Autonomous Navigation of Unmanned Aircraft Using Space Target LOS Measurements and QLEKF
Abstract
:1. Introduction
2. System Model
2.1. Main Idea
2.2. Model for the Attitude Determination
2.3. Model for the Position Estimation
3. Principle of Visibility Analysis
4. Q-Learning Extended Kalman Filter
4.1. Q-Learning for the Filter Design
4.2. Filter Algorithm
| Algorithm1: Q-learning extended Kalman filter |
| 1: , Initialization |
| 2: k 0 |
| 3: |
| 4: for each period, do |
| 5: for all , do |
| 6: , |
| 7: for , do |
| 8: |
| 9: Benchmark filter |
| 10: Exploring filter |
| 11: Main filter |
| 12: |
| 13: |
| 14: end for |
| 15: Calculation of Reward |
| 16: Update of weight |
| 17: , Resetting of exploring filter |
| 18: end for |
| 19: Selection of the best action |
| 20: end for |
| 21: return and Result of state estimation |
| Algorithm 2: Extended Kalman filter |
| 1: function |
| Prediction |
| Update |
| 8: return |
| 9: end function |
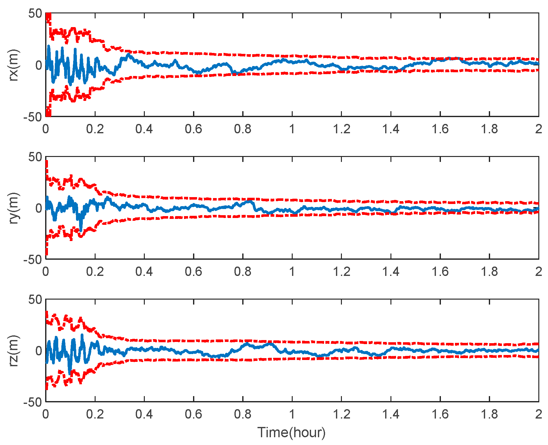
5. Simulations
5.1. Simulation Conditions
5.2. CRLB Based on the Visibility Analysis
5.3. Simulation Results of the Navigation Filter
6. Conclusions
Author Contributions
Funding
Institutional Review Board Statement
Informed Consent Statement
Conflicts of Interest
Appendix A
References
- Chen, K.; Zhou, J.; Shen, F.Q.; Sun, H.Y.; Fan, H. Hypersonic boost-glide vehicle strapdown inertial navigation system/global positioning system algorithm in a launch-centered earth-fixed frame. Aerosp. Sci. Technol. 2020, 98, 1–17. [Google Scholar] [CrossRef]
- Hu, G.; Gao, B.; Zhong, Y.; Ni, L.; Gu, C. Robust unscented kalman filtering with measurement error detection for tightly coupled INS/GNSS integration in hypersonic vehicle navigation. IEEE Access 2019, 7, 151409–151421. [Google Scholar] [CrossRef]
- Cheng, X.; Yang, Y.; Hao, Q. Analysis of the effects of thermal environment on optical systems for navigation guidance and control in supersonic aircraft based on empirical equations. Sensors 2016, 16, 1717. [Google Scholar] [CrossRef] [PubMed]
- Kahn, A.D.; Edwards, D.J. Navigation, guidance, and control of a micro unmanned aerial glider. J. Guid. Control Dyn. 2019, 42, 2474–2484. [Google Scholar] [CrossRef]
- Suna, J.; Bloma, H.A.P.; Ellerbroeka, J.; Hoekstraa, J.M. Particle filter for aircraft mass estimation and uncertainty modeling. Transp. Res. Part C 2019, 105, 145–162. [Google Scholar] [CrossRef]
- Hiba, A.; Gáti, A.; Manecy, A. Optical navigation sensor for runway relative positioning of aircraft during final approach. Sensors 2021, 21, 2203. [Google Scholar] [CrossRef]
- Hu, G.; Ni, L.; Gao, B.; Zhu, X.; Wang, W.; Zhong, Y. Model predictive based unscented Kalman filter for hypersonic vehicle navigation with INS/GNSS integration. IEEE Access 2020, 8, 4814–4823. [Google Scholar] [CrossRef]
- Pan, W.; Zhan, X.; Zhang, X. Fault exclusion method for ARAIM based on tight GNSS/INS integration to achieve CAT-I approach. IET Radar Sonar Navig. 2019, 13, 1909–1917. [Google Scholar] [CrossRef]
- Krasuski, K.; Cwiklak, J.; Jafernik, H. Aircraft positioning using PPP method in GLONASS system. Aircr. Eng. Aerosp. Technol. 2018, 90, 1413–1420. [Google Scholar] [CrossRef]
- Jurevicius, R.; Marcinkevicius, V.; Šeibokas, J. Robust GNSS-denied localization for UAV using particle filter and visual odometry. Mach. Vis. Appl. 2019, 30, 1181–1190. [Google Scholar] [CrossRef] [Green Version]
- Chen, D.; Neusypin, K.; Selezneva, M.; Mu, Z. New algorithms for autonomous inertial navigation systems correction with precession angle sensors in aircrafts. Sensors 2019, 19, 5016. [Google Scholar] [CrossRef]
- Lei, X.; Liu, X. A high performance altitude navigation system for small rotorcraft unmanned aircraft. Mechatronics 2019, 62, 102248. [Google Scholar] [CrossRef]
- Gui, M.; Zhao, D.; Ning, X.; Zhang, C.; Dai, M. A time delay/ star angle integrated navigation method based on the event-triggered implicit unscented Kalman filter. IEEE Trans. Instrum. Meas. 2021, 70, 1–10. [Google Scholar] [CrossRef]
- Zhang, H.; Jiao, R.; Xu, L.; Xu, C.; Mi, P. Formation of a satellite navigation system using X-ray pulsars. Publ. Astron. Soc. Pac. 2019, 131, 045002. [Google Scholar]
- Wang, T.; Somani, A.K. Aerial-DEM geolocalization for GPS-denied UAS navigation. Mach. Vis. Appl. 2020, 31, 3. [Google Scholar] [CrossRef]
- Ye, L.; Yang, Y.; Ma, J.; Deng, L.; Li, H. Research on an LEO constellation multi-aircraft collaborative navigation algorithm based on a dual-way asynchronous precision communication-time service measurement system (DWAPC-TSM). Sensors 2022, 22, 3213. [Google Scholar] [CrossRef]
- Wang, R.; Xiong, Z.; Liu, J.; Shi, L. A new tightly-coupled INS/CNS integrated navigation algorithm with weighted multi-stars observations. Proc. Inst. Mech. Eng. Part G J. Aerosp. Eng. 2016, 230, 698–712. [Google Scholar] [CrossRef]
- Ning, X.; Yuan, W.; Liu, Y. A tightly coupled rotational SINS/CNS integrated navigation method for aircraft. J. Syst. Eng. Electron. 2019, 30, 770–782. [Google Scholar]
- Chen, H.; Gao, H.; Zhang, H. Integrated navigation approaches of vehicle aided by the strapdown celestial angles. Int. J. Adv. Robot. Syst. 2020, 5, 1–12. [Google Scholar] [CrossRef]
- Xiong, K.; Wei, C.; Liu, L. Autonomous navigation for a group of satellites with star sensors and inter-satellite links. Acta Astronaut. 2013, 86, 10–23. [Google Scholar]
- Huang, L.; Song, J.; Zhang, C.; Cai, G. Observable modes and absolute navigation capability for landmark-based IMU/Vision navigation system of UAV. Optik 2020, 202, 1–19. [Google Scholar] [CrossRef]
- Kim, Y.; Bang, H. Vision-based navigation for unmanned aircraft using ground feature points and terrain elevation data. Proc. Inst. Mech. Eng. Part G J. Aerosp. Eng. 2018, 232, 1334–1346. [Google Scholar] [CrossRef]
- Christian, J.A. Optical navigation using planet’s centroid and apparent diameter in image. J. Guid. Control Dyn. 2015, 38, 192–204. [Google Scholar] [CrossRef]
- Chang, J.; Geng, Y.; Guo, J.; Fan, W. Calibration of satellite autonomous navigation based on attitude sensor. J. Guid. Control Dyn. 2017, 40, 185–191. [Google Scholar] [CrossRef]
- Lefferts, E.J.; Markley, F.L.; Shuster, M.D. Kalman filtering for spacecraft attitude estimation. J. Guid. Control Dyn. 1982, 5, 417–429. [Google Scholar] [CrossRef]
- Markley, F.L. Attitude error representations for Kalman filtering. J. Guid. Control Dyn. 2003, 63, 311–317. [Google Scholar] [CrossRef]
- Xiong, K.; Wei, C. Integrated celestial navigation for spacecraft using interferometer and earth sensor. Proc. Inst. Mech. Eng. Part G J. Aerosp. Eng. 2020, 234, 2248–2262. [Google Scholar] [CrossRef]
- Sutton, R.S.; Barto, A.G. Reinforcement Learning: An Introduction; The MIT Press: London, UK, 2018. [Google Scholar]
- Gosavi, A. Reinforcement learning: A tutorial survey and recent advances. INFORMS J. Comput. 2009, 21, 178–192. [Google Scholar] [CrossRef]
- Xu, X.; Zuo, L.; Huang, Z. Reinforcement learning algorithms with function approximation: Recent advance and applications. Inf. Sci. 2014, 261, 1–31. [Google Scholar] [CrossRef]
- Watkins, C.J.; Dayan, P. Q-learning. Mach. Learn. 1992, 8, 279–292. [Google Scholar] [CrossRef]
- Wei, Q.; Lewis, F.L.; Sun, Q.; Yan, P.; Song, R. Discrete-time deterministic Q-learning: A novel convergence analysis. IEEE Trans. Cybern. 2017, 47, 1224–1237. [Google Scholar] [CrossRef]
- Luo, B.; Wu, H.N.; Huang, T. Optimal output regulation for model-free quanser helicopter with multistep Q-learning. IEEE Trans. Ind. Electron. 2018, 65, 4953–4961. [Google Scholar] [CrossRef]
- Xiong, K.; Wei, C.; Zhang, H. Q-learning for noise covariance adaptation in extended Kalman filter. Asian J. Control 2021, 23, 1803–1816. [Google Scholar] [CrossRef]
- Ding, L.; Yang, Q. Research on air combat maneuver decision of UAVs based on reinforcement learning. Avion. Technol. 2018, 49, 29–35. [Google Scholar]
- Ristic, B.; Farina, A.; Benvenuti, D.; Arulampalam, M.S. Performance bounds and comparison of nonlinear filters for tracking a ballistic object on re-entry. IEE P-Radar Sonar Navig. 2003, 150, 65–70. [Google Scholar] [CrossRef]
- Lei, M.; Wyk, B.J.; Qi, Y. Online estimation of the approximate posterior cramer-rao lower bound for discrete-time nonlinear filtering. IEEE Trans. Aerosp. Electron. Syst. 2011, 47, 37–57. [Google Scholar] [CrossRef]
- Xiong, K.; Liu, L. Design of parallel adaptive extended Kalman filter for online estimation of noise covariance. Aircr. Eng. Aerosp. Technol. 2019, 91, 112–123. [Google Scholar] [CrossRef]


















| Initial condition | Initial position error | (200 m, 200 m, 200 m) |
| Initial velocity error | (0.02 m/s, 0.02 m/s, 0.02 m/s) | |
| Initial attitude error | ) | |
| Duration of navigation process | 2 h | |
| Measurement performance | Accuracy of gyroscope | /hour |
| Accuracy of accelerometer | 100 μg | |
| Accuracy of star camera | 5″ | |
| Sensitivity of star camera | 8 Mv | |
| Measurement update frequency | 1 Hz | |
| Observed target in each period | 1 | |
| Total number of space target | 180 | |
| QLEKF parameter | Learning rate | 0.1 |
| Discounter factor | 0.9 | |
| Parameter of basis function | (−2, −1, 0, 1, 2) | |
| Parameter of basis function | 0.3 | |
| Tuning of filtering parameter |
Publisher’s Note: MDPI stays neutral with regard to jurisdictional claims in published maps and institutional affiliations. |
© 2022 by the authors. Licensee MDPI, Basel, Switzerland. This article is an open access article distributed under the terms and conditions of the Creative Commons Attribution (CC BY) license (https://creativecommons.org/licenses/by/4.0/).
Share and Cite
Xiong, K.; Zhou, P.; Wei, C. Autonomous Navigation of Unmanned Aircraft Using Space Target LOS Measurements and QLEKF. Sensors 2022, 22, 6992. https://doi.org/10.3390/s22186992
Xiong K, Zhou P, Wei C. Autonomous Navigation of Unmanned Aircraft Using Space Target LOS Measurements and QLEKF. Sensors. 2022; 22(18):6992. https://doi.org/10.3390/s22186992
Chicago/Turabian StyleXiong, Kai, Peng Zhou, and Chunling Wei. 2022. "Autonomous Navigation of Unmanned Aircraft Using Space Target LOS Measurements and QLEKF" Sensors 22, no. 18: 6992. https://doi.org/10.3390/s22186992
APA StyleXiong, K., Zhou, P., & Wei, C. (2022). Autonomous Navigation of Unmanned Aircraft Using Space Target LOS Measurements and QLEKF. Sensors, 22(18), 6992. https://doi.org/10.3390/s22186992

