Deep Learning Correction Algorithm for The Active Optics System
Abstract
1. Introduction
2. Materials and Methods
2.1. Experimental Materials and Data Collection
2.1.1. Simulation Environment
2.1.2. Generation of Datasets
- The same force always produces the same mirror’s deformation, which is independent of the initial shape of the mirror; that is, the displacement of any point of the mirror is linearly related to the force of the actuator.
- The deformations of the mirror conform to the linear superposition of forces.
2.2. Method
2.2.1. The Traditional Correction Algorithm and the DLCA
- The actor network is developed for quickly outputting the correction force to provide a search basis for the strategy unit, which significantly reduces the search time, and the convergence speed of the DLCA is quickened.
- The strategy unit is used to optimize the correction force output by the actor network to achieve higher correction accuracy.
2.2.2. The Actor Network
Forward Propagation Phase
Backward Propagation Phase
2.2.3. The Strategy Unit
2.2.4. The Working Procedure of the DLCA
3. Results
3.1. Determination of Network Parameters and Datasets Update
3.1.1. The Parameters Setting of the Actor Network
3.1.2. The Configuration of the Strategy Unit
3.1.3. Datasets Update
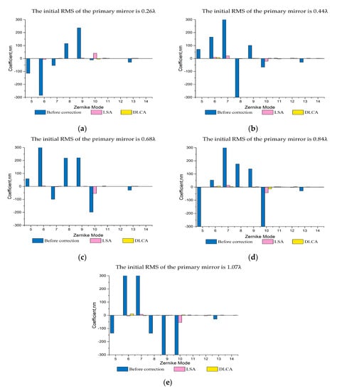
3.2. Comparison of Different Correction Algorithm
4. Discussion
5. Conclusions
Author Contributions
Funding
Conflicts of Interest
References
- Schipani, P.; Noethe, L.; Arcidiacono, C.; Argomedo, J.; Dall’Ora, M.; D’Orsi, S.; Farinato, J.; Magrin, D.; Marty, L.; Ragazzoni, R.; et al. Removing static aberrations from the active optics system of a wide-field telescope. J. Opt. Soc. Am. A 2012, 29, 1359–1366. [Google Scholar] [CrossRef] [PubMed]
- Schipani, P.; Noethe, L.; Magrin, D.; Kuijken, K.; Arcidiacono, C.; Argomedo, J.; Capaccioli, M.; Dall’Ora, M.; D’Orsi, S.; Farinato, J.; et al. Active optics system of the VLT Survey Telescope. Appl. Opt. 2016, 55, 1573–1583. [Google Scholar] [CrossRef] [PubMed]
- Cross, N.J.G.; Collins, R.S.; Mann, R.G.; Read, M.A.; Sutorius, E.T.W.; Blake, R.P.; Holliman, M.; Hambly, N.; Emerson, J.P.; Lawrence, A.; et al. The VISTA Science Archive. Astron. Astrophys. 2012, 548, A119. [Google Scholar] [CrossRef]
- Thomas, S.J.; Xin, B.; Tsai, T.-W.; Contaxis, C.; Claver, C.; Lotz, P.; Neill, D. The LSST real-time active optics system. In Proceedings of the 5th Adaptive Optics for Extremely Large Telescopes (AO4ELT 2017), Tenerife, Spain, 25–30 June 2017. [Google Scholar] [CrossRef]
- Wang, H.; Liang, M.; Yao, D.; Zuo, Y.; Zheng, X.; Yang, J. Study on the application of the free-vibration modes of an annular mirror in the active optics system. J. Astron. Telesc. Instrum. Syst. 2020, 6. [Google Scholar] [CrossRef]
- Hosoya, N.; Niikura, T.; Hashimura, S.; Kajiwara, I.; Giorgio-Serchi, F. Axial force measurement of the bolt/nut assemblies based on the bending mode shape frequency of the protruding thread part using ultrasonic modal analysis. J. Int. Meas. Confed. 2020, 162, 107914. [Google Scholar] [CrossRef]
- Dolkens, D.; Van Marrewijk, G.; Kuiper, H. Active correction system of a deployable telescope for earth observation. In Proceedings of the International Conference on Space Optics (ICSO 2018), Chania, Greece, 9–12 October 2018. [Google Scholar] [CrossRef]
- Chen, F.; Zhang, J.; Wu, X.; Sun, J.; Cong, J. Deformation of thin primary mirror fitted with its vibration mode. Infrared Laser Eng. 2011, 40, 2238–2243. [Google Scholar]
- Zhu, Y.; Chen, T.; Wang, J.-L.; Li, H.-Z.; Wu, X.-X. Active correction of 1.23 m SiC mirror using bending mode. Opt. Precis. Eng. 2017, 25, 2551–2563. [Google Scholar] [CrossRef]
- Han, Y.; Fan, B.; Li, C.; Liu, H. Analysis of surface error correction capability of 1.2m active support system. In Proceedings of the 8th International Symposium on Advanced Optical Manufacturing and Testing Technology (AOMATT2016), Suzhou, China, 26–29 April 2016; p. 96820Q. [Google Scholar] [CrossRef]
- Dai, X.; Xian, H.; Tang, J.; Zhang, Y. Active correction experiment on a 12 m thin primary mirror. J. Opt. Technol. 2019, 86, 341–349. [Google Scholar] [CrossRef]
- Zhou, P.; Zhang, D.; Liu, G.; Yan, C. Development of space active optics for a whiffletree supported mirror. Appl. Opt. 2019, 58, 5740–5747. [Google Scholar] [CrossRef]
- Schwaer, C.; Sinn, A.; Schitter, G. Mechatronic approach towards lightweight mirrors with active optics for telescope systems. In Proceedings of the 8th IFAC Symposium on Mechatronic Systems (MECHATRONICS), Vienna, Austria, 4–6 September 2019; pp. 7–12. [Google Scholar] [CrossRef]
- Ashraf, I.; Hur, S.; Park, S.; Park, Y. DeepLocate: Smartphone Based Indoor Localization with a Deep Neural Network Ensemble Classifier. Sensors 2019, 20, 133. [Google Scholar] [CrossRef]
- Cho, H.; Lee, H. Biomedical named entity recognition using deep neural networks with contextual information. BMC Bioinform. 2019, 20, 1–11. [Google Scholar] [CrossRef] [PubMed]
- Guo, H.; Xu, Y.; Li, Q.; Du, S.; He, D.; Wang, Q.; Huang, Y. Improved Machine Learning Approach for Wavefront Sensing. Sensors 2019, 19, 3533. [Google Scholar] [CrossRef] [PubMed]
- Hegde, R.S. Accelerating optics design optimizations with deep learning. Opt. Eng. 2019, 58, 58. [Google Scholar] [CrossRef]
- Gómez, S.L.S.; González-Gutiérrez, C.; Riesgo, F.G.; Lasheras, F.S.; Lasheras, F.S.; Rodríguez, J.D.S. Convolutional Neural Networks Approach for Solar Reconstruction in SCAO Configurations. Sensors 2019, 19, 2233. [Google Scholar] [CrossRef] [PubMed]
- Xu, Z.; Yang, P.; Ke, H.; Xu, B.; Li, H. Deep learning control model for adaptive optics systems. Appl. Opt. 2019, 58, 1998–2009. [Google Scholar] [CrossRef]
- Xu, Y.; Zhao, Q.; Li, J.; Jiao, C. Simulation Analysis of Large-Aperture Standard Planar Mirror Based on Active Correction. Available online: https://kns.cnki.net/kcms/detail/detail.aspx?dbcode=CJFD&dbname=CJFDLAST2019&filename=JGHW201902018&v=pm7dIz7lJJR5uc%25mmd2BWJQ48EJCtMf6nH7TRua7n4bUgG4ircbxWsFb1QjgWPqeI1RfM (accessed on 9 November 2020). (In Chinese).
- Li, H.; Zhang, J.; Zhang, Z.; Wang, H.; Wang, M. Correction experiment of 620 m thin mirror active optics telescope. Infrared Laser Eng. 2014, 43, 166–172. [Google Scholar]
- Raimondi, L.; Manfredda, M.; Mahne, N.; Cocco, D.; Capotondi, F.; Pedersoli, E.; Kiskinova, M.; Zangrando, M. Kirkpatrick–Baez active optics system at FERMI: System performance analysis. J. Synchrotron Radiat. 2019, 26, 1462–1472. [Google Scholar] [CrossRef]
- Spiga, D.; Barbera, M.; Basso, S.; Civitani, M.; Collura, A.; Dell’Agostino, S.; Lo Cicero, U.; Lullo, G.; Pelliciari, C.; Riva, M.; et al. Active shape correction of a thin glass/plastic X-ray mirror. In Proceedings of the SPIE Optical Engineering + Applications: Adaptive X-ray Optics III, San Diego, CA, USA, 17–21 August 2014; p. 92080A. [Google Scholar] [CrossRef]
- Lecun, Y.; Bengio, Y.; Hinton, G. Deep learning. Nature 2015, 521, 436–444. [Google Scholar] [CrossRef]
- Duchanoy, C.A.; Moreno-Armendáriz, M.A.; Moreno-Torres, J.C.; Cruz-Villar, C.A. A Deep Neural Network Based Model for a Kind of Magnetorheological Dampers. Sensors 2019, 19, 1333. [Google Scholar] [CrossRef]
- Guo, L.-X.; Dao, D.-N. A new control method based on fuzzy controller, time delay estimation, deep learning, and non-dominated sorting genetic algorithm-III for powertrain mount system. J. Vib. Control. 2019, 26, 1187–1198. [Google Scholar] [CrossRef]
- Yoon, K.; Kim, D.Y.; Yoon, Y.-C.; Jeon, M. Data Association for Multi-Object Tracking via Deep Neural Networks. Sensors 2019, 19, 559. [Google Scholar] [CrossRef] [PubMed]
- Kingma, D.P.; Ba, J.L. Adam: A method for stochastic optimization. In Proceedings of the 3rd International Conference on Learning Representations (ICLR 2015), San Diego, CA, USA, 7–9 May 2015. [Google Scholar]
- Lopes, F.F.; Ferreira, J.C.; Fernandes, M.A.C. Parallel Implementation on FPGA of Support Vector Machines Using Stochastic Gradient Descent. Electronics 2019, 8, 631. [Google Scholar] [CrossRef]
- Guo, X.; Zhang, J.; Tie, L.; Luo, M. HS-SA-Based Precise Modeling of the Aircraft Fuel Center of Gravity Using Sensors Data. Sensors 2019, 19, 2457. [Google Scholar] [CrossRef] [PubMed]
- Guo, J.; Yuan, W.; Dang, X.; Alam, M.S. Cable force optimization of a curved cable-stayed bridge with combined simulated annealing method and cubic B-Spline interpolation curves. Eng. Struct. 2019, 201, 109813. [Google Scholar] [CrossRef]
- Feng, Y.; Zhou, M.; Tian, G.; Li, Z.; Zhang, Z.; Zhang, Q.; Tan, J. Target Disassembly Sequencing and Scheme Evaluation for CNC Machine Tools Using Improved Multiobjective Ant Colony Algorithm and Fuzzy Integral. IEEE Trans. Syst. Man Cybern. Syst. 2018, 49, 2438–2451. [Google Scholar] [CrossRef]
- Sun, G.-C.; Xiang, J.; Xing, M.; Yang, J.; Guo, L. A Channel Phase Error Correction Method Based on Joint Quality Function of GF-3 SAR Dual-Channel Images. Sensors 2018, 18, 3131. [Google Scholar] [CrossRef]
- Yan, C.; Li, M.X.; Liu, W. Application of Improved Genetic Algorithm in Function Optimization. J. Inf. Sci. Eng. 2019, 35, 1299–1309. [Google Scholar] [CrossRef]
- Ningombam, D.D.; Shin, S. Optimal Resource Management and Binary Power Control in Network-Assisted D2D Communications for Higher Frequency Reuse Factor. Sensors 2019, 19, 251. [Google Scholar] [CrossRef]
- Larik, A.; Haider, S. A framework based on evolutionary algorithm for strategy optimization in robot soccer. Soft Comput. 2018, 23, 7287–7302. [Google Scholar] [CrossRef]
- Qiu, J.; Liu, M.; Zhang, L.; Li, W.; Cheng, F. A multi-level knee point based multi-objective evolutionary algorithm for AUC maximization. Memetic Comput. 2019, 11, 285–296. [Google Scholar] [CrossRef]
- Yang, F.; Ren, H.; Hu, Z. Maximum Likelihood Estimation for Three-Parameter Weibull Distribution Using Evolutionary Strategy. Math. Probl. Eng. 2019, 2019, 1–8. [Google Scholar] [CrossRef]
- Yadav, S.; Shukla, S. Analysis of k-Fold Cross-Validation over Hold-Out Validation on Colossal Datasets for Quality Classification. In Proceedings of the 2016 IEEE 6th International conference on advanced computing (IACC), Bhimavaram, India, 27–28 February 2016; pp. 78–83. [Google Scholar] [CrossRef]









| Name | Parameter |
|---|---|
| Diameter | 1000 mm |
| Thickness | 80 mm |
| Radius of Curvature | 4000 mm |
| Material | K9 Glass |
| Mass | 174.445 kg |
| FC1 Nodes | FC2 Nodes | FC3 Nodes | FC4 Nodes | FC5 Nodes | Activation Functions | Optimizer | Learning Rate |
|---|---|---|---|---|---|---|---|
| 65 | 145 | 200 | 120 | 21 | ReLU | Adam | 0.001 |
| Method. | Before Correction | After Correction | Correction Times |
|---|---|---|---|
| LSA | 0.26 | 0.05 | 3 |
| DLCA | 0.26 | 0.01 | 1 |
| LSA | 0.44 | 0.05 | 4 |
| DLCA | 0.44 | 0.01 | 1 |
| LSA | 0.68 | 0.06 | 4 |
| DLCA | 0.68 | 0.01 | 1 |
| LSA | 0.84 | 0.05 | 5 |
| DLCA | 0.84 | 0.02 | 2 |
| LSA | 1.07 | 0.06 | 6 |
| DLCA | 1.07 | 0.02 | 2 |
Publisher’s Note: MDPI stays neutral with regard to jurisdictional claims in published maps and institutional affiliations. |
© 2020 by the authors. Licensee MDPI, Basel, Switzerland. This article is an open access article distributed under the terms and conditions of the Creative Commons Attribution (CC BY) license (http://creativecommons.org/licenses/by/4.0/).
Share and Cite
Li, W.; Kang, C.; Guan, H.; Huang, S.; Zhao, J.; Zhou, X.; Li, J. Deep Learning Correction Algorithm for The Active Optics System. Sensors 2020, 20, 6403. https://doi.org/10.3390/s20216403
Li W, Kang C, Guan H, Huang S, Zhao J, Zhou X, Li J. Deep Learning Correction Algorithm for The Active Optics System. Sensors. 2020; 20(21):6403. https://doi.org/10.3390/s20216403
Chicago/Turabian StyleLi, Wenxiang, Chao Kang, Hengrui Guan, Shen Huang, Jinbiao Zhao, Xiaojun Zhou, and Jinpeng Li. 2020. "Deep Learning Correction Algorithm for The Active Optics System" Sensors 20, no. 21: 6403. https://doi.org/10.3390/s20216403
APA StyleLi, W., Kang, C., Guan, H., Huang, S., Zhao, J., Zhou, X., & Li, J. (2020). Deep Learning Correction Algorithm for The Active Optics System. Sensors, 20(21), 6403. https://doi.org/10.3390/s20216403

