Detection and Speed Estimation of Moving Target Based on Phase Compensation and Coherent Accumulation Using Fractional Fourier Transform
Abstract
1. Introduction
2. Signal Model
3. Proposed Algorithm for Target Detection and Speed Estimation
3.1. Fractional Fourier Transform
3.2. FRFT of Target Echo
3.3. Phase Compensation and Coherent Accumulation
3.4. Target Detection and Speed Estimation Algorithm
- (1)
- Receive m continuous echoes , , and obtain by down-conversion.
- (2)
- According to Equation (16), calculate the optimal rotation angle and apply the order FRFT to the echoes.
- (3)
- Set the range of target speed , where is predefined to represent the maximum speed of the targets. Calculate the number of accumulated pulses under speed according to Equation (31) and compensation factor according to Equation (23).
- (4)
- Compensate for the FRFT results via factor and then apply coherent accumulation according to Equation (32).
- (5)
- Detect the moving target using CFAR detection and peak search. Estimate the speed of the target according to the speed coordinate in the u–v diagram.
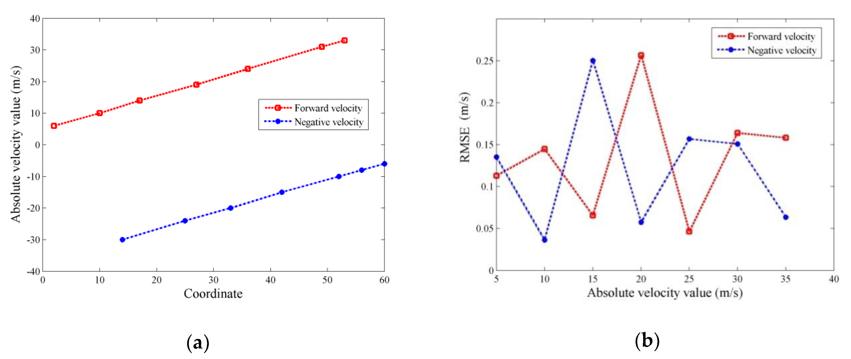
4. Numerical Simulations
5. Evaluation on Measured Data
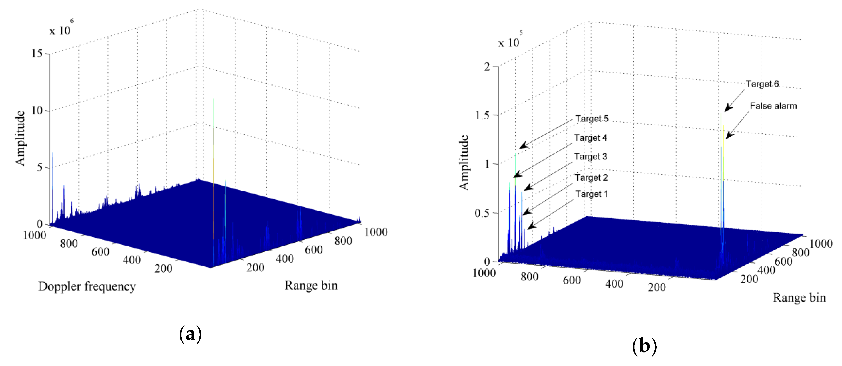
5.1. Ground Vehicle Detection
5.2. In-Flight UAV Detection
6. Conclusions
Author Contributions
Funding
Acknowledgments
Conflicts of Interest
References
- Huang, R.; Du, X.-Y.; Hu, W.-D. UAV target detection and parameter estimation in non-homogeneous clutter. J. Eng. 2019, 2019, 6750–6754. [Google Scholar] [CrossRef]
- Zhou, C.; Liu, Y.; Song, Y. Detection and Tracking of a UAV via Hough Transform. In Proceedings of the 2016 CIE International Conference on Radar (RADAR) IEEE, Guangzhou, China, 10–13 October 2016. [Google Scholar]
- Zhang, H.; Cao, C.; Xu, L.; Gulliver, T.A. A UAV detection algorithm based on an artificial neural network. IEEE Access 2018, 6, 24720–24772. [Google Scholar] [CrossRef]
- Patel, J.S.; Fioranelli, F.; Anderson, D. Review of radar classification and RCS characterisation techniques for small UAVs or drones. IET Radar Sonar Navig. 2018, 12, 911–919. [Google Scholar] [CrossRef]
- Sukharevsky, O.; Vasylets, V.; Orlenko, V.; Ryapolov, I. Radar scattering characteristics of a UAV model in X-band. IET Radar Sonar Navig. 2019. [Google Scholar] [CrossRef]
- Xu, J.; Yu, J.; Peng, Y.N.; Xia, X.G. Radon-Fourier transform for radar target detection, I Generalized Doppler filter bank. IEEE Trans. Aerosp. Electron. Syst. 2011, 47, 1186–1202. [Google Scholar] [CrossRef]
- Xu, J.; Yu, J.; Peng, Y.N.; Xia, X.G. Radon-Fourier transform for radar target detection (II): Blind speed sidelobe suppression. IEEE Trans. Aerosp. Electron. Syst. 2011, 47, 2473–2489. [Google Scholar] [CrossRef]
- Li, X.L.; Cui, G.L.; Yi, W.; Kong, L.J. A fast maneuvering target motion parameters estimation algorithm based on ACCF. IEEE Signal Process. Lett. 2015, 22, 270–274. [Google Scholar] [CrossRef]
- Chen, X.L.; Huang, Y.Y.; Liu, N.B.; Guan, J.; He, Y. Radon-Fractional ambiguity function-based detection method of low-observable maneuvering target. IEEE Trans. Aerosp. Electron. Syst. 2015, 51, 815–833. [Google Scholar] [CrossRef]
- Chen, X.L.; Cui, G.L.; Yi, W.; Kong, L.J. Fast coherent integration for maneuvering target with high-order range migration via TRT-SKT-LVD. IEEE Trans. Aerosp. Electron. Syst. 2016, 52, 2803–2814. [Google Scholar]
- Case, E.E.; Zelnio, A.M.; Rigling, B.D. Low-cost Acoustic array for small UAV detection and tracking. In Proceedings of the IEEE National, Aerospace and Electronics Conference, Big Sky, MT, USA, 16–18 August 2008. [Google Scholar]
- Xie, Y.A.; Tao, R. Urban-Security-Oriented Low Slow Small Target Detection. In Proceedings of the 2012 Second International Conference on Instrumentation, Measurement, Computer, Communication and Control, Harbin, China, 8–10 December 2012. [Google Scholar]
- Nguyen, P.; Ravindranatha, M.; Nguyen, A.; Han, R.; Vu, T. Investigating cost-effective RF-based detection of drones. In Proceedings of the 2nd Workshop on Micro Aerial Vehicle Networks, Systems, and Applications for Civilian Use, Singapore, 26 June 2016. [Google Scholar]
- Shin, D.-H.; Jung, D.-H.; Kim, D.-C.; Ham, J.-W.; Park, S.-O. A distributed FMCW radar system based on fiber-optic links for small drone detection. IEEE Trans. Instrum. Meas. 2017, 66, 340–347. [Google Scholar] [CrossRef]
- Kronauge, M.; Rohling, H. New Chirp Sequence Radar Waveform. IEEE Trans. Aerosp. Electron. Syst. 2014, 50, 2870–2877. [Google Scholar] [CrossRef]
- Yu, Q.; Rao, B.; Luo, P. Detection performance analysis of small target under clutter based on LFMCW radar. In Proceedings of the IEEE 3rd International Conference on Signal and Image Processing, Shenzhen, China, 13–15 July 2018. [Google Scholar]
- Caputi, J.W. Strech: A Time-Transformation Technique. IEEE Trans. Aerosp. Electron. Syst. 1971, AES-7, 269–278. [Google Scholar] [CrossRef]
- Chen, X.-L.; Guan, J.; Chen, W.-S.; Zhang, L.; Yu, X.-H. Sparse long-time coherent integration-based detection method for radar low-observable manoeuvring target. IET Radar Sonar Navig. 2019, E-First. [Google Scholar] [CrossRef]
- Guan, J.; Chen, X.-L.; Huang, Y.; He, Y. Adaptive fractional Fourier transform-based detection algorithm for moving target in heavy sea clutter. IET Radar Sonar Navig. 2012, 6, 389–401. [Google Scholar] [CrossRef]
- Liu, S.; Shan, T.; Tao, R.; Zhang, Y.D.; Zhang, G.; Zhang, F.; Wang, Y. Sparse Discrete Fractional Fourier Transform and Its Applications. IEEE Trans. Signal Process. 2014, 62, 6582–6595. [Google Scholar] [CrossRef]
- Liu, S.; Zeng, Z.; Zhang, Y.D.; Fan, T.; Shan, T.; Tao, R. Automatic human fall detection in fractional Fourier domain for assisted living. In Proceedings of the 41st IEEE International Conference on Acoustics, Speech and Signal Processing (ICASSP 2016), Shanghai, China, 20–25 March 2016. [Google Scholar]
- Li, Z.; Santi, F.; Pastina, D.; Lombardo, P. Multi-frame fractional Fourier transform technique for moving target detection with space-based passive radar. IET Radar Sonar Navig. 2017, 11, 822–828. [Google Scholar] [CrossRef]
- Chen, X.; Guan, J.; Liu, N.; He, Y. Maneuvering target detection via radon-fractional Fourier transform-based long-time coherent integration. IEEE Trans. Signal Process. 2014, 62, 939–953. [Google Scholar] [CrossRef]
- Namias, V. The Fractional Order Fourier Transform and its Application to Quantum Mechanics. J. Inst. Maths Applics 1980, 25, 241–265. [Google Scholar] [CrossRef]
- Ma, Y.; Kong, Y. FRFT based on Joint estimation time delay and radial velocity of underwater target. In Proceedings of the 2010 3rd International Congress on Image and Signal Processing (CISP2010), Yantai, China, 16–18 October 2010. [Google Scholar]
- Xu, L.; Zhang, F.; Tao, R. Fractional spectral analysis of randomly sampled signals and applications. IEEE Trans. Instrum. Meas. 2017, 66, 2869–2881. [Google Scholar] [CrossRef]
- Ozaktas, H.M.; Kutay, M.A. The fractional Fourier transform. In Proceeding of the European Control Conference (ECC), Porto, Portugal, 4–7 September 2001. [Google Scholar]
- Ozaktas, H.M.; Arikan, O.; Kutay, M.A.; Bozdagt, G. Digital computation of the fractional Fourier transform. IEEE Trans. Signal Process. 1996, 44, 2141–2150. [Google Scholar] [CrossRef]
- Sun, H.-B.; Liu, -S.G.; Gu, H.; Su, W.-M. Application of Fractional Fourier Transform to moving target detection in airborne SAR. IEEE Trans. Aerosp. Electron. Syst. 2002, 38, 1416–1424. [Google Scholar] [CrossRef]
- Jacob, R.; Thomas, T.; Unnikrishnan, A. Fractional Fourier transform based on chirp detector versus some conventional detectors. In Proceedings of the 2009 International Symposium on Ocean Electronics (SYMPOL 2009), Cochin, India, 18–20 November 2009. [Google Scholar]
- Tao, R.; Deng, B.; Wang, Y. Fractional Fourier Transform and Its Applications; Tsinghua University Press: BeiJing, China, 2009. [Google Scholar]










© 2020 by the authors. Licensee MDPI, Basel, Switzerland. This article is an open access article distributed under the terms and conditions of the Creative Commons Attribution (CC BY) license (http://creativecommons.org/licenses/by/4.0/).
Share and Cite
Yang, J.; Liu, X.; Yang, B.; Lu, J.; Liao, G. Detection and Speed Estimation of Moving Target Based on Phase Compensation and Coherent Accumulation Using Fractional Fourier Transform. Sensors 2020, 20, 1410. https://doi.org/10.3390/s20051410
Yang J, Liu X, Yang B, Lu J, Liao G. Detection and Speed Estimation of Moving Target Based on Phase Compensation and Coherent Accumulation Using Fractional Fourier Transform. Sensors. 2020; 20(5):1410. https://doi.org/10.3390/s20051410
Chicago/Turabian StyleYang, Jian, Xinxin Liu, Bo Yang, Jian Lu, and Guisheng Liao. 2020. "Detection and Speed Estimation of Moving Target Based on Phase Compensation and Coherent Accumulation Using Fractional Fourier Transform" Sensors 20, no. 5: 1410. https://doi.org/10.3390/s20051410
APA StyleYang, J., Liu, X., Yang, B., Lu, J., & Liao, G. (2020). Detection and Speed Estimation of Moving Target Based on Phase Compensation and Coherent Accumulation Using Fractional Fourier Transform. Sensors, 20(5), 1410. https://doi.org/10.3390/s20051410

