A Novel Reconstruction Method for Measurement Data Based on MTLS Algorithm
Abstract
1. Introduction
2. The Introduction of the Basic Theory
2.1. MLS Method
2.2. MTLS Method
3. Proposed MTLTS Method
3.1. LTS Method
3.2. MTLTS Method
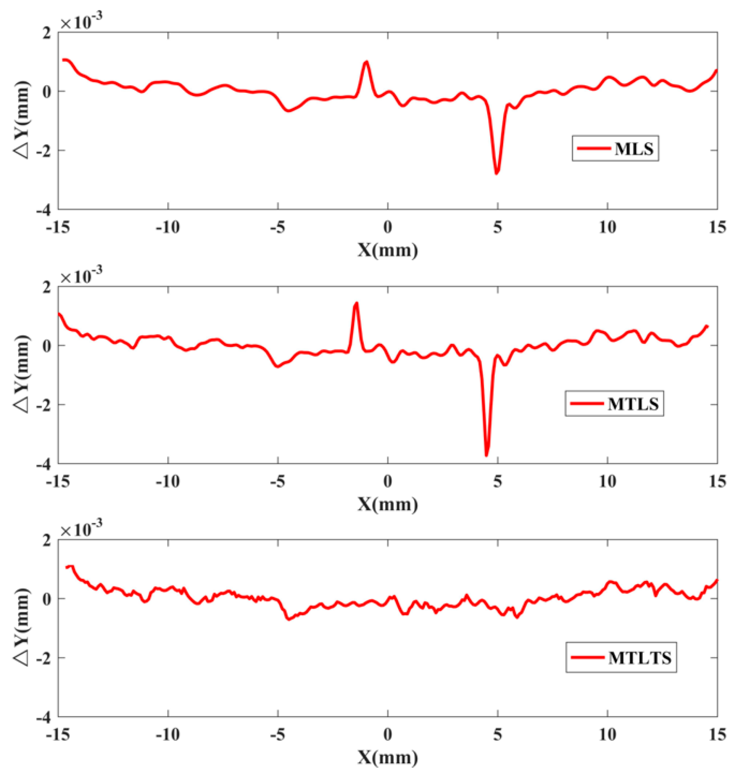
4. Case Study
4.1. Case 1
4.2. Case 2
4.3. Case 3
5. Conclusions
Author Contributions
Funding
Conflicts of Interest
References
- Wang, B.Y. A local meshless method based on moving least squares and local radial basis functions. Eng. Anal. Bound. Elem. 2015, 50, 395–401. [Google Scholar] [CrossRef]
- Li, X.L.; Li, S.L. Improved complex variable moving least squares approximation for three-dimensional problems using boundary integral equations. Eng. Anal. Bound. Elem. 2017, 84, 25–34. [Google Scholar] [CrossRef]
- Li, X.L. Meshless Galerkin algorithms for boundary integral equations with moving least square approximations. Appl. Numer. Math. 2011, 61, 1237–1256. [Google Scholar] [CrossRef]
- Gu, T.Q.; Tu, Y.; Tang, D.W.; Lin, S.W.; Fang, B. A trimmed moving total least squares method for curve and surface fitting. Meas. Sci. Technol. 2020, 31, 045003. [Google Scholar] [CrossRef]
- Salehi, R.; Dehghan, M. A moving least square reproducing polynomial meshless method. Appl. Numer. Math. 2013, 69, 34–58. [Google Scholar] [CrossRef]
- Huang, Z.T.; Lei, D.; Huang, D.W.; Lin, J.; Han, Z. Boundary moving least square method for 2D elasticity problems. Eng. Anal. Bound. Elem. 2019, 106, 505–512. [Google Scholar] [CrossRef]
- Yeahwon, K.; Hohyung, R.; Sunmi, L.; Yeon, J.L. Joint Demosaicing and Denoising Based on Interchannel Nonlocal Mean Weighted Moving Least Squares Method. Sensors 2020, 20, 4697. [Google Scholar]
- Amirfakhrian, M.; Mafikandi, H. Approximation of parametric curves by Moving Least Squares method. Appl. Math. Comput. 2016, 283, 290–298. [Google Scholar] [CrossRef]
- Wang, H.Y. Concentration estimates for the moving least-square method in learning theory. J. Approx. Theory 2011, 163, 1125–1133. [Google Scholar] [CrossRef]
- Liu, W.; Wang, B.Y. A modified approximate method based on Gaussian radial basis functions. Eng. Anal. Bound. Elem. 2019, 100, 256–264. [Google Scholar] [CrossRef]
- Dabboura, E.; Sadat, H.; Prax, C. A moving least squares meshless method for solving the generalized Kuramoto-Sivashinsky equation. Alex. Eng. J. 2016, 55, 2783–2787. [Google Scholar] [CrossRef][Green Version]
- Lee, I.K. Curve reconstruction from unorganized points. Comput. Aided Geom. Des. 2000, 17, 161–177. [Google Scholar] [CrossRef]
- Belytschko, T.; Lu, Y.Y.; Gu, L. Element-free Galerkin methods. Int. J. Numer. Meth. Eng. 1994, 37, 229–256. [Google Scholar] [CrossRef]
- Li, X.L.; Dong, H.Y. Analysis of the element-free Galerkin method for Signorini problems. Appl. Math. Comput. 2019, 346, 41–56. [Google Scholar] [CrossRef]
- Wang, Q.; Zhou, W.; Feng, Y.T.; Ma, G.; Cheng, Y.G.; Chang, X.L. An adaptive orthogonal improved interpolating moving least-square method and a new boundary element-free method. Appl. Math. Comput. 2019, 353, 347–370. [Google Scholar] [CrossRef]
- Wang, J.F.; Sun, F.X.; Cheng, Y.M.; Huang, A.X. Error estimates for the interpolating moving least-squares method. Appl. Math. Comput. 2014, 245, 321–342. [Google Scholar] [CrossRef]
- Yu, S.Y.; Peng, M.J.; Cheng, H.; Cheng, Y.M. The improved element-free Galerkin method for three-dimensional elastoplasticity problems. Eng. Anal. Bound. Elem. 2019, 104, 215–224. [Google Scholar] [CrossRef]
- Salehi, R.; Dehghan, M. A generalized moving least square reproducing kernel method. J. Comput. Appl. Math. 2013, 249, 120–132. [Google Scholar] [CrossRef]
- Shokri, A.; Bahmani, E. Direct meshless local Petrov–Galerkin (DMLPG) method for 2D complex Ginzburg–Landau equation. Eng. Anal. Bound. Elem. 2019, 100, 195–203. [Google Scholar] [CrossRef]
- Ren, H.P.; Cheng, J.; Huang, A.X. The complex variable interpolating moving least-squares method. Appl. Math. Comput. 2012, 219, 1724–1736. [Google Scholar] [CrossRef]
- Mirzaei, D. Analysis of moving least squares approximation revisited. J. Comput. Appl. Math. 2015, 282, 237–250. [Google Scholar] [CrossRef]
- Ding, S.J.; Jiang, W.P.; Shen, Z.J. Linear-regression models and algorithms based on the Total-Least-Squares principle. Geod. Geodyn. 2012, 3, 42–46. [Google Scholar]
- Keksel, A.; Ströer, F.; Seewig, J. Bayesian approach for circle fitting including prior knowledge. Surf. Topogr. Metrol. 2018, 6, 035002. [Google Scholar] [CrossRef]
- Fan, T.L.; Feng, H.Q.; Guo, G. Joint detection based on the total least squares. Procedia Comput. Sci. 2018, 131, 167–176. [Google Scholar] [CrossRef]
- Markovsky, I.; Huffel, S.V. Overview of total least-squares methods. Signal Process 2007, 87, 2283–2302. [Google Scholar] [CrossRef]
- Scitovski, R.; Ungar, Š.; Jukic, D. Approximating surfaces by moving total least squares method. Appl. Math. Comput. 1998, 93, 219–232. [Google Scholar] [CrossRef]
- Levin, D. Between moving least-squares and moving least- ℓ1. BIT Numer. Math. 2015, 55, 781–796. [Google Scholar] [CrossRef]
- Ohlídal, I.; Vohánka, J.; Čermák, M.; Franta, D. Combination of spectroscopic ellipsometry and spectroscopic reflectometry with including light scattering in the optical characterization of randomly rough silicon surfaces covered by native oxide layers. Surf. Topogr. Metrol. Prop. 2019, 7, 45004. [Google Scholar] [CrossRef]
- Onoz, B.; Oguz, B. Assessment of Outliers in Statistical Data Analysis. Integr. Technol. Environ. Monit. Inf. Prod. 2003, 23, 173–180. [Google Scholar]
- Wang, C.; Caja, J.; Gómez, E. Comparison of methods for outlier identification in surface characterization. Measurement 2018, 117, 312–325. [Google Scholar] [CrossRef]
- Zhang, L.; Cheng, X.; Wang, L. Ellipse-fitting algorithm and adaptive threshold to eliminate outliers. Surv. Rev. 2019, 366, 250–256. [Google Scholar] [CrossRef]
- Wen, W.; Hao, Z.F.; Yang, X.W. Robust least squares support vector machine based on recursive outlier elimination. Soft Comput. 2010, 14, 1241–1251. [Google Scholar] [CrossRef]
- Yang, S.Y.; Qin, H.B.; Liang, X.L.; Thomas, A.G. An Improved Unauthorized Unmanned Aerial Vehicle Detection Algorithm Using Radiofrequency-Based Statistical Fingerprint Analysis. Sensors 2019, 19, 274. [Google Scholar] [CrossRef] [PubMed]
- Wang, P.; Lu, Z.Z.; Tang, Z.C. Importance measure analysis with epistemic uncertainty and its moving least squares solution. Comput. Math. Appl. 2013, 66, 460–471. [Google Scholar] [CrossRef]
- Wang, Q.; Zhou, W.; Cheng, Y.G.; Ma, G.; Chang, X.L.; Miao, Y.; Chen, E. Regularized moving least-square method and regularized improved interpolating moving least-square method with nonsingular moment matrices. Appl. Math. Comput. 2018, 325, 120–145. [Google Scholar] [CrossRef]
- Taflanidis, A.A.; Cheung, S. Stochastic sampling using moving least squares response surface approximations. Probab. Eng. Mech. 2012, 28, 216–224. [Google Scholar] [CrossRef]
- Spandan, V.; Lohse, D.; de Tullio, M.D.; Verzicco, R. A fast moving least squares approximation with adaptive Lagrangian mesh refinement for large scale immersed boundary simulations. J. Comput. Phys. 2018, 375, 228–239. [Google Scholar] [CrossRef]
- Gu, T.Q.; Ji, S.J.; Lin, S.W.; Luo, T.Z. Curve and surface reconstruction method for measurement data. Measurement 2016, 78, 278–282. [Google Scholar] [CrossRef]
- Li, X.F.; Coyle, D.; Maguire, L.; McGinnity, T.M. A Least Trimmed Square Regression Method for Second Level fMRI Effective Connectivity Analysis. Neuroinformatics 2013, 11, 105–118. [Google Scholar] [CrossRef]
- Rousseeuw, P.J. Least Median of Squares Regression. J. Am. Stat. Assoc. 1984, 79, 871–880. [Google Scholar] [CrossRef]
- Roozbeh, M.; Babaie-Kafaki, S.; Sadigh, A.N. A heuristic approach to combat multicollinearity in least trimmed squares regression analysis. Appl. Math. Model. 2018, 57, 105–120. [Google Scholar] [CrossRef]
- Čížek, P. Reweighted least trimmed squares: An alternative to one-step estimators. Test 2013, 22, 514–533. [Google Scholar] [CrossRef]
- Mount, D.M.; Netanyahu, N.S.; Piatko, C.D.; Silverman, R.; Wu, A.Y. On the Least Trimmed Squares Estimator. Algorithmica 2014, 69, 148–183. [Google Scholar] [CrossRef]














| Variance | s | |||
|---|---|---|---|---|
| δj | ɛj | MLS | MTLS | MTLTS |
| 0.000001 | 0.001 | 5.361290 | 4.942031 | 0.830636 |
| 0.00001 | 0.001 | 5.360357 | 4.941088 | 0.829239 |
| 0.0001 | 0.001 | 5.360257 | 4.940890 | 0.829474 |
| 0.001 | 0.001 | 5.364536 | 4.951253 | 0.844504 |
| 0.001 | 0.0001 | 5.361439 | 4.944982 | 0.838307 |
| 0.001 | 0.00001 | 5.363066 | 4.947494 | 0.838965 |
| 0.001 | 0.000001 | 5.362450 | 4.947406 | 0.839584 |
| Variance | RMS | |||
|---|---|---|---|---|
| δj | ɛj | MLS | MTLS | MTLTS |
| 0.000001 | 0.001 | 0.041089 | 0.046397 | 0.005262 |
| 0.00001 | 0.001 | 0.041040 | 0.046296 | 0.005187 |
| 0.0001 | 0.001 | 0.041022 | 0.046294 | 0.005258 |
| 0.001 | 0.001 | 0.041020 | 0.046289 | 0.005256 |
| 0.001 | 0.0001 | 0.041011 | 0.045915 | 0.005300 |
| 0.001 | 0.00001 | 0.040943 | 0.046178 | 0.005124 |
| 0.001 | 0.000001 | 0.041071 | 0.046482 | 0.005138 |
| Variance | s | |||
|---|---|---|---|---|
| δj | ɛj | MLS | MTLS | MTLTS |
| 0.000001 | 0.001 | 2.380559 | 2.595104 | 0.959207 |
| 0.00001 | 0.001 | 2.383201 | 2.601161 | 0.960295 |
| 0.0001 | 0.001 | 2.385662 | 2.602565 | 0.959230 |
| 0.001 | 0.001 | 2.449716 | 2.695886 | 1.025807 |
| 0.001 | 0.0001 | 2.269477 | 2.373187 | 0.724637 |
| 0.001 | 0.00001 | 2.274174 | 2.556756 | 0.735747 |
| 0.001 | 0.000001 | 2.264168 | 2.360344 | 0.721755 |
| Variance | s | |||
|---|---|---|---|---|
| δj | ɛj | MLS | MTLS | MTLTS |
| 0.000001 | 0.001 | 1.447804 | 0.802516 | 0.793830 |
| 0.00001 | 0.001 | 1.447193 | 0.801830 | 0.792997 |
| 0.0001 | 0.001 | 1.448305 | 0.803013 | 0.794529 |
| 0.001 | 0.001 | 1.452026 | 0.811992 | 0.807419 |
| 0.001 | 0.0001 | 1.450294 | 0.808405 | 0.802493 |
| 0.001 | 0.00001 | 1.448076 | 0.806652 | 0.800710 |
| 0.001 | 0.000001 | 1.449720 | 0.807843 | 0.801968 |
| Number of the Points | The CPU-Times (s) | ||
|---|---|---|---|
| MLS | MTLS | MTLTS | |
| 201 | 0.1560 | 0.0156 | 0.9516 |
| 501 | 1.5288 | 0.0312 | 2.7300 |
| 1001 | 5.2728 | 0.0780 | 3.2136 |
| 2001 | 16.0369 | 0.2496 | 5.0388 |
| Curve Fitting | MLS | MTLS | MTLTS () | MTLTS () | MTLTS () | MTLTS () | |
|---|---|---|---|---|---|---|---|
| Linear Regression | |||||||
| TLS | 503 | 581 | 448 | 443 | 431 | 428 | |
| TLTS () | 549 | 633 | 459 | 442 | 428 | 427 | |
| TLTS () | 558 | 642 | 469 | 445 | 434 | 430 | |
| TLTS () | 586 | 670 | 496 | 453 | 451 | 437 | |
| TLTS () | 591 | 675 | 513 | 464 | 459 | 439 | |
| Methods | PV Values (nm) |
|---|---|
| MLS | 3348 |
| MTLS | 3392 |
| MTLTS | 2705 |
Publisher’s Note: MDPI stays neutral with regard to jurisdictional claims in published maps and institutional affiliations. |
© 2020 by the authors. Licensee MDPI, Basel, Switzerland. This article is an open access article distributed under the terms and conditions of the Creative Commons Attribution (CC BY) license (http://creativecommons.org/licenses/by/4.0/).
Share and Cite
Gu, T.; Hu, C.; Tang, D.; Luo, T. A Novel Reconstruction Method for Measurement Data Based on MTLS Algorithm. Sensors 2020, 20, 6449. https://doi.org/10.3390/s20226449
Gu T, Hu C, Tang D, Luo T. A Novel Reconstruction Method for Measurement Data Based on MTLS Algorithm. Sensors. 2020; 20(22):6449. https://doi.org/10.3390/s20226449
Chicago/Turabian StyleGu, Tianqi, Chenjie Hu, Dawei Tang, and Tianzhi Luo. 2020. "A Novel Reconstruction Method for Measurement Data Based on MTLS Algorithm" Sensors 20, no. 22: 6449. https://doi.org/10.3390/s20226449
APA StyleGu, T., Hu, C., Tang, D., & Luo, T. (2020). A Novel Reconstruction Method for Measurement Data Based on MTLS Algorithm. Sensors, 20(22), 6449. https://doi.org/10.3390/s20226449

