Monocular Visual Position and Attitude Estimation Method of a Drogue Based on Coaxial Constraints
Abstract
:1. Introduction
2. Scene Recovery from a Circle
2.1. Projection of a Circle
2.2. Position and Attitude Estimation from a Circle
3. The Coaxial Constraints on a Drogue
3.1. Analysis of a Drogue
- There exists a structure of spatial circles on several planes parallel to the plane of the inner circle.
- The centers of multiple spatial circles are collinear and the vectors composed of the circles’ center are collinear with the normal vector of the inner circle.
3.2. Proof
- In this case, must be 1. There is a rotation transformation around the z-axis between the two coordinate systems with as the rotation matrix, which means that the position and the normal vector of the circle are not changed. In other words, and are equal.
- Other Situations
4. The Position and Attitude Estimation Method Based on the Coaxial Constraints
| Algorithm 1: Position and Attitude Estimation Algorithm Based on the Coaxial Constraints |
| Input: |
| Image: The parameters of ellipses have been fitted and matched |
| r: Radius of inner circle |
| : The z-axis coordinates of coaxial circles‘ center |
| Output: |
| O: The position of drogue in the camera coordinate system |
| n: The normal vector of drogue in the camera coordinate system |
| 1: function COAXIALCIRCLEPOSE(Image, r, ) |
| 2: Transform the parameters of ellipses into matrix expression |
| 3: Calculate two sets of position and attitude of the inner circle |
| , |
| 4: for j = 1 to J do |
| 5: Restore the spatial structures of by |
| 6: Fit and from |
| 7: Calculate and from |
| 8: end for 9: Calculate and by |
| 10: Eliminate duality by |
| 11: Eliminate duality by |
| 12: Optimize normal vector by |
| 13: Obtain translation vector by |
| 14: result |
| 15: return result |
| 16: end function |
4.1. Spatial Structure Recovery
4.2. Elimination of Duality
4.3. Fusion of Multiple Circular Features
5. Results and Analysis
5.1. Evaluation Indices
5.2. Simulations
- 1.
- Elimination of Duality
- Noise in the Image Feature
- Noise in the Spatial Structure
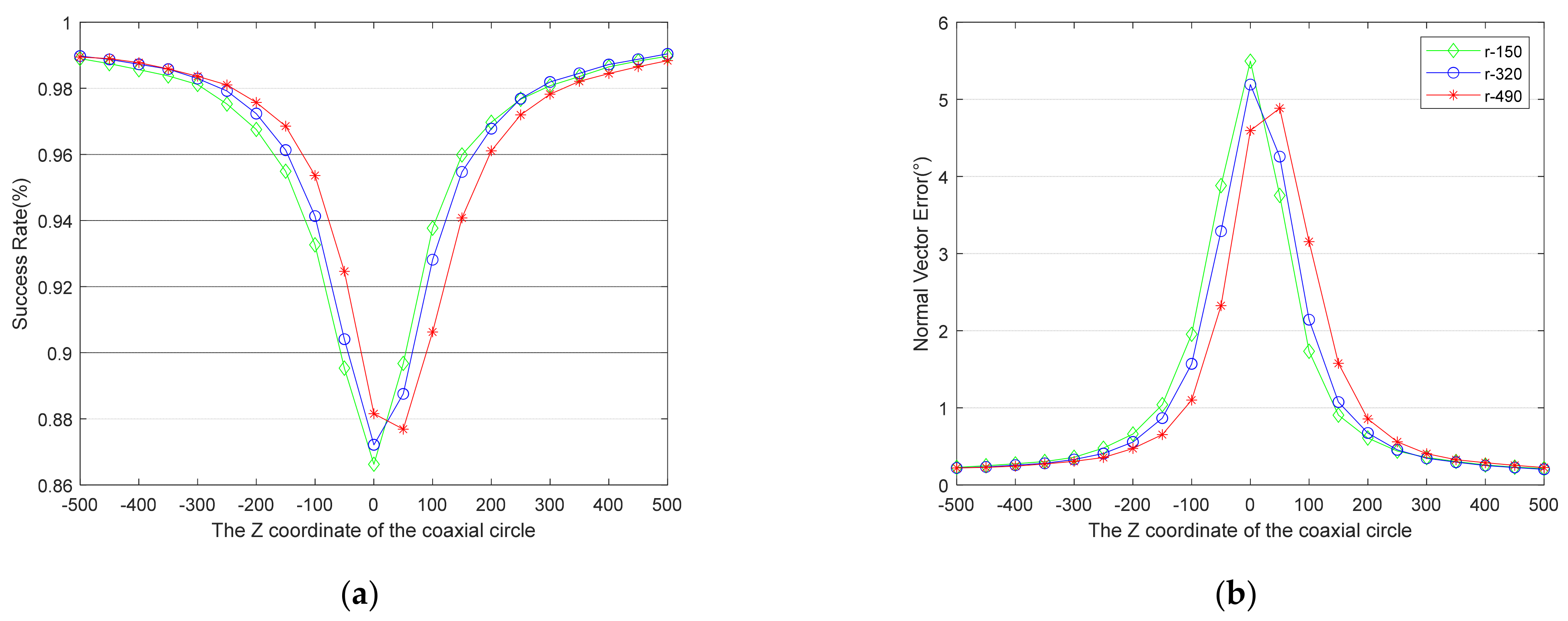
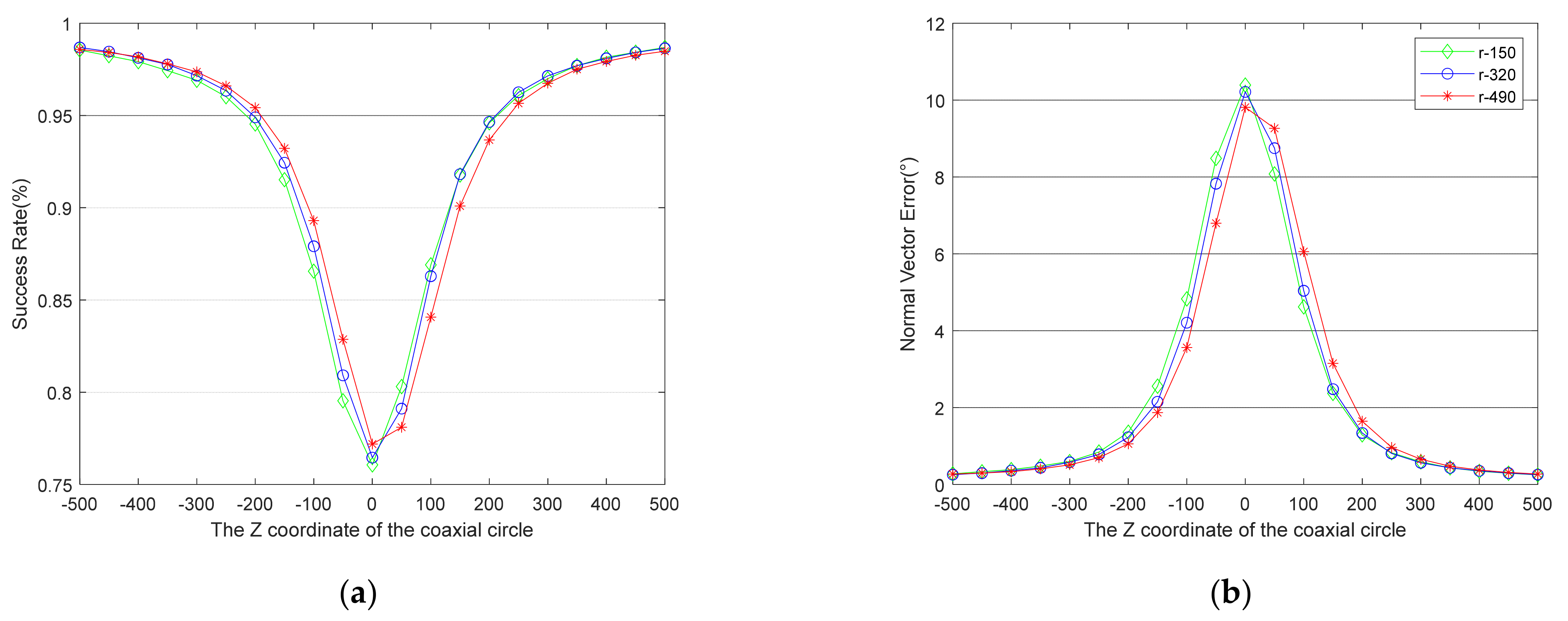
- Different z-axis Coordinates of Targets
- 2.
- Accuracy of the Normal Vector
- 3.
- Influence of spatial structure on the algorithm’s performance
- The farther away the plane of the coaxial circle is from the plane of the inner circle, the better the performance of the algorithm is. It would be a good choice to select a circular feature in the plane that is more than twice the radius of the inner circle away from the plane of the inner circle. (When the two planes are very close, the false solutions of the two circles are also very similar, which leads to a reduction in the success rate of duality elimination.)
- When the distance between the plane of the coaxial circle and the plane of the inner circle is the same, the closer the coaxial circle plane is to the camera, the better the performance of the algorithm is.
- When the plane of the coaxial circle is closer to the camera than the inner circle, the larger the radius of the coaxial circle is, the better the performance of the algorithm is.
- When the plane of the coaxial circle is farther away from the camera than the inner circle, the smaller the radius of the coaxial circle is, the better the performance of the algorithm is.
5.3. Experiments on the Drogue Model
6. Conclusions
Author Contributions
Funding
Institutional Review Board Statement
Informed Consent Statement
Conflicts of Interest
References
- Zhang, J.; Zhen, L. Tracking and position of drogue for autonomous aerial refueling. In Proceedings of the 2018 IEEE 3rd Optoelectronics Global Conference (OGC), Shenzhen, China, 4–7 September 2018; pp. 171–175. [Google Scholar] [CrossRef]
- Latimer-Needham, C.H. Apparatus for Aircraft-Refueling in Flight and Aircraft-Towing. U.S. Patent Application No. 2,716,527, 30 August 1955. [Google Scholar]
- Clifford, J.L. Aircraft Interconnecting Mechanism. U.S. Patent Application No. 2,663,523, 12 December 1953. [Google Scholar]
- Maa, Y.; Zhao, R.; Liu, E.; Zhang, Z.; Yan, K. A novel autonomous aerial refueling drogue detection and pose estimation method based on monocular vision. Measurement 2019, 136, 132–142. [Google Scholar] [CrossRef]
- Valasek, J.; Gunnam, K.; Kimmett, J.; Tandale, M.D.; Junkins, J.L.; Hughes, D. Vision-based sensor and navigation system for autonomous air refueling. J. Guid. Control Dyn. 2005, 28, 979–989. [Google Scholar] [CrossRef]
- Martinez, C.; Richardson, T.; Thomas, P.; du Bois, J.L.; Campoy, P. A vision-based strategy for autonomous aerial refueling tasks. Robot. Auton. Syst. 2013, 61, 876–895. [Google Scholar] [CrossRef]
- Lin, S.; Garratt, M.A.; Lambert, A.J. Monocular vision-based real-time target recognition and tracking for autonomously landing an UAV in a cluttered shipboard environment. Auton. Robot. 2017, 41, 881–901. [Google Scholar] [CrossRef]
- Yang, Y.; Shen, Q.; Li, J.; Deng, Z.; Wang, H.; Gao, X. Position and Attitude Estimation Method Integrating Visual Odometer and GPS. Sensors 2020, 20, 2121. [Google Scholar] [CrossRef] [PubMed]
- Lepetit, V.; Moreno-Noguer, F.; Fua, P. EPnP: An Accurate O(n) Solution to the PnP Problem. Int. J. Comput. Vis. 2009, 81, 155–166. [Google Scholar] [CrossRef] [Green Version]
- Hesch, J.A.; Roumeliotis, S.I. A Direct Least-Squares (DLS) Method for PnP. In Proceedings of the IEEE International Conference on Computer Vision, Barcelona, Spain, 6–13 November 2011; pp. 383–390. [Google Scholar]
- Kneip, L.; Li, H.; Seo, Y. UPnP: An Optimal O(n) Solution to the Absolute Pose Problem with Universal Applicability. In Computer Vision—ECCV 2014; Fleet, D., Pajdla, T., Schiele, B., Tuytelaars, T., Eds.; Springer: Cham, Switzerland, 2014; Volume 8689, pp. 127–142. [Google Scholar]
- Ferraz, L.; Binefa, X.; Moreno-Noguer, F. Very Fast Solution to the PnP Problem with Algebraic Outlier Rejection. In Proceedings of the 2014 IEEE Conference on Computer Vision and Pattern Recognition, Columbus, OH, USA, 23–28 June 2014; pp. 501–508. [Google Scholar] [CrossRef] [Green Version]
- Sun, Y.; Huang, B.; Yang, B.; Yao, S. Vision Calibration Method of Spatial Point Position Under Multi-View Scene Determination. J. Nanjing Univ. Aeronaut. Astronaut. 2015, 47, 343–347. [Google Scholar]
- Barone, F.; Marrazzo, M.; Oton, C.J. Camera Calibration with Weighted Direct Linear Transformation and Anisotropic Uncertainties of Image Control Points. Sensors 2020, 20, 1175. [Google Scholar] [CrossRef] [PubMed] [Green Version]
- Qin, T.; Li, P.; Shen, S. VINS-Mono: A Robust and Versatile Monocular Visual-Inertial State Estimator. IEEE Trans. Robot. 2018, 34, 1004–1020. [Google Scholar] [CrossRef] [Green Version]
- Zhao, J.; Hu, Y.; Tian, M. Pose Estimation of Excavator Manipulator Based on Monocular Vision Marker System. Sensors 2021, 21, 4478. [Google Scholar] [CrossRef] [PubMed]
- Huang, B.; Sun, Y.R.; Zeng, Q.H. Real-time drogue detection and template tracking strategy for autonomous aerial refueling. J. Real-Time Image Process. 2020, 17, 437–446. [Google Scholar] [CrossRef]
- Miao, X.; Zhu, F.; Ding, Q.; Hao, Y.; Wu, Q.; Xia, R. Monocular vision pose measurement based on docking ring component. Guangxue Xuebao/Acta Opt. Sin. 2013, 33, 123–131. [Google Scholar] [CrossRef]
- Lu, J.; Xia, M.; Li, W.; Guo, W.-P.; Yang, K.-C. 3-D location estimation of underwater circular features by monocular vision. Optik 2013, 124, 6444–6449. [Google Scholar] [CrossRef]
- Zhang, L.M.; Zhu, F.; Hao, Y.M.; Wang, M.Y. Pose measurement based on a circle and a non-coplanar feature point. Guangzi Xuebao/Acta Photonica Sin. 2015, 44, 112002. [Google Scholar] [CrossRef]
- Zhang, L.; Huang, X.; Feng, W.; Hu, T.; Liang, S. Solution of duality in pose estimation of a single circle utilizing constraint angles motion reconstruction. Guangxue Xuebao/Acta Opt. Sin. 2016, 36, 115002. [Google Scholar] [CrossRef]
- Gurdjos, P.; Sturm, P.; Wu, Y. Euclidean structure from N ≥ 2 parallel circles: Theory and algorithms. In Computer Vision—ECCV 2006; Leonardis, A., Bischof, H., Pinz, A., Eds.; Springer: Berlin/Heidelberg, Germany, 2006; Volume 3951, pp. 238–252. [Google Scholar]
- Huang, B.; Sun, Y.; Zeng, Q. General fusion frame of circles and points in vision pose estimation. Optik 2018, 154, 47–57. [Google Scholar] [CrossRef]
- Huang, H.; Zhang, H.; Cheung, Y.-m.; IEEE. The Common Self-polar Triangle of Concentric Circles and Its Application to Camera Calibration. In Proceedings of the 2015 IEEE Conference on Computer Vision and Pattern Recognition, Boston, MA, USA, 7–12 June 2015; pp. 4065–4072. [Google Scholar] [CrossRef]
- Zhao, Z.; Liu, Y. Applications of projected circle centers in camera calibration. Mach. Vis. Appl. 2010, 21, 301–307. [Google Scholar] [CrossRef]
- Ma, W.; Sun, S.; Song, J.; Li, W. Circle Pose Estimation Based on Stereo Vision. Appl. Mech. Mater. 2012, 263–266, 2408–2413. [Google Scholar] [CrossRef]
- Liu, Z.Y.; Liu, X.; Duan, G.F.; Tan, J.R. Precise pose and radius estimation of circular target based on binocular vision. Meas. Sci. Technol. 2019, 30, 14. [Google Scholar] [CrossRef]
- Huang, B.; Sun, Y.; Zhu, Y.; Xiong, Z.; Liu, J. Vision pose estimation from planar dual circles in a single image. Optik 2016, 127, 4275–4280. [Google Scholar] [CrossRef]
- Huang, B. Research on Close-range High-accuracy Vision Navigation Technology for UAV Aerial Refueling; Nanjing University of Aeronautics and Astronautics: Nanjing, China, 2019. [Google Scholar]










| Curves | Corresponding to Simulation (a) | Corresponding to Simulation (b) | Corresponding to Simulation (c) |
|---|---|---|---|
| Ours-1 | 0.13 | 0.13 | 0.15 |
| Ours-2 | 0.11 | 0.12 | 0.12 |
| Ours-3 | 0.07 | 0.08 | 0.08 |
| OC | 0.17 | 0.19 | 0.20 |
| Circles | Success Rate (%) |
|---|---|
| O1 | 100 |
| O2 | 100 |
| O3 | 100 |
| Number of Points for Each Circle | Computation Time of 1 Coaxial Circle (ms) | Computation Time of 2 Coaxial Circles (ms) |
|---|---|---|
| 20 | 0.9 | 1.3 |
| 30 | 1.2 | 2.1 |
| 40 | 1.4 | 2.6 |
| 50 | 1.6 | 3.1 |
| 60 | 1.9 | 3.8 |
Publisher’s Note: MDPI stays neutral with regard to jurisdictional claims in published maps and institutional affiliations. |
© 2021 by the authors. Licensee MDPI, Basel, Switzerland. This article is an open access article distributed under the terms and conditions of the Creative Commons Attribution (CC BY) license (https://creativecommons.org/licenses/by/4.0/).
Share and Cite
Zhao, K.; Sun, Y.; Zhang, Y.; Li, H. Monocular Visual Position and Attitude Estimation Method of a Drogue Based on Coaxial Constraints. Sensors 2021, 21, 5673. https://doi.org/10.3390/s21165673
Zhao K, Sun Y, Zhang Y, Li H. Monocular Visual Position and Attitude Estimation Method of a Drogue Based on Coaxial Constraints. Sensors. 2021; 21(16):5673. https://doi.org/10.3390/s21165673
Chicago/Turabian StyleZhao, Kedong, Yongrong Sun, Yi Zhang, and Hua Li. 2021. "Monocular Visual Position and Attitude Estimation Method of a Drogue Based on Coaxial Constraints" Sensors 21, no. 16: 5673. https://doi.org/10.3390/s21165673
APA StyleZhao, K., Sun, Y., Zhang, Y., & Li, H. (2021). Monocular Visual Position and Attitude Estimation Method of a Drogue Based on Coaxial Constraints. Sensors, 21(16), 5673. https://doi.org/10.3390/s21165673

