrochemical Detection of Pathogenic Bacteria-Recent Strategies. Adv. Chall. Chem. Asian J. 2018, 13, 2758–2769. [Google Scholar] [CrossRef] [PubMed]
- Jaiswal, N.; Pandey, C.M.; Solanki, S.; Tiwari, I.; Malhotra, B.D. An impedimetric biosensor based on electrophoretically assembled ZnO nanorods and carboxylated graphene nanoflakes on an indium tin oxide electrode for detection of the DNA of Escherichia coli O157:H7. Mikrochim. Acta 2019, 187, 1. [Google Scholar] [CrossRef]
- Bekir, K.; Barhoumi, H.; Braiek, M.; Chrouda, A.; Zine, N.; Abid, N.; Maaref, A.; Bakhrouf, A.; Ouada, H.B.; Jaffrezic-Renault, N.; et al. Electrochemical impedance immunosensor for rapid detection of stressed pathogenic Staphylococcus aureus bacteria. Environ. Sci. Pollut. Res. 2015, 22, 15796–15803. [Google Scholar] [CrossRef] [PubMed]
- Lam, B.; Das, J.; Holmes, R.D.; Live, L.; Sage, A.; Sargent, E.H.; Kelley, S.O. Solution-based circuits enable rapid and multiplexed pathogen detection. Nat. Commun. 2013, 4, 2001. [Google Scholar] [CrossRef]
- Shen, H.; Li, L.; Xu, D. Preparation of one-dimensional SnO2-In2O3 nano-heterostructures and their gas-sensing property. RSC Adv. 2017, 7, 33098–33105. [Google Scholar] [CrossRef]
- Ratiu, I.A.; Bocos-Bintintan, V.; Turner, M.; Moll, V.H.; Thomas, C.L.P. Discrimination of chemical profiles of some bacterial species by analyzing culture headspace air samples using TD-GC/MS. Curr. Anal. Chem. 2014, 10, 488–497. [Google Scholar] [CrossRef]
- Buszewski, B.; Rațiu, I.A.; Milanowski, M.; Pomastowski, P.; Ligor, T. The effect of biosilver nanoparticles on different bacterial strains’ metabolism reflected in their VOCs profiles. J. Breath Res. 2018, 12. [Google Scholar] [CrossRef] [PubMed]
- Zhu, J.; Bean, H.D.; Kuo, Y.M.; Hill, J.E. Fast detection of volatile organic compounds from bacterial cultures by secondary electrospray ionization-mass spectrometry. J. Clin. Microbiol. 2010, 48, 4426–4431. [Google Scholar] [CrossRef] [PubMed]
- Bintintan, V.B.; Thomas, C.L.P.; Ratiu, I.A. Sensors’ array of aspiration ion mobility spectrometer as a tool for bacteria discrimination. Talanta 2020, 206. [Google Scholar] [CrossRef] [PubMed]
- Ratiu, I.A.; Ligor, T.; Bocos-Bintintan, V.; Al-Suod, H.; Kowalkowski, T.; Rafińska, K.; Buszewski, B. The effect of growth medium on an Escherichia coli pathway mirrored into GC/MS profiles. J. Breath Res. 2017, 11. [Google Scholar] [CrossRef]
- Ratiu, I.A.; Plugaru, V.R.; Pomastowski, F.; Milanowski, M.; Mametov, R.; Bocos-Bintintan, V.; Buszewski, B. Temporal influence of different antibiotics onto the inhibition of Escherichia coli bacterium grown in different media. Anal. Biochem. 2019, 585, 113407. [Google Scholar] [CrossRef]
- Uralcan, B.; Aksay, I.A.; Debenedetti, P.G.; Limmer, D.T. Concentration Fluctuations and Capacitive Response in Dense Ionic Solutions. J. Phys. Chem. Lett. 2016, 7, 2333–2338. [Google Scholar] [CrossRef]
- Lasia, A. Electrochemical impedance spectroscopy and its applications. In Modern Aspects of Electrochemistry; Springer: Berlin/Heidelberg, Germany, 2002; pp. 143–248. [Google Scholar] [CrossRef]
- Manjakkal, L.; Djurdjic, E.; Cvejin, K.; Kulawik, J.; Zaraska, K.; Szwagierczak, D. Electrochemical Impedance Spectroscopic Analysis of RuO2 Based Thick Film pH Sensors. Electrochim. Acta 2015, 168, 246–255. [Google Scholar] [CrossRef]
- Yates, D.E.; Levine, S.; Healy, T.W. Site-binding model of the electrical double layer at the oxide/water interface. J. Chem. Soc. Faraday Trans. 1974, 70, 1807–1818. [Google Scholar] [CrossRef]
- Kurzweil, P. Metal Oxides and Ion-Exchanging Surfaces as pH Sensors in Liquids: State-of-the-Art and Outlook. Sensors 2009, 9, 4955–4985. [Google Scholar] [CrossRef]
- Firstenberg-Eden, R.; Zindulis, J. Electrochemical changes in media due to microbial. J. Microbiol. Methods 1984, 2, 103–115. [Google Scholar] [CrossRef]
- Brosel-Oliu, S.; Uria, N.; Abramova, N.; Bratov, A. Impedimetric Sensors for Bacteria Detection; IntechOpen Limited: London, UK, 2015. [Google Scholar]
- McBirney, S.E.; Trinh, K.; Wong-Beringer, A.; Armani, A.M. Wavelength-normalized spectroscopic analysis of Staphylococcus aureus and Pseudomonas aeruginosa growth rates. Biomed. Opt. Express 2016, 7, 4034–4042. [Google Scholar] [CrossRef]
- Silhavy, T.J.; Kahne, D.; Walker, S. The bacterial cell envelope. CSH Perspect. Biol. 2010, 2, a000414. [Google Scholar] [CrossRef]
- Van Wely, K.H.; Swaving, J.; Freudl, R.; Driessen, A.J. Translocation of proteins across the cell envelope of Gram-positive bacteria. FEMS Microbial. Rev. 2001, 25, 437–454. [Google Scholar] [CrossRef]
- Anne, J.; Vrancken, K.; Mellaert, L.V.; Impe, J.V.; Bernaerts, K. Protein secretion biotechnology in Gram-positive bacteria with special emphasis on Streptomyces lividans. Biochim. Biophys. Acta 2014, 1843, 1750–1761. [Google Scholar] [CrossRef]
- Esteban-Ferrer, D.; Edwards, M.A.; Fumagalli, L.; Juárez, A.; Gomila, G. Electric polarization properties of single bacteria measured with electrostatic force microscopy. ACS Nano 2014, 8, 9843–9849. [Google Scholar] [CrossRef]
- Ratiu, I.A.; Bocos-Bintintan, V.; Patrut, A.; Moll, V.H.; Turner, M.; Thomas, C.P. Discrimination of bacteria by rapid sensing their metabolic volatiles using an aspiration-type ion mobility spectrometer (a-IMS) and gas chromatography-mass spectrometry GC-MS. Anal. Chim. Acta 2017, 982, 209–217. [Google Scholar] [CrossRef]









| Pathogen System | Rct (Ω) | Rs (Ω) | ||
|---|---|---|---|---|
| Day I | Day II | Day I | Day II | |
| P. aeruginosa | 0.21 | 0.10 | 20.45 | 18.28 |
| S. aureus | 0.091 | 0.084 | 12.83 | 11.68 |
Publisher’s Note: MDPI stays neutral with regard to jurisdictional claims in published maps and institutional affiliations. |
© 2020 by the authors. Licensee MDPI, Basel, Switzerland. This article is an open access article distributed under the terms and conditions of the Creative Commons Attribution (CC BY) license (http://creativecommons.org/licenses/by/4.0/).
Share and Cite
Chandran Mukkattu Kuniyil, A.; Zavašnik, J.; Cvejić, Ž.; Sarang, S.; Simić, M.; Srdić, V.V.; Stojanović, G.M. Performances and Biosensing Mechanisms of Interdigitated Capacitive Sensors Based on the Hetero-mixture of SnO2 and In2O3. Sensors 2020, 20, 6323. https://doi.org/10.3390/s20216323
Chandran Mukkattu Kuniyil A, Zavašnik J, Cvejić Ž, Sarang S, Simić M, Srdić VV, Stojanović GM. Performances and Biosensing Mechanisms of Interdigitated Capacitive Sensors Based on the Hetero-mixture of SnO2 and In2O3. Sensors. 2020; 20(21):6323. https://doi.org/10.3390/s20216323
Chicago/Turabian StyleChandran Mukkattu Kuniyil, Akhil, Janez Zavašnik, Željka Cvejić, Sohail Sarang, Mitar Simić, Vladimir V. Srdić, and Goran M. Stojanović. 2020. "Performances and Biosensing Mechanisms of Interdigitated Capacitive Sensors Based on the Hetero-mixture of SnO2 and In2O3" Sensors 20, no. 21: 6323. https://doi.org/10.3390/s20216323
APA StyleChandran Mukkattu Kuniyil, A., Zavašnik, J., Cvejić, Ž., Sarang, S., Simić, M., Srdić, V. V., & Stojanović, G. M. (2020). Performances and Biosensing Mechanisms of Interdigitated Capacitive Sensors Based on the Hetero-mixture of SnO2 and In2O3. Sensors, 20(21), 6323. https://doi.org/10.3390/s20216323

