A Novel Detector Based on Convolution Neural Networks for Multiscale SAR Ship Detection in Complex Background
Abstract
1. Introduction
2. Methodology
2.1. Fusion Feature Extractor Network
2.2. Region Proposal Network
2.3. Refine Detection Network
2.4. Computational Costs
3. Experiments and Results
3.1. Experimental Datasets and Settings
3.1.1. Dataset Descriptions
3.1.2. Experimental Settings
3.1.3. Evaluation Metrics
3.2. Experiments on SSDD
3.2.1. The Effect of the Number of Network Layers
3.2.2. The Effect of Feature Merging in RDN
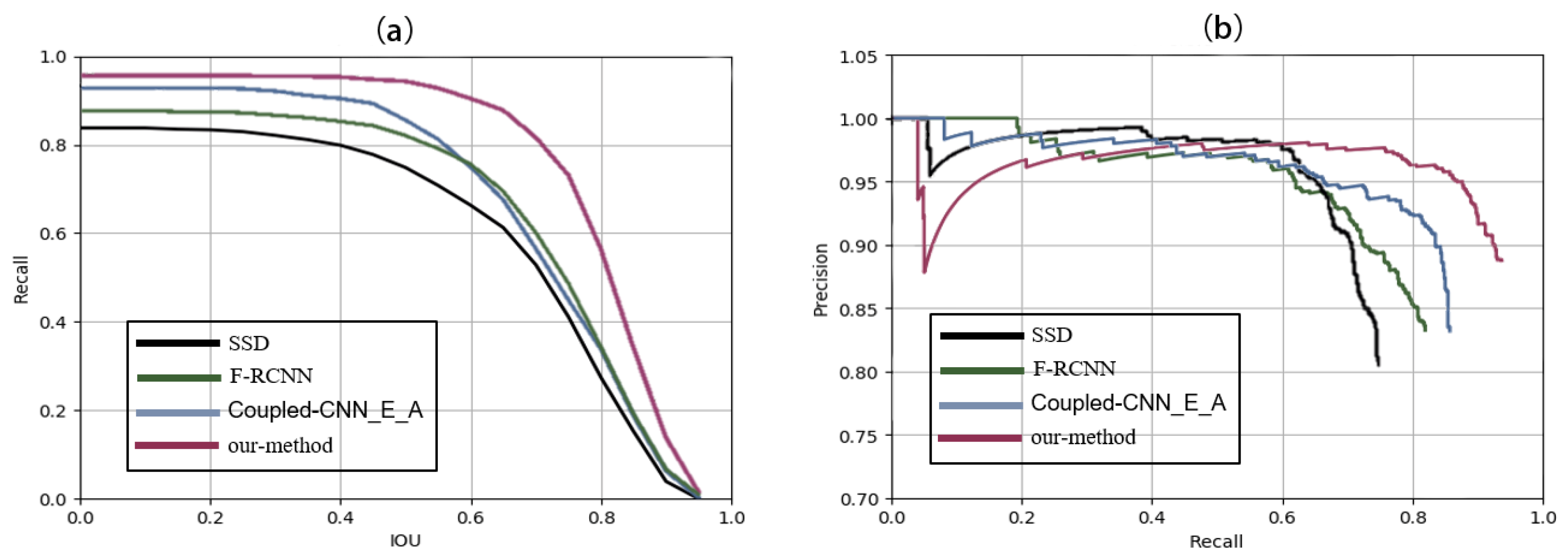
3.2.3. Comparisons with Other Methods
3.3. Robustness Testing on the GF-3 Dataset
3.3.1. Detection Results and Comparisons
3.3.2. Analysis on Missing Ships and False Alarms
4. Conclusions
Author Contributions
Funding
Conflicts of Interest
References
- Moreira, A.; Krieger, G.; Hajnsek, I.; Papathanassiou, K.; Younis, M.; Lopez-Dekker, P.; Huber, S.; Villano, M.; Pardini, M.; Eineder, M.; et al. Tandem-L: A Highly Innovative Bistatic SAR Mission for Global Observation of Dynamic Processes on the Earth’s Surface. IEEE Geosci. Remote Sens. Mag. 2015, 3, 8–23. [Google Scholar] [CrossRef]
- Liu, L.; Gao, Y.; Wang, F.; Liu, X. Real-Time Optronic Beamformer on Receive in Phased Array Radar. IEEE Geosci. Remote Sens. Lett. 2018, 16, 387–391. [Google Scholar] [CrossRef]
- Li, N.; Wang, R.; Deng, Y.; Chen, J.; Liu, Y.; Du, K.; Lu, P.; Zhang, Z.; Zhao, F. Waterline Mapping and Change Detection of Tangjiashan Dammed Lake After Wenchuan Earthquake From Multitemporal High-Resolution Airborne SAR Imagery. IEEE J. Sel. Top. Appl. Earth Obs. Remote Sens. 2014, 7, 3200–3209. [Google Scholar] [CrossRef]
- Liao, M.; Tang, J.; Wang, T.; Balz, T.; Zhang, L. Landslide monitoring with high-resolution SAR data in the Three Gorges region. Sci. China Earth Sci. 2011, 55, 590–601. [Google Scholar] [CrossRef]
- Gao, G.; Shi, G. CFAR Ship Detection in Nonhomogeneous Sea Clutter Using Polarimetric SAR Data Based on the Notch Filter. IEEE Trans. Geosci. Remote Sens. 2017, 55, 4811–4824. [Google Scholar] [CrossRef]
- Marino, A.; Sugimoto, M.; Ouchi, K.; Hajnsek, I. Validating a Notch Filter for Detection of Targets at Sea With ALOS-PALSAR Data: Tokyo Bay. IEEE J. Sel. Top. Appl. Earth Obs. Remote Sens. 2013, 7, 4907–4918. [Google Scholar] [CrossRef]
- Wang, S.; Jiao, L.; Wang, M.; Yang, S. New Hierarchical Saliency Filtering for Fast Ship Detection in High-Resolution SAR Images. IEEE Trans. Geosci. Remote Sens. 2016, 55, 351–362. [Google Scholar] [CrossRef]
- Lin, Z.; Ji, K.; Leng, X.; Kuang, G. Squeeze and Excitation Rank Faster R-CNN for Ship Detection in SAR Images. IEEE Geosci. Remote Sens. Lett. 2018, 16, 751–755. [Google Scholar] [CrossRef]
- Heiselberg, P.; Heiselberg, H. Ship-Iceberg Discrimination in Sentinel-2 Multispectral Imagery by Supervised Classification. Remote Sens. 2017, 9, 1156. [Google Scholar] [CrossRef]
- Kang, M.; Leng, X.; Lin, Z.; Ji, K. A modified faster R-CNN based on CFAR algorithm for SAR ship detection. In Proceedings of the 2017 International Workshop on Remote Sensing with Intelligent Processing (RSIP), Shanghai, China, 19–21 May 2017; pp. 1–4. [Google Scholar] [CrossRef]
- Kang, M.; Ji, K.; Leng, X.; Lin, Z. Contextual Region-Based Convolutional Neural Network with Multilayer Fusion for SAR Ship Detection. Remote Sens. 2017, 9, 860. [Google Scholar] [CrossRef]
- Wang, Y.; Wang, C.; Zhang, H. Combining a single shot multibox detector with transfer learning for ship detection using sentinel-1 SAR images. Remote Sens. Lett. 2018, 9, 780–788. [Google Scholar] [CrossRef]
- Greidanus, H.; Alvarez, M.; Santamaria, C.; Thoorens, F.-X.; Kourti, N.; Argentieri, P. The SUMO Ship Detector Algorithm for Satellite Radar Images. Remote Sens. 2017, 9, 246. [Google Scholar] [CrossRef]
- Yang, X.; Sun, H.; Fu, K.; Yang, J.; Sun, X.; Yan, M.; Guo, Z. Automatic Ship Detection in Remote Sensing Images from Google Earth of Complex Scenes Based on Multiscale Rotation Dense Feature Pyramid Networks. Remote Sens. 2018, 10, 132. [Google Scholar] [CrossRef]
- Zhao, J.; Guo, W.; Zhang, Z.; Yu, W. A coupled convolutional neural network for small and densely clustered ship detection in SAR images. Sci. China Inf. Sci. 2018, 62, 42301. [Google Scholar] [CrossRef]
- Dai, H.; Du, L.; Wang, Y.; Wang, Z. A Modified CFAR Algorithm Based on Object Proposals for Ship Target Detection in SAR Images. IEEE Geosci. Remote Sens. Lett. 2016, 13, 1925–1929. [Google Scholar] [CrossRef]
- Ao, W.; Xu, F.; Li, Y.; Wang, H. Detection and Discrimination of Ship Targets in Complex Background from Spaceborne ALOS-2 SAR Images. IEEE J. Sel. Top. Appl. Earth Obs. Remote Sens. 2018, 11, 536–550. [Google Scholar] [CrossRef]
- Mazzarella, F.; Vespe, M.; Santamaria, C. SAR Ship Detection and Self-Reporting Data Fusion Based on Traffic Knowledge. IEEE Geosci. Remote Sens. Lett. 2015, 12, 1685–1689. [Google Scholar] [CrossRef]
- Li, T.; Liu, Z.; Xie, R.; Ran, L. An Improved Superpixel-Level CFAR Detection Method for Ship Targets in High-Resolution SAR Images. IEEE J. Sel. Top. Appl. Earth Obs. Remote Sens. 2018, 11, 184–194. [Google Scholar] [CrossRef]
- Jiang, S.; Wang, C.; Zhang, B.; Zhang, H. Ship detection based on feature confidence for high resolution SAR images. In Proceedings of the 2012 IEEE International Geoscience and Remote Sensing Symposium, Munich, Germany, 22–27 July 2012; pp. 6844–6847. [Google Scholar] [CrossRef]
- Gambardella, A.; Nunziata, F.; Migliaccio, M. A Physical Full-Resolution SAR Ship Detection Filter. IEEE Geosci. Remote Sens. Lett. 2008, 5, 760–763. [Google Scholar] [CrossRef]
- Gui, Y.; Li, X.; Xue, L. A Multilayer Fusion Light-Head Detector for SAR Ship Detection. Sensors 2019, 19, 1124. [Google Scholar] [CrossRef]
- Wang, Y.; Wang, C.; Zhang, H.; Dong, Y.; Wei, S. Automatic Ship Detection Based on RetinaNet Using Multi-Resolution Gaofen-3 Imagery. Remote Sens. 2019, 11, 531. [Google Scholar] [CrossRef]
- Guo, Y.; Liu, Y.; Oerlemans, A.; Lao, S.; Wu, S.; Lew, M.S. Deep learning for visual understanding: A review. Neurocomputing 2016, 187, 27–48. [Google Scholar] [CrossRef]
- Wang, H.; Li, S.; Zhou, Y.; Chen, S. SAR Automatic Target Recognition Using a Roto-Translational Invariant Wavelet-Scattering Convolution Network. Remote Sens. 2018, 10, 501. [Google Scholar] [CrossRef]
- Xu, Z.; Wang, R.; Zhang, H.; Li, N.; Zhang, L. Building extraction from high-resolution SAR imagery based on deep neural networks. Remote Sens. Lett. 2017, 8, 888–896. [Google Scholar] [CrossRef]
- Ren, S.; He, K.; Girshick, R.; Sun, J. Faster R-CNN: Towards Real-Time Object Detection with Region Proposal Networks. IEEE Trans. Pattern Anal. Mach. Intell. 2017, 39, 1137–1149. [Google Scholar] [CrossRef]
- Li, Q.; Mou, L.; Liu, Q.; Wang, Y.; Zhu, X. HSF-Net: Multiscale Deep Feature Embedding for Ship Detection in Optical Remote Sensing Imagery. IEEE Trans. Geosci. Remote Sens. 2018, 56, 7147–7161. [Google Scholar] [CrossRef]
- Li, J.; Qu, C.; Shao, J. Ship detection in sar images based on an improved faster r-cnn. In Proceedings of the 2017 SAR in Big Data Era: Models, Methods and Applications (BIGSARDATA), Beijing, China, 13–14 November 2017; pp. 1–6. [Google Scholar]
- Jiao, J.; Zhang, Y.; Sun, H.; Yang, X.; Gao, X.; Hong, W.; Fu, K.; Sun, X. A Densely Connected End-to-End Neural Network for Multiscale and Multiscene SAR Ship Detection. IEEE Access 2018, 6, 20881–20892. [Google Scholar] [CrossRef]
- Lin, T.; Dollár, P.; Girshick, R.; He, K.; Hariharan, B.; Belongie, S. Feature pyramid networks for object detection. In Proceedings of the 2017 IEEE Conference on Computer Vision and Pattern Recognition (CVPR), Honolulu, HI, USA, 21–26 July 2017; pp. 936–944. [Google Scholar]
- Liu, W.; Anguelov, D.; Erhan, D.; Szegedy, C.; Reed, S.; Fu, C.Y.; Berg, A.C. SSD: Single Shot MultiBox Detector. Eur. Conf. Comput. Vis. 2016, 21–37. [Google Scholar]
- He, K.; Zhang, X.; Ren, S.; Sun, J. Identity Mappings in Deep Residual Networks. In Proceedings of the Lecture Notes in Computer Science, Hong Kong, China, 16–18 March 2016; Volume 9908, pp. 630–645. [Google Scholar]
- He, K.; Zhang, X.; Ren, S.; Sun, J. Deep Residual Learning for Image Recognition. In Proceedings of the 2016 IEEE Conference on Computer Vision and Pattern Recognition (CVPR), Las Vegas, NV, USA, 27–30 June 2016; pp. 770–778. [Google Scholar] [CrossRef]
- Neubeck, A.; Van Gool, L. Efficient Non-Maximum Suppression. In Proceedings of the 18th International Conference on Pattern Recognition (ICPR’06), Hong Kong, China, 20–24 August 2006; Volume 3, pp. 850–855. [Google Scholar] [CrossRef]
- Everingham, M.; Zisserman. The 2005 pascal visual object classes challenge. In Proceedings of the Machine Learning Challenges Workshop, Southampton, UK, 11–13 April 2005; pp. 117–176. [Google Scholar]
- Huang, L.; Liu, B.; Li, B.; Guo, W.; Yu, W.; Zhang, Z.; Yu, W. OpenSARShip: A Dataset Dedicated to Sentinel-1 Ship Interpretation. IEEE J. Sel. Top. Appl. Earth Obs. Remote Sens. 2018, 11, 195–208. [Google Scholar] [CrossRef]
- Jia, Y.; Shelhamer, E.; Donahue, J.; Karayev, S.; Long, J.; Girshick, R.; Guadarrama, S.; Darrell, T. Caffe: Convolutional Architecture for Fast Feature Embedding. In Proceedings of the Proceedings of the 22nd ACM international conference on Multimedia, Mountain View, CA, USA, 18–19 June 2014; pp. 675–678. [Google Scholar]
- Zeiler, M.D.; Fergus, R. Visualizing and Understanding Convolutional Networks. In Proceedings of the European Conference on Computer Vision, Zurich, Switzerland, 6–12 September 2014; pp. 818–833. [Google Scholar]
- Simonyan, K.; Zisserman, A. Very deep convolutional networks for large-scale image recognition. arXiv 2014, arXiv:1409.1556. [Google Scholar]
- Novak, L.M.; Owirka, G.J.; Netishen, C.M. Performance of a high-resolution polarimetric SAR automatic target recognition system. Linc. Lab. J. 1993, 6, 11–24. [Google Scholar]
- Li, J.; Liang, X.; Wei, Y.; Xu, T.; Feng, J.; Yan, S. Perceptual Generative Adversarial Networks for Small Object Detection. In Proceedings of the 2017 IEEE Conference on Computer Vision and Pattern Recognition (CVPR), Honolulu, HI, USA, 22–25 July 2017; pp. 1951–1959. [Google Scholar]
- Bodla, N.; Singh, B.; Chellappa, R.; Davis, L.S. Soft-NMS—Improving Object Detection with One Line of Code. In Proceedings of the 2017 IEEE International Conference on Computer Vision (ICCV), Venice, Italy, 22–29 October 2017; pp. 5562–5570. [Google Scholar]









| Name | Type | Stride | Output | Params | MAC | 
|---|---|---|---|---|---|
| Conv1 | × 1 | 2 | 112 × 112 × 64 | 9.47 K | 118.01 M | 
| Conv2 | × 3 | 2 | 112 × 112 × 64 | 9.47 K | 118.01 M | 
| Conv3 | × 4 | 2 | 56 × 56 × 256 | 262.19 K | 877.88 M | 
| Conv4 | × 6 | 2 | 28 × 28 × 512 | 1154.1 K | 1056.11 M | 
| Conv5 | × 3 | 2 | 14 × 14 × 1024 | 7360.7 K | 1389.24 M | 
| Params | MAC | |
|---|---|---|
| FFEN | 24.286 M | 4201.04 M | 
| RPN | 7.499 M | 6144.39 M | 
| RDN | 228.47 M | 42736.8 M | 
| Total | 260.3 M | 53 B | 
| Sensors | Resolution | Polarization | Ship | Position | 
|---|---|---|---|---|
| Sentinel-1 RadarSat-2 TerraSAR-X | 1–15 m | HH,VV VH,HV | Different size and material | In the sea and offshore | 
| NoS 1 | 1 | 2 | 3 | 4 | 5 | 6 | 7 | 8 | 9 | 10 | 11 | 12 | 13 | 14 | 
|---|---|---|---|---|---|---|---|---|---|---|---|---|---|---|
| NoI 2 | 725 | 183 | 89 | 47 | 45 | 16 | 15 | 8 | 4 | 11 | 5 | 3 | 3 | 0 | 
| Sensors | Resolution | Polarization | Ship | Position | Pixel | Imaging Time | 
|---|---|---|---|---|---|---|
| GF-3 | 3M | HH | Different Size | Sea and offshore | Width: 29,986 Height: 15,648 | 17 July 2018 | 
| Depth | Precision | Recall | F1-Score | 
|---|---|---|---|
| 5-layer | 73% | 84.4% | 78% | 
| 16-layer | 80.5% | 86.4% | 83.4% | 
| 50-layer | 82.6% | 87.1% | 84.8% | 
| Methods | Precision | Recall | F1-Score | 
|---|---|---|---|
| no-merge | 86.9% | 93.8% | 90.2% | 
| merge | 89.9% | 93.2% | 91.5% | 
| Methods | Precision | Recall | F1-Score | 
|---|---|---|---|
| CFAR | 52.7% | 64.2% | 57.9% | 
| F-RCNN | 83.2% | 81.9% | 82.5% | 
| Coupled-CNN_E_A | 83.1% | 85.7% | 84.4% | 
| SSD | 80.4% | 74.8% | 77.5% | 
| MFLHD [22] 1 | 87.5% | 81.6% | 84.4% | 
| Our method | 89.9% | 93.2% | 91.5% | 
| Methods | Precision | Recall | F1-Score | 
|---|---|---|---|
| CFAR | 50.4% | 62.9% | 56.0% | 
| F-RCNN | 78.2% | 83.5% | 80.8% | 
| Coupled-CNN_E_A | 84.7% | 82.2% | 83.5% | 
| SSD | 79.2% | 71.3% | 75.1% | 
| Our Method | 91.3% | 93.1% | 92.1% | 
© 2020 by the authors. Licensee MDPI, Basel, Switzerland. This article is an open access article distributed under the terms and conditions of the Creative Commons Attribution (CC BY) license (http://creativecommons.org/licenses/by/4.0/).
Share and Cite
Dai, W.; Mao, Y.; Yuan, R.; Liu, Y.; Pu, X.; Li, C. A Novel Detector Based on Convolution Neural Networks for Multiscale SAR Ship Detection in Complex Background. Sensors 2020, 20, 2547. https://doi.org/10.3390/s20092547
Dai W, Mao Y, Yuan R, Liu Y, Pu X, Li C. A Novel Detector Based on Convolution Neural Networks for Multiscale SAR Ship Detection in Complex Background. Sensors. 2020; 20(9):2547. https://doi.org/10.3390/s20092547
Chicago/Turabian StyleDai, Wenxin, Yuqing Mao, Rongao Yuan, Yijing Liu, Xuemei Pu, and Chuan Li. 2020. "A Novel Detector Based on Convolution Neural Networks for Multiscale SAR Ship Detection in Complex Background" Sensors 20, no. 9: 2547. https://doi.org/10.3390/s20092547
APA StyleDai, W., Mao, Y., Yuan, R., Liu, Y., Pu, X., & Li, C. (2020). A Novel Detector Based on Convolution Neural Networks for Multiscale SAR Ship Detection in Complex Background. Sensors, 20(9), 2547. https://doi.org/10.3390/s20092547
 
        

 
       