Design and Experiments of a Portable Seabed Integrated Detection Sonar
Abstract
1. Introduction
2. Design of Sonar
2.1. Integrated Sonar Array Design
2.2. Architecture of the PSIDS
2.3. Control Scheme of PSIDS
3. Method
3.1. Sound Source Design
3.2. Seabed Topography and Sediment Geomorphology Detection
3.3. Sub-Bottom Echo Signal Processing
4. Experimental Results
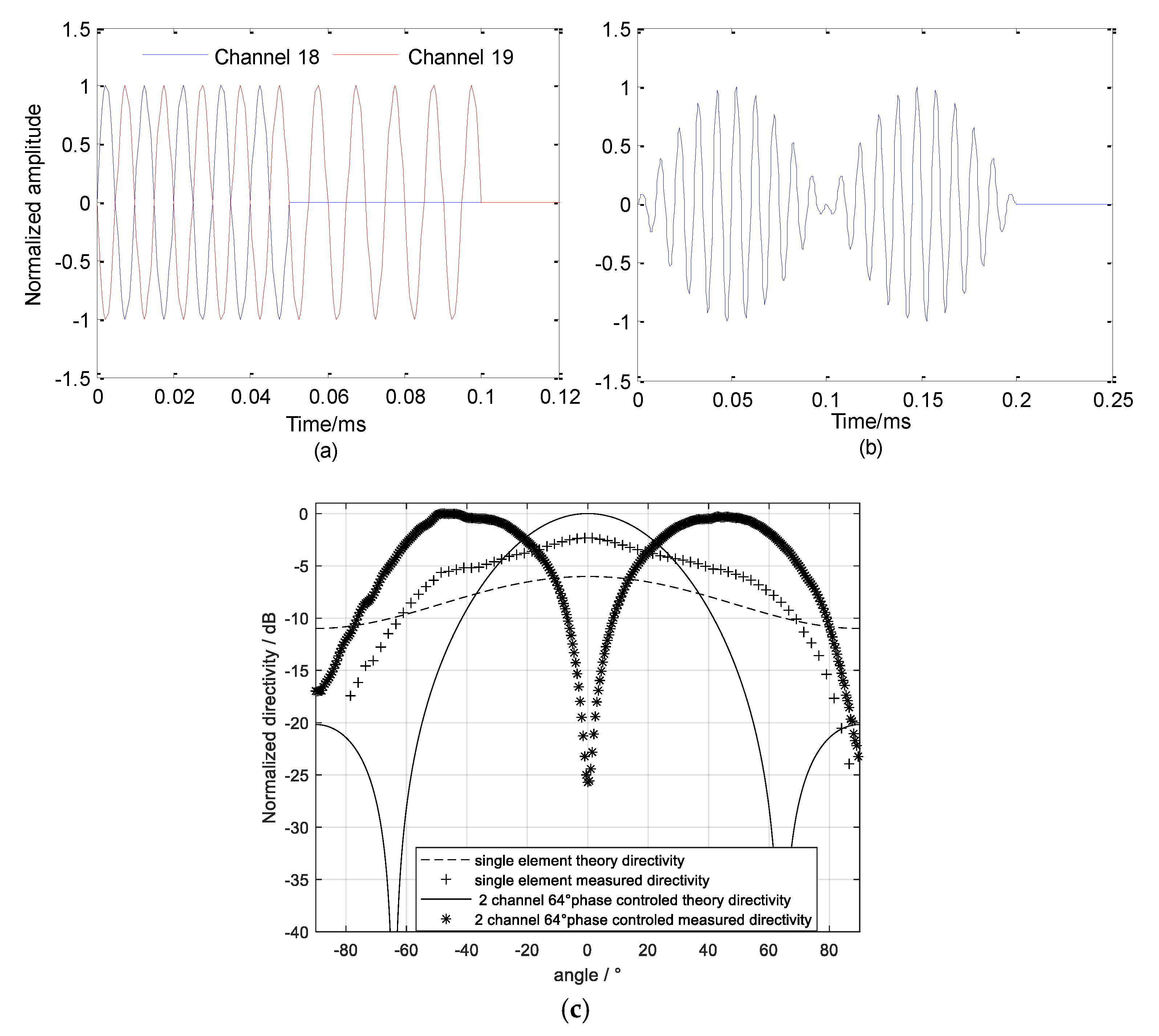
4.1. Measurement of Sound Source Level and Directivity
4.2. Seabed Integrated Detection
5. Conclusions
Author Contributions
Funding
Data Availability Statement
Conflicts of Interest
References
- Rioblanc, M. High Productivity Multi-Sensor Seabed Mapping Sonar for Marine Mineral Resources Exploration. In Proceedings of the 2013 IEEE International Underwater Technology Symposium, Tokyo, Japan, 5–8 March 2013. [Google Scholar]
- Jonsson, M.; Pihl, J.; Aklint, M. Imaging of buried objects by low frequency SAS. In Proceedings of the Europe Oceans 2005, Brest, France, 20–23 June 2005; Volume 1, pp. 669–673. [Google Scholar]
- Huang, J.; Zhou, T.; Du, W.; Shen, J.; Zhang, W. Smart ocean: A new fast deconvolved beamforming algorithm for multibeam sonar. Sensors 2018, 18, 4013. [Google Scholar] [CrossRef] [PubMed]
- Fogarin, S.; Madricardo, F.; Zaggia, L.; Sigovini, M.; Montereale-Gavazzi, G.; Kruss, A.; Lorenzetti, G.; Manfe, G.; Petrizzo, A.; Molinaroli, E.; et al. Tidal inlets in the Anthropocene: Geomorphology and benthic habitats of the Chioggia inlet, Venice Lagoon (Italy). ESPL 2019, 44, 2297–2315. [Google Scholar] [CrossRef]
- Montereale-Gavazzi, G.; Roche, M.; Degrendele, K.; Lurton, X.; Terseleer, N.; Baeye, M.; Francken, F.; Van Lancker, V. Insights into the Short-Term Tidal Variability of Multibeam Backscatter from Field Experiments on Different Seafloor Types. Geosciences 2019, 9, 34. [Google Scholar] [CrossRef]
- Janowski, L.; Kubacka, M.; Pydyn, A.; Popek, M.; Gajewski, L. From acoustics to underwater archaeology: Deep investigation of a shallow lake using high-resolution hydroacoustics-The case of Lake Lednica, Poland. Archa 2021. [Google Scholar] [CrossRef]
- Micallef, A.; Foglini, F.; Le Bas, T.; Angeletti, L.; Maselli, V.; Pasuto, A.; Taviani, M. The submerged paleolandscape of the Maltese Islands: Morphology, evolution and relation to Quaternary environmental change. Mar. Geol. 2013, 335, 129–147. [Google Scholar] [CrossRef]
- Koop, L.; Snellen, M.; Simons, D.G. An Object-Based Image Analysis Approach Using Bathymetry and Bathymetric Derivatives to Classify the Seafloor. Geosciences 2021, 11, 45. [Google Scholar] [CrossRef]
- Pearman, T.R.R.; Robert, K.; Callaway, A.; Hall, R.; Lo Iacono, C.; Huvenne, V.A.I. Improving the predictive capability of benthic species distribution models by incorporating oceanographic data—Towards holistic ecological modelling of a submarine canyon. Prog. Oceanogr. 2020, 184. [Google Scholar] [CrossRef]
- Innangi, S.; Tonielli, R.; Di Martino, G.; Guarino, A.; Molisso, F.; Sacchi, M. High-resolution seafloor sedimentological mapping: The case study of Bagnoli-Coroglio site, Gulf of Pozzuoli (Napoli), Italy. Chem. Ecol. 2020, 36, 511–528. [Google Scholar] [CrossRef]
- Siesjo, J.; Nijsen, F. Seabed Surveys Using Sabertooth AUV With Spatial Data Software Combining Sonar, Bathymetry, Video and Sub-Bottom Profiling Data. Sea Technol. 2015, 56, 41–42. [Google Scholar]
- Dybedal, J.; Boe, R. Ultra high resolution sub-bottom profiling for detection of thin layers and objects. In Proceedings of the OCEANS’94, Brest, France, 13–16 September 1994; Volume 1, p. I-634. [Google Scholar]
- Ma, J.; Li, H.; Zhu, J.; Chen, B. Sound Velocity Estimation of Seabed Sediment Based on Parametric Array Sonar. Math. Probl. Eng. 2020, 2020, 9810215. [Google Scholar] [CrossRef]
- Stonestrom, D.; Mahajan, A.; Rock, S. Intensity based local terrain estimation with a multi-beam sonar. In Proceedings of the 2016 OCEANS MTS/IEEE Monterey, OCE 2016, Monterey, CA, USA, 19–23 September 2016; Institute of Electrical and Electronics Engineers Inc.: Monterey, CA, USA, 2016. [Google Scholar]
- Tipsuwan, Y.; Kasetkasem, T.; Hoonsuwan, P.; Leangaramkul, A. A real-time pipeline tracking using a forward-looking sonar. In Proceedings of the International Petroleum Technology Conference 2019, IPTC 2019, Beijing, China, 26–28 March 2019; International Petroleum Technology Conference (IPTC): Beijing, China, 2019. [Google Scholar]
- Tian, H.; Guo, S.; Zhao, P.; Gong, M.; Shen, C. Design and Implementation of a Real-Time Multi-Beam Sonar System Based on FPGA and DSP. Sensors 2021, 21, 1425. [Google Scholar] [CrossRef] [PubMed]
- Fezzani, R.; Zerr, B.; Mansour, A.; Legris, M.; Vrignaud, C. Fusion of Swath Bathymetric Data: Application to AUV Rapid Environment Assessment. IJOE 2019, 44, 111–120. [Google Scholar] [CrossRef]
- Hao, Y.; Han, Q. Data fusion of multi-beam sonar and side-scan sonar base on feature contour registration. In Proceedings of the 2011 International Conference on Consumer Electronics, Communications and Networks (CECNet), Xianning, China, 16–18 April 2011; pp. 174–177. [Google Scholar]
- Hoelscher-Hoebing, U.; Kraus, D. Multi Beam/Multi Aspect Image Data Fusion for Side Scan Sonars. In Proceedings of the 8th European Conference on Synthetic Aperture Radar, Aachen, Germany, 7–10 June 2010; pp. 1–4. [Google Scholar]
- LePage, K.D.; Schmidt, H. Bistatic synthetic aperture imaging of proud and buried targets from an AUV. IEEE J. Ocean. Eng. 2002, 27, 471–483. [Google Scholar] [CrossRef]
- Asada, A.; Ura, T.; Maeda, F.; Maki, T.; Yamagata, Y.; Seiichi, T. Sub-bottom synthetic aperture imaging sonar system using an AUV and an autonomous surface tracking vehicle for searching for buried shells of toxic chemicals. In Proceedings of the 2010 International WaterSide Security Conference, Carrara, Italy, 3–5 November 2010; pp. 1–3. [Google Scholar]
- Liu, X.; Wang, S.; Zhang, D.; Cao, J.; Wang, H. Sounding data quality assessment method and result of high-resolution bathymetric sidescan sonar system. In Proceedings of the OCEANS 2016—Shanghai, Shanghai, China, 10–13 April 2016; Institute of Electrical and Electronics Engineers Inc.: Shanghai, China, 2016. [Google Scholar]
- Conceição, F.V.d.; Neto, A.A. Seabed properties analysis from multibeam backscatter data. In Proceedings of the 2013 IEEE/OES Acoustics in Underwater Geosciences Symposium, Rio de Janeiro, Brazil, 24–26 July 2013; pp. 1–3. [Google Scholar]
- Gavrilov, A.N.; Parnum, I.M. Fluctuations of Seafloor Backscatter Data From Multibeam Sonar Systems. IJOE 2010, 35, 209–219. [Google Scholar] [CrossRef]
- Zhang, Y.; Li, H.; Yao, B.; Zhou, T. A New Approach for Multibeam Echo sounding Based on Interferometric Principle. Hydrogr. Surv. Charting 2010, 30, 8–11. [Google Scholar]
- Xu, C.; Li, H.; Chen, B.; Zhou, T. Multibeam interferometric seafloor imaging technology. Harbin Gongcheng Daxue Xuebao/J. Harbin Eng. Univ. 2013, 34, 1159–1164. [Google Scholar] [CrossRef]
- Zhu, J.; Wei, Y.; Li, H.; Ma, J. Chirp sub-bottom profiler signal processing method based on fractional Fourier transform. In Proceedings of the 2016 IEEE/OES China Ocean Acoustics (COA), Harbin, China, 9–11 January 2016; pp. 1–5. [Google Scholar]













| Piezoelectric Sensor | Parametric Array | Receiving Array | Vector Hydrophone |
|---|---|---|---|
| Frequency (kHz) | 80–120 | 80–120 | 3–15 |
| Number of channels | 36 | 40 | 4 |
| Beam width (100 kHz) | (2.5° ± 0.2°) × (2.5° ± 2°) | (2.5° ± 0.2°) × (25° ± 2°) | - |
| Source level (dB) | SL ≥ 237 | - | - |
| Sensitivity (dB) | - | −185 @ 100 kHz | −180 @ 10 kHz |
| Element spacing (mm) | 8.33 | 7.5 | - |
Publisher’s Note: MDPI stays neutral with regard to jurisdictional claims in published maps and institutional affiliations. |
© 2021 by the authors. Licensee MDPI, Basel, Switzerland. This article is an open access article distributed under the terms and conditions of the Creative Commons Attribution (CC BY) license (https://creativecommons.org/licenses/by/4.0/).
Share and Cite
Ma, J.; Li, H.; Zhu, J.; Du, W.; Xu, C.; Wang, X. Design and Experiments of a Portable Seabed Integrated Detection Sonar. Sensors 2021, 21, 2633. https://doi.org/10.3390/s21082633
Ma J, Li H, Zhu J, Du W, Xu C, Wang X. Design and Experiments of a Portable Seabed Integrated Detection Sonar. Sensors. 2021; 21(8):2633. https://doi.org/10.3390/s21082633
Chicago/Turabian StyleMa, Jingxin, Haisen Li, Jianjun Zhu, Weidong Du, Chao Xu, and Xinyang Wang. 2021. "Design and Experiments of a Portable Seabed Integrated Detection Sonar" Sensors 21, no. 8: 2633. https://doi.org/10.3390/s21082633
APA StyleMa, J., Li, H., Zhu, J., Du, W., Xu, C., & Wang, X. (2021). Design and Experiments of a Portable Seabed Integrated Detection Sonar. Sensors, 21(8), 2633. https://doi.org/10.3390/s21082633

